Номер 3.78, страница 166 - гдз по алгебре 9 класс учебник Арефьева, Пирютко

Алгебра, 9 класс Учебник, авторы: Арефьева Ирина Глебовна, Пирютко Ольга Николаевна, издательство Народная асвета, Минск, 2019, голубого цвета

Авторы: Арефьева И. Г., Пирютко О. Н.

Тип: Учебник

Издательство: Народная асвета

Год издания: 2019 - 2025

Цвет обложки: голубой, синий с графиком

ISBN: 978-985-03-3077-2

Допущено Министерством образования Республики Беларусь

Популярные ГДЗ в 9 классе

Глава 3. Дробно-рациональные уравнения и неравенства. Параграф 11. Системы нелинейных уравнений - номер 3.78, страница 166.

№3.78 (с. 166)
Условие. №3.78 (с. 166)
скриншот условия
Алгебра, 9 класс Учебник, авторы: Арефьева Ирина Глебовна, Пирютко Ольга Николаевна, издательство Народная асвета, Минск, 2019, голубого цвета, страница 166, номер 3.78, Условие

3.78. Решите систему уравнений:

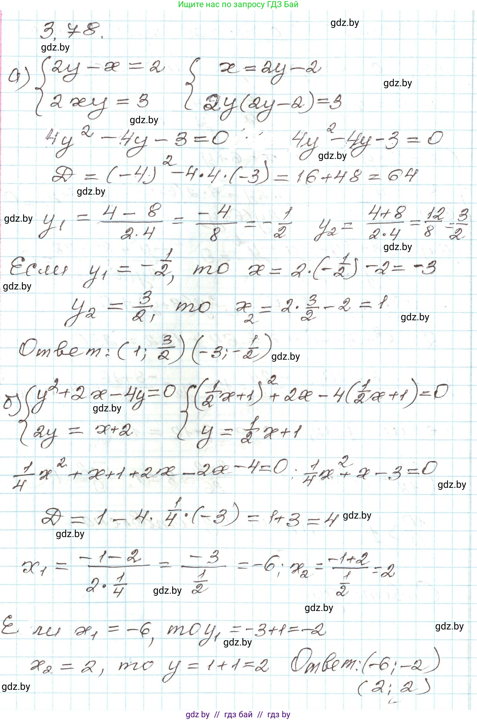
a) $\begin{cases} 2y - x = 2, \\ 2xy = 3; \end{cases}$

