Номер 3.85, страница 167 - гдз по алгебре 9 класс учебник Арефьева, Пирютко

Алгебра, 9 класс Учебник, авторы: Арефьева Ирина Глебовна, Пирютко Ольга Николаевна, издательство Народная асвета, Минск, 2019, голубого цвета

Авторы: Арефьева И. Г., Пирютко О. Н.

Тип: Учебник

Издательство: Народная асвета

Год издания: 2019 - 2025

Цвет обложки: голубой, синий с графиком

ISBN: 978-985-03-3077-2

Допущено Министерством образования Республики Беларусь

Популярные ГДЗ в 9 классе

Глава 3. Дробно-рациональные уравнения и неравенства. Параграф 11. Системы нелинейных уравнений - номер 3.85, страница 167.

№3.85 (с. 167)
Условие. №3.85 (с. 167)
скриншот условия
Алгебра, 9 класс Учебник, авторы: Арефьева Ирина Глебовна, Пирютко Ольга Николаевна, издательство Народная асвета, Минск, 2019, голубого цвета, страница 167, номер 3.85, Условие

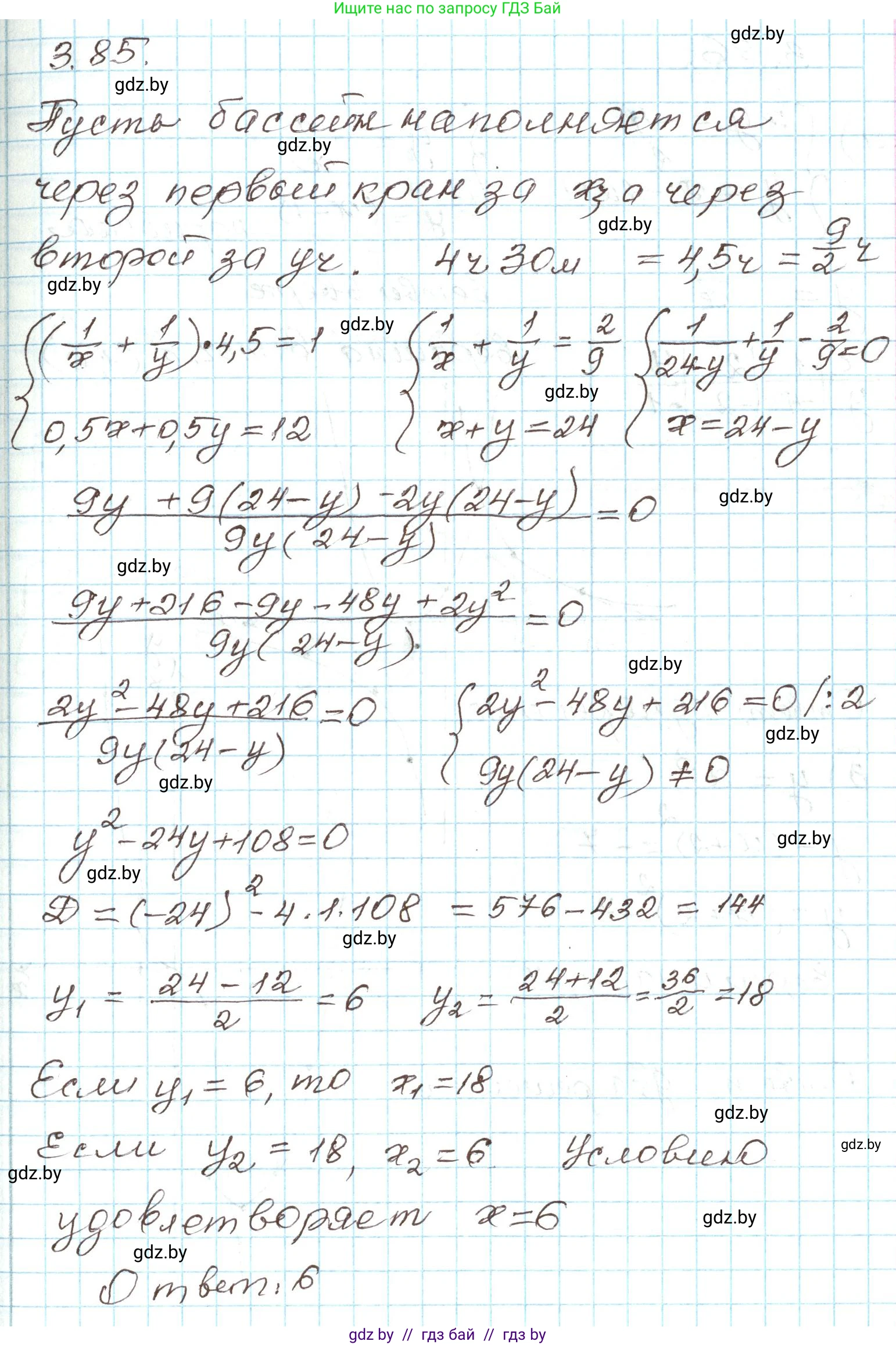
3.85. Школьный бассейн можно наполнять водой через два крана. Если их открыть одновременно, то бассейн наполнится за 4 ч 30 мин. Если же половину бассейна наполнить через один кран, а затем открыть только другой, то для наполнения бассейна потребуется 12 ч. За какое время бассейн наполняется через первый кран, если известно, что производительность первого крана больше?

