Номер 3.95, страница 169 - гдз по алгебре 9 класс учебник Арефьева, Пирютко

Алгебра, 9 класс Учебник, авторы: Арефьева Ирина Глебовна, Пирютко Ольга Николаевна, издательство Народная асвета, Минск, 2019, голубого цвета

Авторы: Арефьева И. Г., Пирютко О. Н.

Тип: Учебник

Издательство: Народная асвета

Год издания: 2019 - 2025

Цвет обложки: голубой, синий с графиком

ISBN: 978-985-03-3077-2

Допущено Министерством образования Республики Беларусь

Популярные ГДЗ в 9 классе

Глава 3. Дробно-рациональные уравнения и неравенства. Параграф 11. Системы нелинейных уравнений - номер 3.95, страница 169.

№3.95 (с. 169)
Условие. №3.95 (с. 169)
скриншот условия
Алгебра, 9 класс Учебник, авторы: Арефьева Ирина Глебовна, Пирютко Ольга Николаевна, издательство Народная асвета, Минск, 2019, голубого цвета, страница 169, номер 3.95, Условие

3.95. Решите систему уравнений способом сложения:

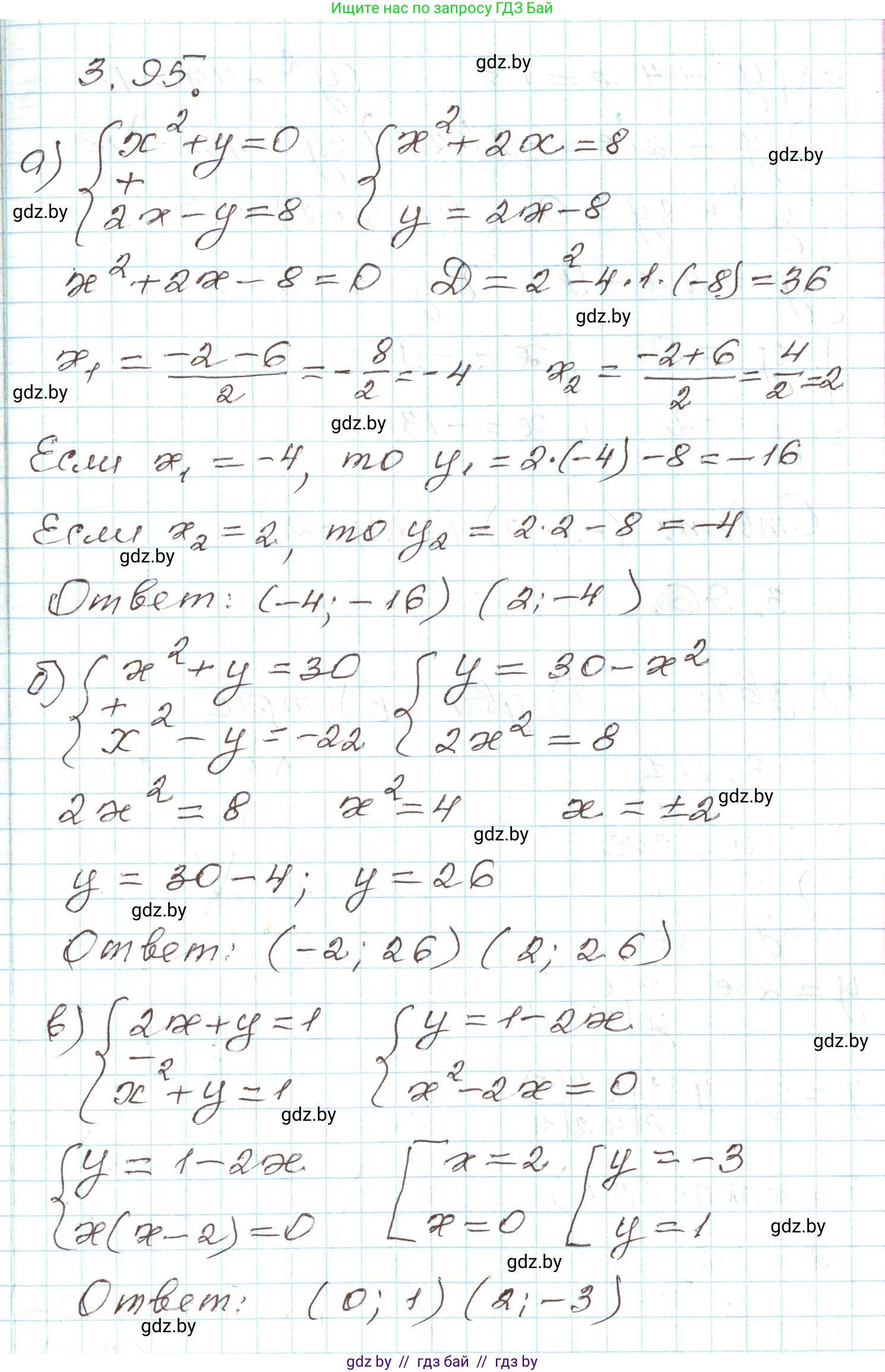
а) $$\begin{cases} x^2 + y = 0, \\ 2x - y = 8; \end{cases}$$

