Номер 3.52, страница 153 - гдз по алгебре 9 класс учебник Арефьева, Пирютко

Алгебра, 9 класс Учебник, авторы: Арефьева Ирина Глебовна, Пирютко Ольга Николаевна, издательство Народная асвета, Минск, 2019, голубого цвета

Авторы: Арефьева И. Г., Пирютко О. Н.

Тип: Учебник

Издательство: Народная асвета

Год издания: 2019 - 2025

Цвет обложки: голубой, синий с графиком

ISBN: 978-985-03-3077-2

Допущено Министерством образования Республики Беларусь

Популярные ГДЗ в 9 классе

Глава 3. Дробно-рациональные уравнения и неравенства. Параграф 10. Дробно-рациональные уравнения - номер 3.52, страница 153.

№3.52 (с. 153)
Условие. №3.52 (с. 153)
скриншот условия
Алгебра, 9 класс Учебник, авторы: Арефьева Ирина Глебовна, Пирютко Ольга Николаевна, издательство Народная асвета, Минск, 2019, голубого цвета, страница 153, номер 3.52, Условие

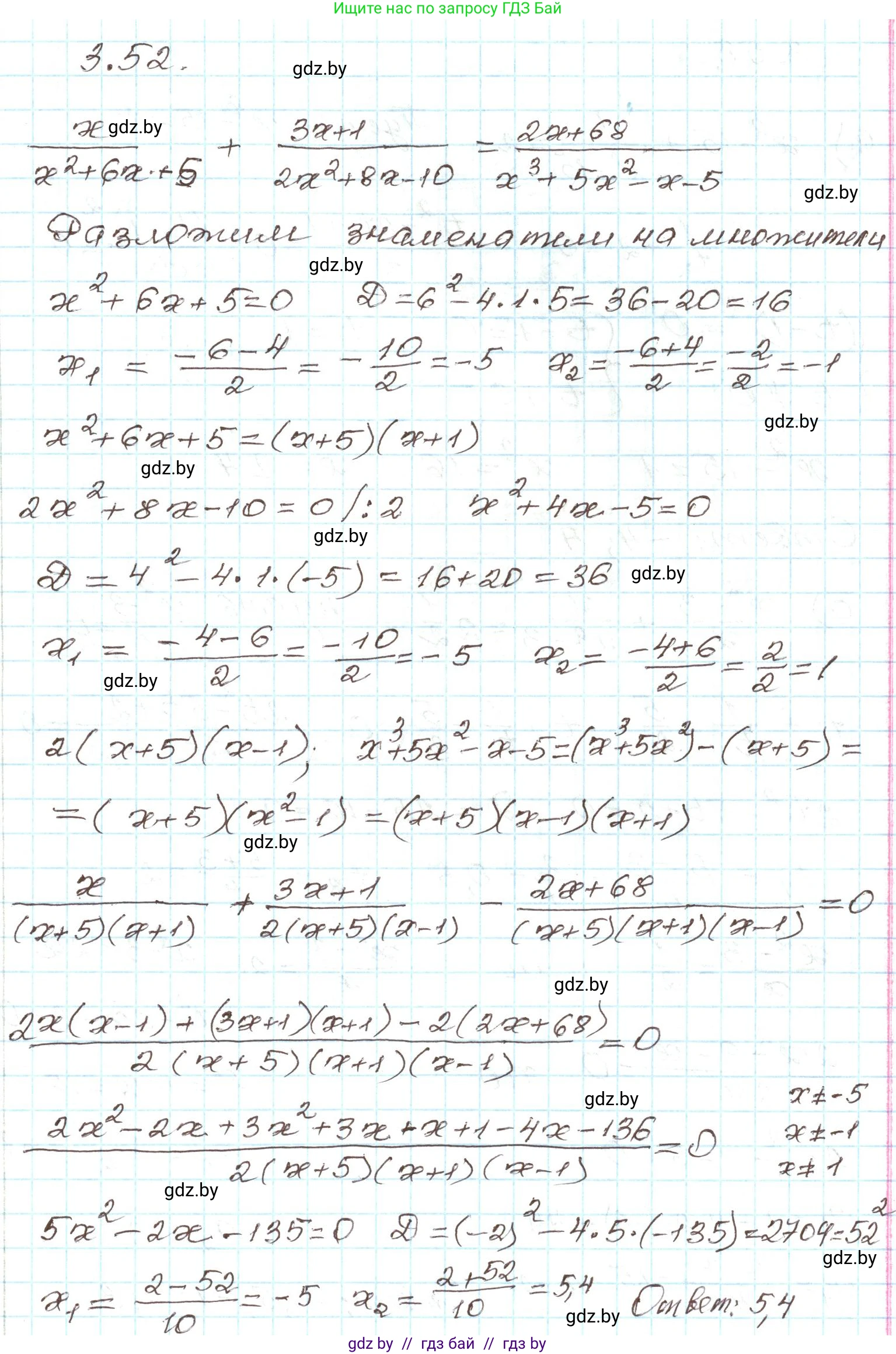
3.52*. Найдите корни уравнения

$\frac{x}{x^2 + 6x + 5} + \frac{3x+1}{2x^2 + 8x - 10} = \frac{2x+68}{x^3 + 5x^2 - x - 5}$

Решение. №3.52 (с. 153)
Алгебра, 9 класс Учебник, авторы: Арефьева Ирина Глебовна, Пирютко Ольга Николаевна, издательство Народная асвета, Минск, 2019, голубого цвета, страница 153, номер 3.52, Решение
Решение 2. №3.52 (с. 153)

Исходное уравнение:

$$ \frac{x}{x^2 + 6x + 5} + \frac{3x + 1}{2x^2 + 8x - 10} = \frac{2x + 68}{x^3 + 5x^2 - x - 5} $$

Для решения данного уравнения, в первую очередь, необходимо разложить знаменатели на множители, чтобы определить область допустимых значений (ОДЗ) и найти общий знаменатель.

