Номер 3.91, страница 168 - гдз по алгебре 9 класс учебник Арефьева, Пирютко

Алгебра, 9 класс Учебник, авторы: Арефьева Ирина Глебовна, Пирютко Ольга Николаевна, издательство Народная асвета, Минск, 2019, голубого цвета

Авторы: Арефьева И. Г., Пирютко О. Н.

Тип: Учебник

Издательство: Народная асвета

Год издания: 2019 - 2025

Цвет обложки: голубой, синий с графиком

ISBN: 978-985-03-3077-2

Допущено Министерством образования Республики Беларусь

Популярные ГДЗ в 9 классе

Глава 3. Дробно-рациональные уравнения и неравенства. Параграф 11. Системы нелинейных уравнений - номер 3.91, страница 168.

№3.91 (с. 168)
Условие. №3.91 (с. 168)
скриншот условия
Алгебра, 9 класс Учебник, авторы: Арефьева Ирина Глебовна, Пирютко Ольга Николаевна, издательство Народная асвета, Минск, 2019, голубого цвета, страница 168, номер 3.91, Условие

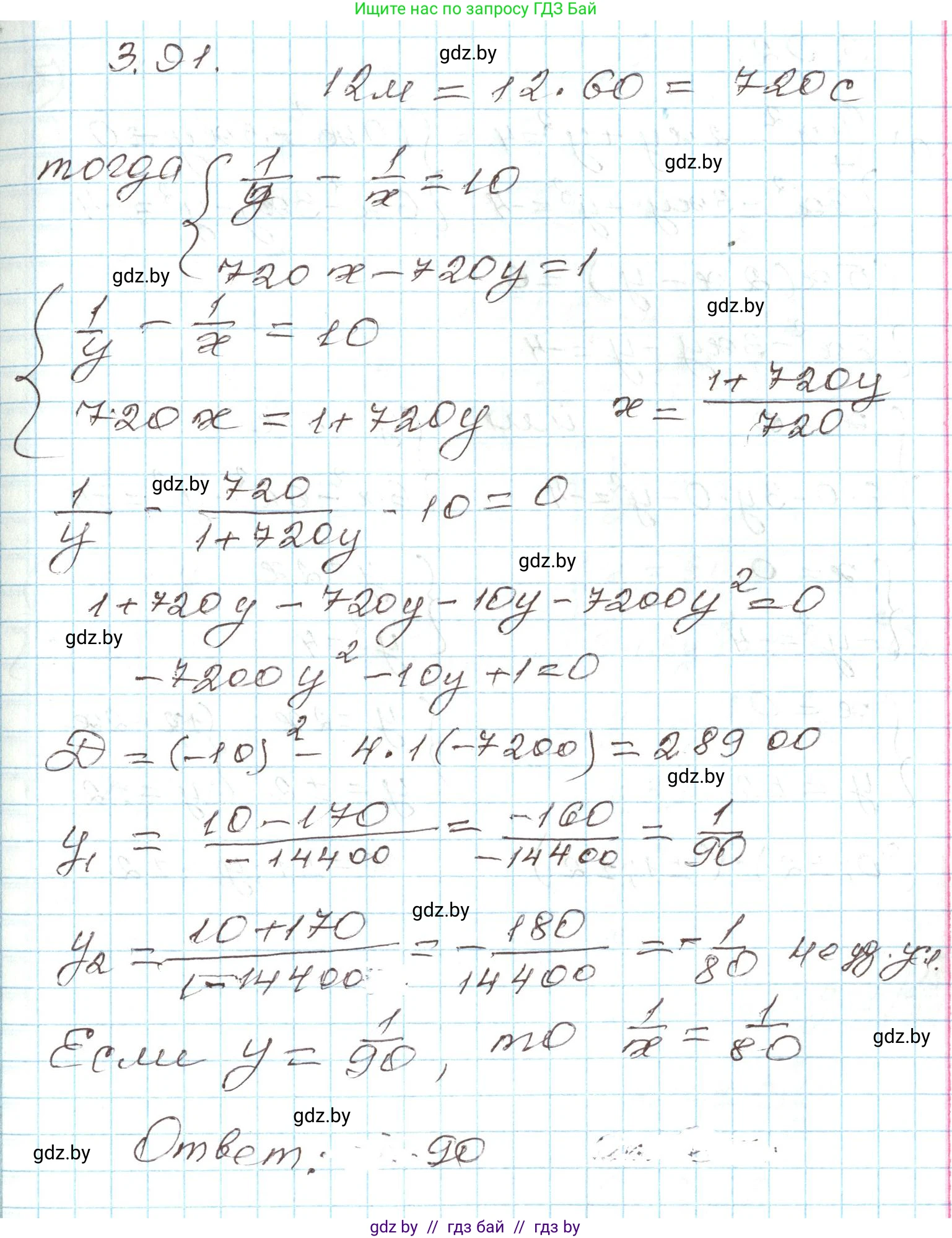
3.91*. Используйте зависимость между величинами в условии для решения задачи с помощью системы уравнений. Два велосипедиста движутся по замкнутой дорожке велотрека в одном направлении. Один догоняет другого каждые 12 мин. Известно, что первый велосипедист проходит круг велотрека на 10 с быстрее, чем второй. Найдите, сколько секунд требуется второму велосипедисту, чтобы пройти круг велотрека.