б) $$\begin{cases} x^2 + y = 30, \\ x^2 - y = -22; \end{cases}$$

в) $$\begin{cases} 2x + y = 1, \\ x^2 + y = 1; \end{cases}$$

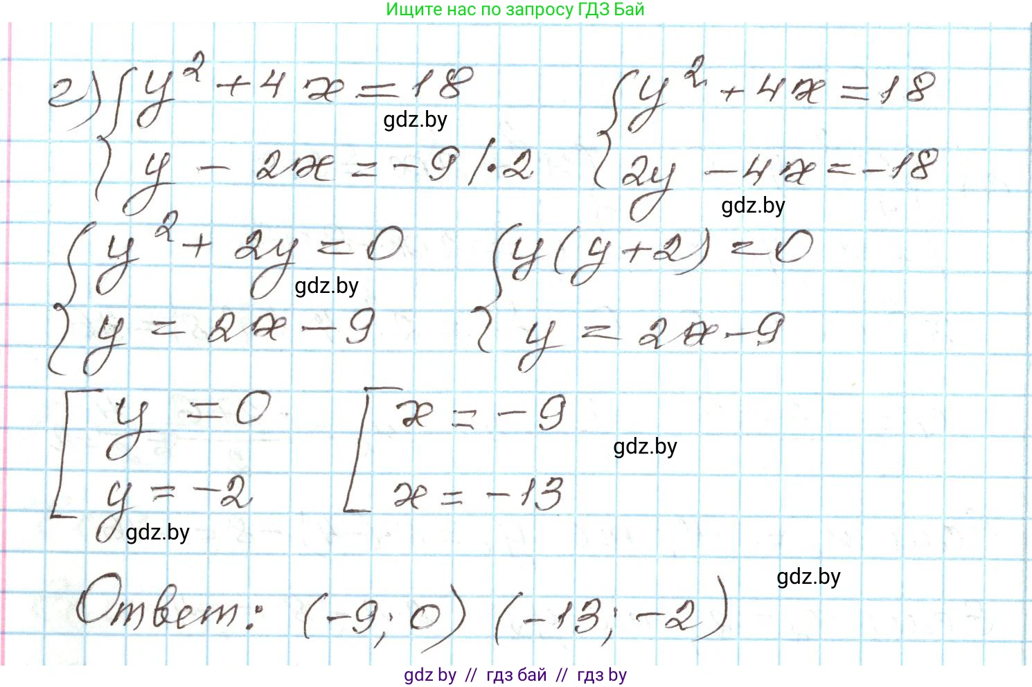
г) $$\begin{cases} y^2 + 4x = 18, \\ y - 2x = -9. \end{cases}$$

Решение. №3.95 (с. 169)
Алгебра, 9 класс Учебник, авторы: Арефьева Ирина Глебовна, Пирютко Ольга Николаевна, издательство Народная асвета, Минск, 2019, голубого цвета, страница 169, номер 3.95, Решение Алгебра, 9 класс Учебник, авторы: Арефьева Ирина Глебовна, Пирютко Ольга Николаевна, издательство Народная асвета, Минск, 2019, голубого цвета, страница 169, номер 3.95, Решение (продолжение 2)
Решение 2. №3.95 (с. 169)

а) Дана система уравнений:

$$\begin{cases} x^2 + y = 0 \\ 2x - y = 8\end{cases}$$

Сложим почленно первое и второе уравнения системы, чтобы исключить переменную $y$. Коэффициенты при $y$ равны $1$ и $-1$, что удобно для сложения.

$$ (x^2 + y) + (2x - y) = 0 + 8 $$$$ x^2 + 2x = 8 $$

Перенесем все члены в левую часть, чтобы получить стандартное квадратное уравнение:

$$ x^2 + 2x - 8 = 0 $$

Решим это уравнение, найдя его корни. Дискриминант $D$ равен:

$$ D = b^2 - 4ac = 2^2 - 4 \cdot 1 \cdot (-8) = 4 + 32 = 36 $$

Корни уравнения:

$$ x_{1,2} = \frac{-b \pm \sqrt{D}}{2a} = \frac{-2 \pm \sqrt{36}}{2 \cdot 1} = \frac{-2 \pm 6}{2} $$$$ x_1 = \frac{-2 + 6}{2} = \frac{4}{2} = 2 $$$$ x_2 = \frac{-2 - 6}{2} = \frac{-8}{2} = -4 $$

Теперь найдем соответствующие значения $y$ для каждого корня $x$, подставив их в первое уравнение системы $x^2 + y = 0$, из которого следует $y = -x^2$.