б) $\begin{cases} y^2 + 2x - 4y = 0, \\ 2y = x + 2; \end{cases}$

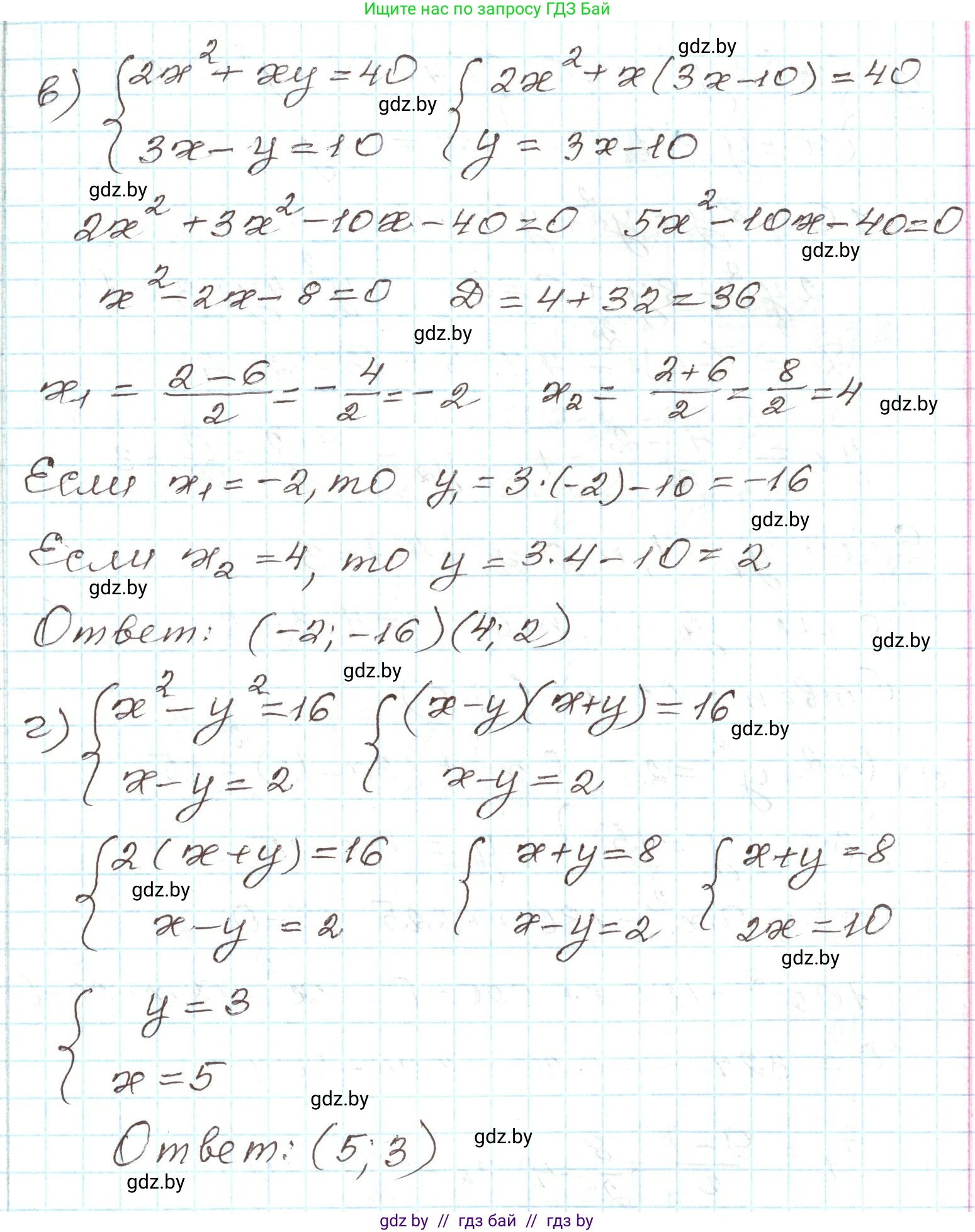
в) $\begin{cases} 2x^2 + xy = 40, \\ 3x - y = 10; \end{cases}$

г) $\begin{cases} x^2 - y^2 = 16, \\ x - y = 2; \end{cases}$

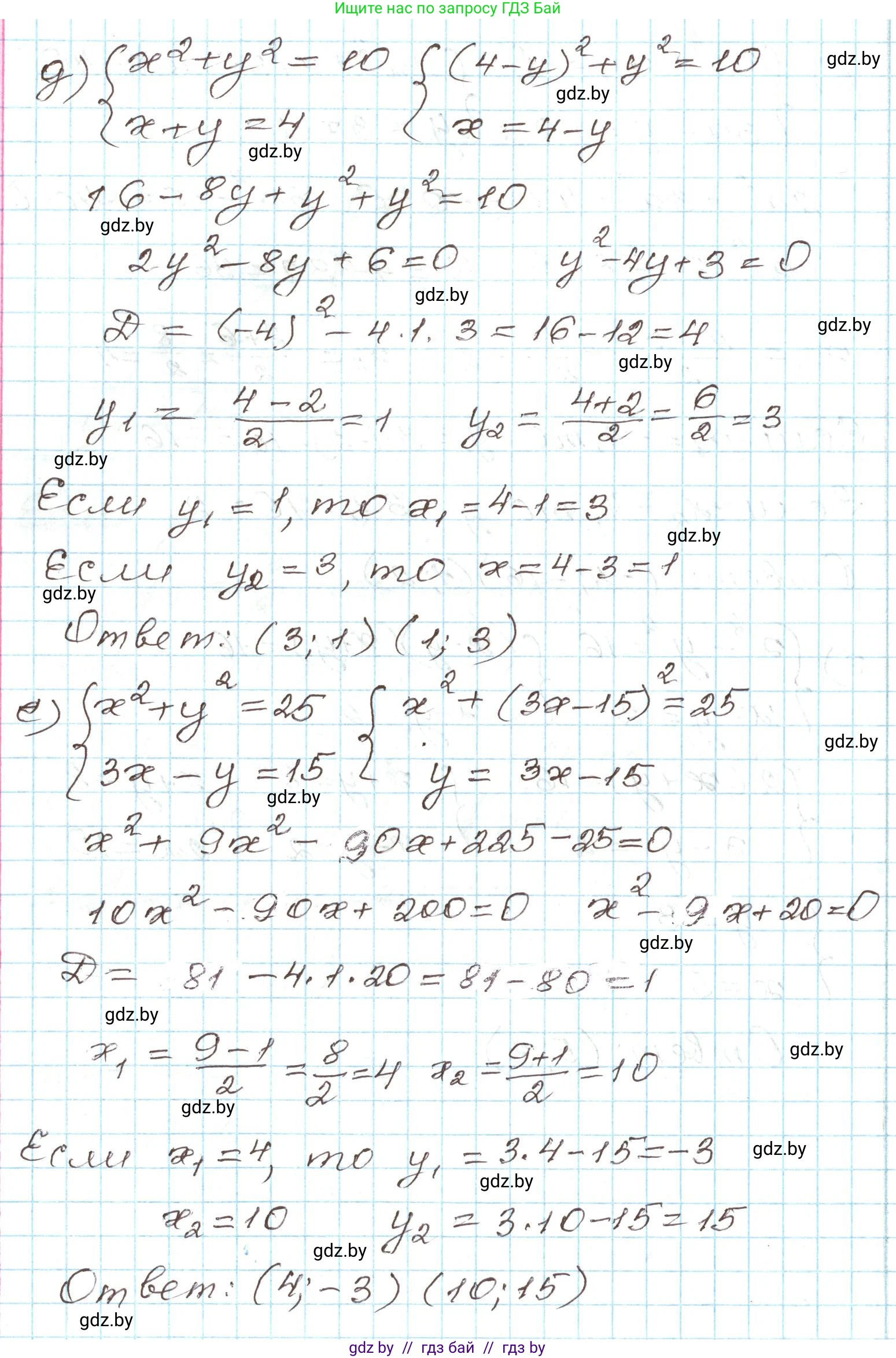
д) $\begin{cases} x^2 + y^2 = 10, \\ x + y = 4; \end{cases}$