Решение. №3.91 (с. 168)
Алгебра, 9 класс Учебник, авторы: Арефьева Ирина Глебовна, Пирютко Ольга Николаевна, издательство Народная асвета, Минск, 2019, голубого цвета, страница 168, номер 3.91, Решение
Решение 2. №3.91 (с. 168)

Для решения задачи составим систему уравнений. Обозначим искомое время, за которое второй велосипедист проходит круг, через $x$ секунд. Пусть время, за которое первый велосипедист проходит круг, равно $y$ секунд.

Из условия известно, что первый велосипедист проходит круг велотрека на 10 секунд быстрее, чем второй. Это позволяет составить первое уравнение:

$$y = x - 10$$

Также в условии сказано, что первый велосипедист догоняет второго каждые 12 минут. Это означает, что за это время первый велосипедист проезжает ровно на один круг больше, чем второй. Переведем время в секунды:

$$12 \text{ мин} = 12 \times 60 \text{ с} = 720 \text{ с}$$

Скорость движения можно выразить как долю круга, проходимую за секунду. Скорость первого велосипедиста равна $v_1 = \frac{1}{y}$ кругов/с, а скорость второго — $v_2 = \frac{1}{x}$ кругов/с. За 720 секунд первый проедет расстояние $\frac{720}{y}$ кругов, а второй — $\frac{720}{x}$ кругов. Разница в пройденном расстоянии составляет 1 круг, что дает нам второе уравнение:

$$\frac{720}{y} - \frac{720}{x} = 1$$

Теперь у нас есть система из двух уравнений:

$$ \begin{cases} y = x - 10 \\ \frac{720}{y} - \frac{720}{x} = 1 \end{cases} $$

Подставим выражение для $y$ из первого уравнения во второе:

$$\frac{720}{x - 10} - \frac{720}{x} = 1$$

Чтобы решить это уравнение, приведем дроби в левой части к общему знаменателю $x(x - 10)$:

$$\frac{720x - 720(x - 10)}{x(x - 10)} = 1$$ $$\frac{720x - 720x + 7200}{x^2 - 10x} = 1$$ $$\frac{7200}{x^2 - 10x} = 1$$

Отсюда получаем:

$$x^2 - 10x = 7200$$

Перенесем все члены в левую часть, чтобы получить стандартное квадратное уравнение:

$$x^2 - 10x - 7200 = 0$$

Решим это уравнение с помощью дискриминанта $D = b^2 - 4ac$:

$$D = (-10)^2 - 4 \cdot 1 \cdot (-7200) = 100 + 28800 = 28900$$

Найдем корни уравнения:

$$x = \frac{-b \pm \sqrt{D}}{2a} = \frac{10 \pm \sqrt{28900}}{2} = \frac{10 \pm 170}{2}$$

Уравнение имеет два корня:

$$x_1 = \frac{10 + 170}{2} = \frac{180}{2} = 90$$ $$x_2 = \frac{10 - 170}{2} = \frac{-160}{2} = -80$$

Поскольку время $x$ не может быть отрицательной величиной, корень $x_2 = -80$ не является решением задачи. Таким образом, время, которое требуется второму велосипедисту, чтобы пройти круг, составляет 90 секунд.

Найдите, сколько секунд требуется второму велосипедисту, чтобы пройти круг велотрека. Ответ: 90.

Помогло решение? Оставьте отзыв в комментариях ниже.

Присоединяйтесь к Телеграм-группе @gdz_by_belarus

Присоединиться

Мы подготовили для вас ответ c подробным объяснением домашего задания по алгебре за 9 класс, для упражнения номер 3.91 расположенного на странице 168 к учебнику 2019 года издания для учащихся школ и гимназий.

Теперь на нашем сайте ГДЗ.ТОП вы всегда легко и бесплатно найдёте условие с правильным ответом на вопрос «Как решить ДЗ» и «Как сделать» задание по алгебре к упражнению №3.91 (с. 168), авторов: Арефьева (Ирина Глебовна), Пирютко (Ольга Николаевна), учебного пособия издательства Народная асвета.