Номер 3.94, страница 168 - гдз по алгебре 9 класс учебник Арефьева, Пирютко

Алгебра, 9 класс Учебник, авторы: Арефьева Ирина Глебовна, Пирютко Ольга Николаевна, издательство Народная асвета, Минск, 2019, голубого цвета

Авторы: Арефьева И. Г., Пирютко О. Н.

Тип: Учебник

Издательство: Народная асвета

Год издания: 2019 - 2025

Цвет обложки: голубой, синий с графиком

ISBN: 978-985-03-3077-2

Допущено Министерством образования Республики Беларусь

Популярные ГДЗ в 9 классе

Глава 3. Дробно-рациональные уравнения и неравенства. Параграф 11. Системы нелинейных уравнений - номер 3.94, страница 168.

№3.94 (с. 168)
Условие. №3.94 (с. 168)
скриншот условия
Алгебра, 9 класс Учебник, авторы: Арефьева Ирина Глебовна, Пирютко Ольга Николаевна, издательство Народная асвета, Минск, 2019, голубого цвета, страница 168, номер 3.94, Условие

3.94. Решите систему уравнений способом подстановки:

а) $\begin{cases} x^2 - y = 15; \\ y = x + 5; \end{cases}$

б) $\begin{cases} x = y - 1, \\ y^2 + 2x = 6; \end{cases}$

в) $\begin{cases} x - y = 1, \\ x^2 + xy = 1; \end{cases}$

г) $\begin{cases} xy = 18, \\ x + y = 9. \end{cases}$

Решение. №3.94 (с. 168)
Алгебра, 9 класс Учебник, авторы: Арефьева Ирина Глебовна, Пирютко Ольга Николаевна, издательство Народная асвета, Минск, 2019, голубого цвета, страница 168, номер 3.94, Решение Алгебра, 9 класс Учебник, авторы: Арефьева Ирина Глебовна, Пирютко Ольга Николаевна, издательство Народная асвета, Минск, 2019, голубого цвета, страница 168, номер 3.94, Решение (продолжение 2) Алгебра, 9 класс Учебник, авторы: Арефьева Ирина Глебовна, Пирютко Ольга Николаевна, издательство Народная асвета, Минск, 2019, голубого цвета, страница 168, номер 3.94, Решение (продолжение 3)
Решение 2. №3.94 (с. 168)