е) $\begin{cases} x^2 + y^2 = 25, \\ 3x - y = 15. \end{cases}$

Решение. №3.78 (с. 166)
Алгебра, 9 класс Учебник, авторы: Арефьева Ирина Глебовна, Пирютко Ольга Николаевна, издательство Народная асвета, Минск, 2019, голубого цвета, страница 166, номер 3.78, Решение Алгебра, 9 класс Учебник, авторы: Арефьева Ирина Глебовна, Пирютко Ольга Николаевна, издательство Народная асвета, Минск, 2019, голубого цвета, страница 166, номер 3.78, Решение (продолжение 2) Алгебра, 9 класс Учебник, авторы: Арефьева Ирина Глебовна, Пирютко Ольга Николаевна, издательство Народная асвета, Минск, 2019, голубого цвета, страница 166, номер 3.78, Решение (продолжение 3)
Решение 2. №3.78 (с. 166)

а) Дана система уравнений:$$\begin{cases} 2y - x = 2 \\2xy = 3 \end{cases}$$Из первого уравнения выразим $x$:$$x = 2y - 2$$Подставим это выражение для $x$ во второе уравнение:$$2(2y - 2)y = 3$$$$4y^2 - 4y = 3$$$$4y^2 - 4y - 3 = 0$$Решим полученное квадратное уравнение относительно $y$ с помощью дискриминанта $D = b^2 - 4ac$:$$D = (-4)^2 - 4 \cdot 4 \cdot (-3) = 16 + 48 = 64$$Корни уравнения:$$y_1 = \frac{-(-4) + \sqrt{64}}{2 \cdot 4} = \frac{4 + 8}{8} = \frac{12}{8} = \frac{3}{2} = 1\frac{1}{2}$$$$y_2 = \frac{-(-4) - \sqrt{64}}{2 \cdot 4} = \frac{4 - 8}{8} = \frac{-4}{8} = -\frac{1}{2}$$Теперь найдем соответствующие значения $x$:При $y_1 = \frac{3}{2}$:$$x_1 = 2 \cdot \frac{3}{2} - 2 = 3 - 2 = 1$$При $y_2 = -\frac{1}{2}$:$$x_2 = 2 \cdot (-\frac{1}{2}) - 2 = -1 - 2 = -3$$Ответ: $(1; 1\frac{1}{2})$ и $(-3; -\frac{1}{2})$.