Решение. №3.85 (с. 167)
Алгебра, 9 класс Учебник, авторы: Арефьева Ирина Глебовна, Пирютко Ольга Николаевна, издательство Народная асвета, Минск, 2019, голубого цвета, страница 167, номер 3.85, Решение
Решение 2. №3.85 (с. 167)

Для решения задачи введем следующие обозначения:

  • Пусть вся работа по наполнению бассейна равна 1.
  • $p_1$ – производительность первого крана (какую часть бассейна он наполняет за 1 час).
  • $p_2$ – производительность второго крана (какую часть бассейна он наполняет за 1 час).
  • $t_1$ – время, за которое первый кран наполнит весь бассейн ($t_1 = 1/p_1$).
  • $t_2$ – время, за которое второй кран наполнит весь бассейн ($t_2 = 1/p_2$).

По условию, производительность первого крана больше, следовательно, $p_1 > p_2$, а время на наполнение у него меньше, т.е. $t_1 < t_2$.

Составление системы уравнений

1. Если оба крана открыты одновременно, бассейн наполнится за 4 ч 30 мин. Переведем время в часы: $4 \text{ ч } 30 \text{ мин} = 4,5 \text{ ч} = \frac{9}{2} \text{ ч}$. Совместная производительность кранов равна $p_1 + p_2$. Получаем первое уравнение: $(p_1 + p_2) \cdot \frac{9}{2} = 1$, откуда $p_1 + p_2 = \frac{2}{9}$.

2. Если половину бассейна ($1/2$ всей работы) наполнить через один кран, а вторую половину – через другой, потребуется 12 часов. Время на наполнение половины бассейна первым краном: $t_{1/2} = \frac{1/2}{p_1} = \frac{1}{2p_1}$. Время на наполнение половины бассейна вторым краном: $t_{2/2} = \frac{1/2}{p_2} = \frac{1}{2p_2}$. Суммарное время: $\frac{1}{2p_1} + \frac{1}{2p_2} = 12$. Умножим обе части на 2 и получим второе уравнение: $\frac{1}{p_1} + \frac{1}{p_2} = 24$.

Таким образом, мы имеем систему из двух уравнений:$$\begin{cases}p_1 + p_2 = \frac{2}{9} \\\frac{1}{p_1} + \frac{1}{p_2} = 24\end{cases}$$

Решение системы уравнений

Преобразуем второе уравнение, приведя дроби к общему знаменателю:$\frac{p_2 + p_1}{p_1 p_2} = 24$.

Мы знаем из первого уравнения, что $p_1 + p_2 = \frac{2}{9}$. Подставим это значение во второе уравнение:$\frac{2/9}{p_1 p_2} = 24$.

Отсюда найдем произведение производительностей $p_1 p_2$:$p_1 p_2 = \frac{2/9}{24} = \frac{2}{9 \cdot 24} = \frac{1}{9 \cdot 12} = \frac{1}{108}$.

Теперь у нас есть система, основанная на теореме Виета для квадратного уравнения $z^2 - (p_1+p_2)z + p_1p_2 = 0$:$$\begin{cases}p_1 + p_2 = \frac{2}{9} \\p_1 p_2 = \frac{1}{108}\end{cases}$$

Составим и решим квадратное уравнение, корнями которого являются $p_1$ и $p_2$:$z^2 - \frac{2}{9}z + \frac{1}{108} = 0$.

Умножим уравнение на 108, чтобы избавиться от дробей:$108z^2 - 24z + 1 = 0$.

Найдем дискриминант:$D = (-24)^2 - 4 \cdot 108 \cdot 1 = 576 - 432 = 144 = 12^2$.

Найдем корни уравнения (значения производительностей):$z_1 = \frac{24 + 12}{2 \cdot 108} = \frac{36}{216} = \frac{1}{6}$.$z_2 = \frac{24 - 12}{2 \cdot 108} = \frac{12}{216} = \frac{1}{18}$.

За какое время бассейн наполняется через первый кран, если известно, что производительность первого крана больше?

Мы получили два значения для производительностей: $\frac{1}{6}$ и $\frac{1}{18}$. По условию, производительность первого крана больше ($p_1 > p_2$). Сравнивая дроби, получаем:$\frac{1}{6} > \frac{1}{18}$. Следовательно, $p_1 = \frac{1}{6}$ и $p_2 = \frac{1}{18}$.

Время, за которое первый кран наполнит бассейн, равно $t_1 = \frac{1}{p_1}$.$t_1 = \frac{1}{1/6} = 6$ часов.

Ответ: 6 часов.

Помогло решение? Оставьте отзыв в комментариях ниже.

Присоединяйтесь к Телеграм-группе @gdz_by_belarus

Присоединиться

Мы подготовили для вас ответ c подробным объяснением домашего задания по алгебре за 9 класс, для упражнения номер 3.85 расположенного на странице 167 к учебнику 2019 года издания для учащихся школ и гимназий.

Теперь на нашем сайте ГДЗ.ТОП вы всегда легко и бесплатно найдёте условие с правильным ответом на вопрос «Как решить ДЗ» и «Как сделать» задание по алгебре к упражнению №3.85 (с. 167), авторов: Арефьева (Ирина Глебовна), Пирютко (Ольга Николаевна), учебного пособия издательства Народная асвета.