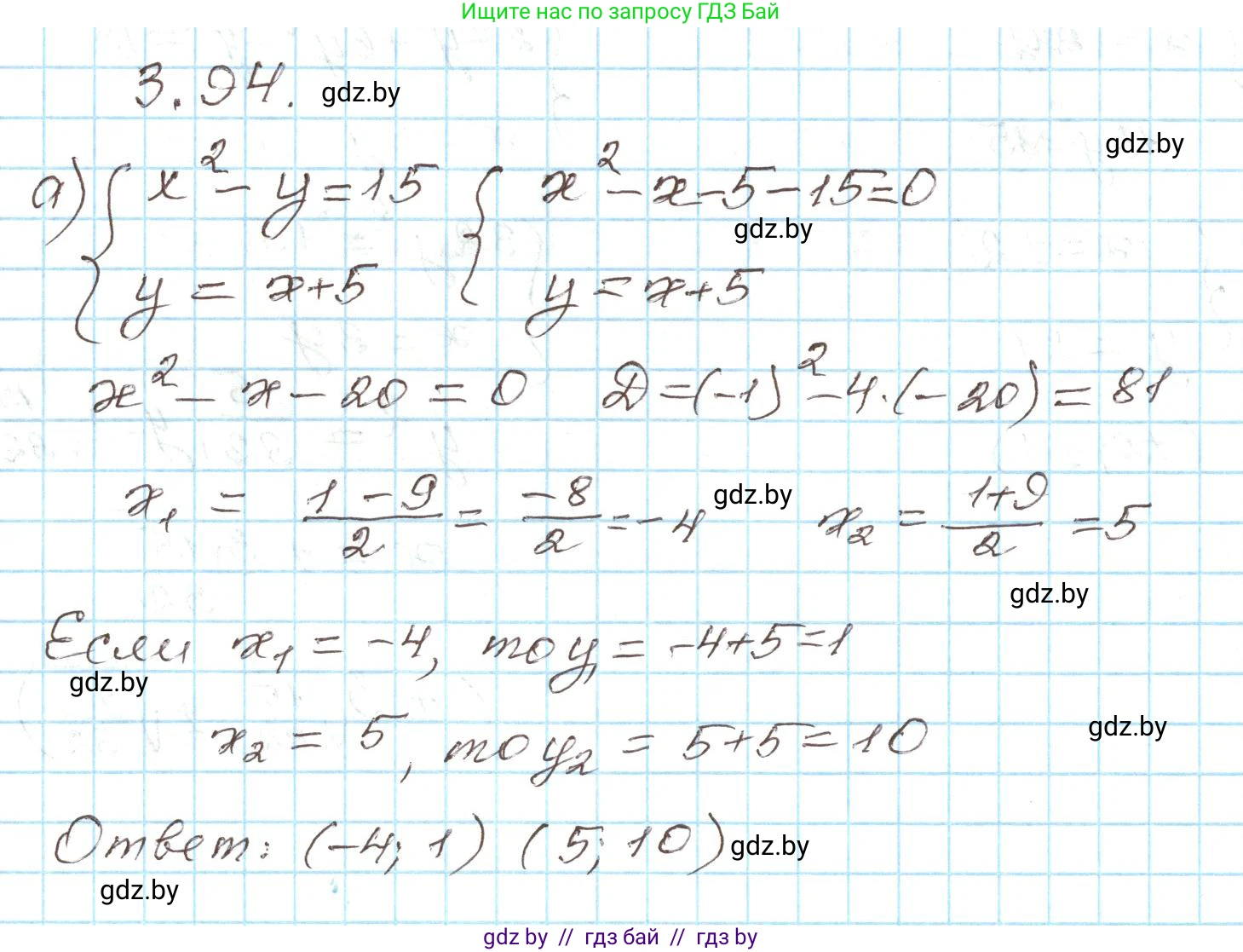
а) Решим систему уравнений:$$\begin{cases}x^2 - y = 15, \\y = x + 5;\end{cases}$$Подставим выражение для $y$ из второго уравнения в первое:$$ x^2 - (x + 5) = 15 $$Раскроем скобки и перенесем все члены в левую часть, чтобы получить квадратное уравнение:$$ x^2 - x - 5 - 15 = 0 $$$$ x^2 - x - 20 = 0 $$Найдем корни этого уравнения с помощью теоремы Виета. Сумма корней равна $1$, а произведение равно $-20$. Корнями являются:$$ x_1 = 5, \quad x_2 = -4 $$Теперь найдем соответствующие значения $y$ для каждого найденного $x$, используя уравнение $y = x + 5$:
1) При $x_1 = 5$:$$ y_1 = 5 + 5 = 10 $$Первая пара решений: $(5, 10)$.
2) При $x_2 = -4$:$$ y_2 = -4 + 5 = 1 $$Вторая пара решений: $(-4, 1)$.
Ответ: $(5, 10)$ и $(-4, 1)$.

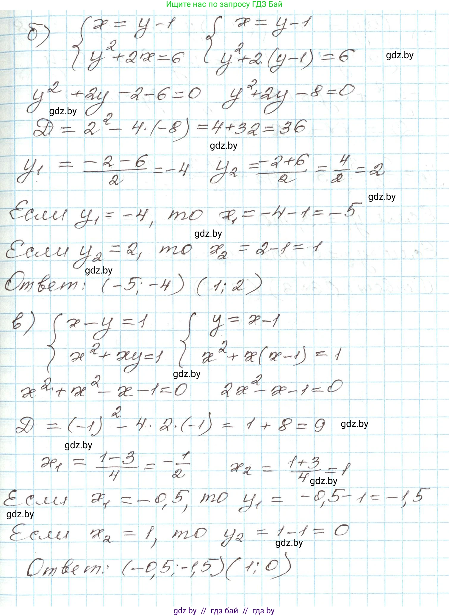
б) Решим систему уравнений:$$\begin{cases}x = y - 1, \\y^2 + 2x = 6;\end{cases}$$Подставим выражение для $x$ из первого уравнения во второе:$$ y^2 + 2(y - 1) = 6 $$Раскроем скобки и приведем подобные слагаемые:$$ y^2 + 2y - 2 = 6 $$$$ y^2 + 2y - 8 = 0 $$Решим полученное квадратное уравнение относительно $y$. По теореме Виета, сумма корней равна $-2$, а произведение равно $-8$. Корнями являются:$$ y_1 = 2, \quad y_2 = -4 $$Найдем соответствующие значения $x$ для каждого найденного $y$, используя уравнение $x = y - 1$:
1) При $y_1 = 2$:$$ x_1 = 2 - 1 = 1 $$Первая пара решений: $(1, 2)$.
2) При $y_2 = -4$:$$ x_2 = -4 - 1 = -5 $$Вторая пара решений: $(-5, -4)$.
Ответ: $(1, 2)$ и $(-5, -4)$.