б) Дана система уравнений:$$\begin{cases} y^2 + 2x - 4y = 0 \\2y = x + 2 \end{cases}$$Из второго уравнения выразим $x$:$$x = 2y - 2$$Подставим это выражение в первое уравнение:$$y^2 + 2(2y - 2) - 4y = 0$$$$y^2 + 4y - 4 - 4y = 0$$$$y^2 - 4 = 0$$$$y^2 = 4$$Отсюда получаем два значения для $y$:$$y_1 = 2, \quad y_2 = -2$$Найдем соответствующие значения $x$:При $y_1 = 2$:$$x_1 = 2(2) - 2 = 4 - 2 = 2$$При $y_2 = -2$:$$x_2 = 2(-2) - 2 = -4 - 2 = -6$$Ответ: $(2; 2)$ и $(-6; -2)$.

в) Дана система уравнений:$$\begin{cases} 2x^2 + xy = 40 \\3x - y = 10 \end{cases}$$Из второго уравнения выразим $y$:$$y = 3x - 10$$Подставим это выражение в первое уравнение:$$2x^2 + x(3x - 10) = 40$$$$2x^2 + 3x^2 - 10x = 40$$$$5x^2 - 10x - 40 = 0$$Разделим уравнение на 5:$$x^2 - 2x - 8 = 0$$Решим квадратное уравнение. По теореме Виета, корни $x_1 = 4$ и $x_2 = -2$. Найдем соответствующие значения $y$:При $x_1 = 4$:$$y_1 = 3(4) - 10 = 12 - 10 = 2$$При $x_2 = -2$:$$y_2 = 3(-2) - 10 = -6 - 10 = -16$$Ответ: $(4; 2)$ и $(-2; -16)$.

г) Дана система уравнений:$$\begin{cases} x^2 - y^2 = 16 \\x - y = 2 \end{cases}$$Первое уравнение является формулой разности квадратов: $x^2 - y^2 = (x - y)(x + y)$. Подставим второе уравнение в первое:$$(2)(x + y) = 16$$$$x + y = 8$$Теперь у нас есть система из двух линейных уравнений:$$\begin{cases} x + y = 8 \\x - y = 2 \end{cases}$$Сложим два уравнения:$$(x + y) + (x - y) = 8 + 2$$$$2x = 10$$$$x = 5$$Подставим значение $x$ в уравнение $x+y=8$:$$5 + y = 8$$$$y = 3$$Ответ: $(5; 3)$.

д) Дана система уравнений:$$\begin{cases} x^2 + y^2 = 10 \\x + y = 4 \end{cases}$$Из второго уравнения выразим $y$:$$y = 4 - x$$Подставим это выражение в первое уравнение:$$x^2 + (4 - x)^2 = 10$$$$x^2 + 16 - 8x + x^2 = 10$$$$2x^2 - 8x + 6 = 0$$Разделим уравнение на 2:$$x^2 - 4x + 3 = 0$$По теореме Виета, корни $x_1 = 1$ и $x_2 = 3$. Найдем соответствующие значения $y$:При $x_1 = 1$:$$y_1 = 4 - 1 = 3$$При $x_2 = 3$:$$y_2 = 4 - 3 = 1$$Ответ: $(1; 3)$ и $(3; 1)$.

е) Дана система уравнений:$$\begin{cases} x^2 + y^2 = 25 \\3x - y = 15 \end{cases}$$Из второго уравнения выразим $y$:$$y = 3x - 15$$Подставим это выражение в первое уравнение:$$x^2 + (3x - 15)^2 = 25$$$$x^2 + 9x^2 - 90x + 225 = 25$$$$10x^2 - 90x + 200 = 0$$Разделим уравнение на 10:$$x^2 - 9x + 20 = 0$$По теореме Виета, корни $x_1 = 4$ и $x_2 = 5$. Найдем соответствующие значения $y$:При $x_1 = 4$:$$y_1 = 3(4) - 15 = 12 - 15 = -3$$При $x_2 = 5$:$$y_2 = 3(5) - 15 = 15 - 15 = 0$$Ответ: $(4; -3)$ и $(5; 0)$.

Помогло решение? Оставьте отзыв в комментариях ниже.

Присоединяйтесь к Телеграм-группе @gdz_by_belarus

Присоединиться

Мы подготовили для вас ответ c подробным объяснением домашего задания по алгебре за 9 класс, для упражнения номер 3.78 расположенного на странице 166 к учебнику 2019 года издания для учащихся школ и гимназий.

Теперь на нашем сайте ГДЗ.ТОП вы всегда легко и бесплатно найдёте условие с правильным ответом на вопрос «Как решить ДЗ» и «Как сделать» задание по алгебре к упражнению №3.78 (с. 166), авторов: Арефьева (Ирина Глебовна), Пирютко (Ольга Николаевна), учебного пособия издательства Народная асвета.