При $x_1 = 2$:

$$ y_1 = -(2)^2 = -4 $$

При $x_2 = -4$:

$$ y_2 = -(-4)^2 = -16 $$

Таким образом, решениями системы являются пары чисел $(2, -4)$ и $(-4, -16)$.

Ответ: $(2, -4)$, $(-4, -16)$.

б) Дана система уравнений:

$$\begin{cases} x^2 + y = 30 \\ x^2 - y = -22\end{cases}$$

Сложим почленно первое и второе уравнения системы, чтобы исключить переменную $y$.

$$ (x^2 + y) + (x^2 - y) = 30 + (-22) $$$$ 2x^2 = 8 $$$$ x^2 = 4 $$

Отсюда находим два значения для $x$:

$$ x_1 = 2, \quad x_2 = -2 $$

Подставим значение $x^2=4$ в первое уравнение $x^2 + y = 30$, чтобы найти $y$.

$$ 4 + y = 30 $$$$ y = 30 - 4 = 26 $$

Это значение $y$ соответствует обоим значениям $x$.

Таким образом, решениями системы являются пары чисел $(2, 26)$ и $(-2, 26)$.

Ответ: $(2, 26)$, $(-2, 26)$.

в) Дана система уравнений:

$$\begin{cases} 2x + y = 1 \\ x^2 + y = 1\end{cases}$$

Для исключения переменной $y$ вычтем второе уравнение из первого.

$$ (2x + y) - (x^2 + y) = 1 - 1 $$$$ 2x - x^2 = 0 $$

Вынесем $x$ за скобки:

$$ x(2 - x) = 0 $$

Отсюда получаем два возможных значения для $x$:

$$ x_1 = 0 \quad \text{или} \quad 2 - x = 0 \Rightarrow x_2 = 2 $$

Теперь найдем соответствующие значения $y$, подставив $x$ в первое уравнение $2x + y = 1$, из которого $y = 1 - 2x$.

При $x_1 = 0$:

$$ y_1 = 1 - 2(0) = 1 $$

При $x_2 = 2$:

$$ y_2 = 1 - 2(2) = 1 - 4 = -3 $$

Таким образом, решениями системы являются пары чисел $(0, 1)$ и $(2, -3)$.

Ответ: $(0, 1)$, $(2, -3)$.

г) Дана система уравнений:

$$\begin{cases} y^2 + 4x = 18 \\ y - 2x = -9\end{cases}$$

Для использования метода сложения умножим второе уравнение на $2$, чтобы коэффициенты при $x$ стали противоположными.

$$ 2(y - 2x) = 2(-9) \Rightarrow 2y - 4x = -18 $$

Теперь система выглядит так:

$$\begin{cases} y^2 + 4x = 18 \\ 2y - 4x = -18\end{cases}$$

Сложим эти два уравнения:

$$ (y^2 + 4x) + (2y - 4x) = 18 + (-18) $$$$ y^2 + 2y = 0 $$

Вынесем $y$ за скобки:

$$ y(y + 2) = 0 $$

Отсюда получаем два возможных значения для $y$:

$$ y_1 = 0 \quad \text{или} \quad y + 2 = 0 \Rightarrow y_2 = -2 $$

Найдем соответствующие значения $x$, подставив $y$ во второе исходное уравнение $y - 2x = -9$, из которого $2x = y + 9$ или $x = \frac{y+9}{2}$.

При $y_1 = 0$:

$$ x_1 = \frac{0 + 9}{2} = \frac{9}{2} = 4\frac{1}{2} $$

При $y_2 = -2$:

$$ x_2 = \frac{-2 + 9}{2} = \frac{7}{2} = 3\frac{1}{2} $$

Таким образом, решениями системы являются пары чисел $(4\frac{1}{2}, 0)$ и $(3\frac{1}{2}, -2)$.

Ответ: $(4\frac{1}{2}, 0)$, $(3\frac{1}{2}, -2)$.

Помогло решение? Оставьте отзыв в комментариях ниже.

Присоединяйтесь к Телеграм-группе @gdz_by_belarus

Присоединиться

Мы подготовили для вас ответ c подробным объяснением домашего задания по алгебре за 9 класс, для упражнения номер 3.95 расположенного на странице 169 к учебнику 2019 года издания для учащихся школ и гимназий.

Теперь на нашем сайте ГДЗ.ТОП вы всегда легко и бесплатно найдёте условие с правильным ответом на вопрос «Как решить ДЗ» и «Как сделать» задание по алгебре к упражнению №3.95 (с. 169), авторов: Арефьева (Ирина Глебовна), Пирютко (Ольга Николаевна), учебного пособия издательства Народная асвета.