в) Решим систему уравнений:$$\begin{cases}x - y = 1, \\x^2 + xy = 1;\end{cases}$$Из первого уравнения выразим переменную $x$:$$ x = y + 1 $$Подставим это выражение во второе уравнение системы:$$ (y + 1)^2 + (y + 1)y = 1 $$Раскроем скобки:$$ (y^2 + 2y + 1) + (y^2 + y) = 1 $$Приведем подобные слагаемые:$$ 2y^2 + 3y + 1 = 1 $$$$ 2y^2 + 3y = 0 $$Вынесем общий множитель $y$ за скобки:$$ y(2y + 3) = 0 $$Это уравнение имеет два корня:$$ y_1 = 0 \quad \text{или} \quad 2y_2 + 3 = 0 \implies y_2 = -\frac{3}{2} $$Найдем соответствующие значения $x$ из уравнения $x = y + 1$:
1) При $y_1 = 0$:$$ x_1 = 0 + 1 = 1 $$Первая пара решений: $(1, 0)$.
2) При $y_2 = -\frac{3}{2}$:$$ x_2 = -\frac{3}{2} + 1 = -\frac{3}{2} + \frac{2}{2} = -\frac{1}{2} $$Вторая пара решений: $(-\frac{1}{2}, -\frac{3}{2})$.
Представим неправильную дробь $y_2 = -\frac{3}{2}$ в виде смешанного числа, выделив целую часть.
Ответ: $(1, 0)$ и $(-\frac{1}{2}, -\textbf{1}\frac{1}{2})$.

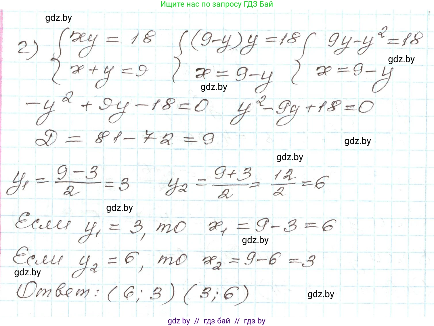
г) Решим систему уравнений:$$\begin{cases}xy = 18, \\x + y = 9;\end{cases}$$Из второго уравнения выразим переменную $y$:$$ y = 9 - x $$Подставим это выражение в первое уравнение:$$ x(9 - x) = 18 $$Раскроем скобки и преобразуем уравнение:$$ 9x - x^2 = 18 $$$$ -x^2 + 9x - 18 = 0 $$Умножим обе части на $-1$, чтобы получить стандартный вид квадратного уравнения:$$ x^2 - 9x + 18 = 0 $$Решим уравнение с помощью теоремы Виета. Сумма корней равна $9$, а произведение равно $18$. Корнями являются:$$ x_1 = 3, \quad x_2 = 6 $$Найдем соответствующие значения $y$ из уравнения $y = 9 - x$:
1) При $x_1 = 3$:$$ y_1 = 9 - 3 = 6 $$Первая пара решений: $(3, 6)$.
2) При $x_2 = 6$:$$ y_2 = 9 - 6 = 3 $$Вторая пара решений: $(6, 3)$.
Ответ: $(3, 6)$ и $(6, 3)$.

Помогло решение? Оставьте отзыв в комментариях ниже.

Присоединяйтесь к Телеграм-группе @gdz_by_belarus

Присоединиться

Мы подготовили для вас ответ c подробным объяснением домашего задания по алгебре за 9 класс, для упражнения номер 3.94 расположенного на странице 168 к учебнику 2019 года издания для учащихся школ и гимназий.

Теперь на нашем сайте ГДЗ.ТОП вы всегда легко и бесплатно найдёте условие с правильным ответом на вопрос «Как решить ДЗ» и «Как сделать» задание по алгебре к упражнению №3.94 (с. 168), авторов: Арефьева (Ирина Глебовна), Пирютко (Ольга Николаевна), учебного пособия издательства Народная асвета.