1. Разложение знаменателей на множители:

  • Знаменатель первой дроби: $x^2 + 6x + 5$.
    Корни квадратного уравнения $x^2 + 6x + 5 = 0$ по теореме Виета: $x_1 = -1$ и $x_2 = -5$.
    Следовательно, $x^2 + 6x + 5 = (x+1)(x+5)$.
  • Знаменатель второй дроби: $2x^2 + 8x - 10 = 2(x^2 + 4x - 5)$.
    Корни квадратного уравнения $x^2 + 4x - 5 = 0$ по теореме Виета: $x_1 = 1$ и $x_2 = -5$.
    Следовательно, $2x^2 + 8x - 10 = 2(x-1)(x+5)$.
  • Знаменатель третьей дроби: $x^3 + 5x^2 - x - 5$.
    Сгруппируем слагаемые: $x^2(x+5) - (x+5) = (x^2-1)(x+5)$.
    Используя формулу разности квадратов $a^2-b^2=(a-b)(a+b)$, получаем: $(x-1)(x+1)(x+5)$.

2. Определение области допустимых значений (ОДЗ):

Знаменатели не должны равняться нулю, поэтому из разложений выше следует:
$x+1 \neq 0 \implies x \neq -1$
$x+5 \neq 0 \implies x \neq -5$
$x-1 \neq 0 \implies x \neq 1$
Таким образом, ОДЗ: $x \in \mathbb{R} \setminus \{-5, -1, 1\}$.

3. Решение уравнения:

Перепишем уравнение с разложенными на множители знаменателями:

$$ \frac{x}{(x+1)(x+5)} + \frac{3x + 1}{2(x-1)(x+5)} = \frac{2x + 68}{(x-1)(x+1)(x+5)} $$

Общий знаменатель дробей равен $2(x-1)(x+1)(x+5)$. Умножим обе части уравнения на этот общий знаменатель, чтобы избавиться от дробей (при условии, что $x$ входит в ОДЗ):

$$ x \cdot 2(x-1) + (3x+1)(x+1) = (2x+68) \cdot 2 $$

Раскроем скобки и упростим полученное выражение:

$$ (2x^2 - 2x) + (3x^2 + 3x + x + 1) = 4x + 136 $$$$ 5x^2 + 2x + 1 = 4x + 136 $$

Перенесем все слагаемые в левую часть, чтобы получить квадратное уравнение стандартного вида $ax^2+bx+c=0$:

$$ 5x^2 + 2x - 4x + 1 - 136 = 0 $$$$ 5x^2 - 2x - 135 = 0 $$

Решим это квадратное уравнение с помощью дискриминанта $D = b^2 - 4ac$:

$$ D = (-2)^2 - 4 \cdot 5 \cdot (-135) = 4 + 20 \cdot 135 = 4 + 2700 = 2704 $$

Найдем корень из дискриминанта: $\sqrt{D} = \sqrt{2704} = 52$.

Теперь найдем корни уравнения по формуле $x_{1,2} = \frac{-b \pm \sqrt{D}}{2a}$:

$$ x_1 = \frac{-(-2) + 52}{2 \cdot 5} = \frac{2 + 52}{10} = \frac{54}{10} = 5.4 $$$$ x_2 = \frac{-(-2) - 52}{2 \cdot 5} = \frac{2 - 52}{10} = \frac{-50}{10} = -5 $$

4. Проверка корней на соответствие ОДЗ:

Необходимо проверить, принадлежат ли найденные корни области допустимых значений ($x \neq -5, x \neq -1, x \neq 1$).

  • Корень $x_1 = 5.4$ удовлетворяет условиям ОДЗ.
  • Корень $x_2 = -5$ не удовлетворяет условиям ОДЗ, так как при этом значении знаменатели исходных дробей обращаются в ноль. Следовательно, $x = -5$ является посторонним корнем.

Таким образом, уравнение имеет единственный корень $x=5.4$. Представим его в виде смешанной дроби: $5.4 = \frac{54}{10} = \frac{27}{5} = 5\frac{2}{5}$.

Ответ: $5\frac{2}{5}$

Помогло решение? Оставьте отзыв в комментариях ниже.

Присоединяйтесь к Телеграм-группе @gdz_by_belarus

Присоединиться

Мы подготовили для вас ответ c подробным объяснением домашего задания по алгебре за 9 класс, для упражнения номер 3.52 расположенного на странице 153 к учебнику 2019 года издания для учащихся школ и гимназий.

Теперь на нашем сайте ГДЗ.ТОП вы всегда легко и бесплатно найдёте условие с правильным ответом на вопрос «Как решить ДЗ» и «Как сделать» задание по алгебре к упражнению №3.52 (с. 153), авторов: Арефьева (Ирина Глебовна), Пирютко (Ольга Николаевна), учебного пособия издательства Народная асвета.