Номер 261, страница 294 - гдз по алгебре 9 класс учебник Арефьева, Пирютко

Алгебра, 9 класс Учебник, авторы: Арефьева Ирина Глебовна, Пирютко Ольга Николаевна, издательство Народная асвета, Минск, 2019, голубого цвета

Авторы: Арефьева И. Г., Пирютко О. Н.

Тип: Учебник

Издательство: Народная асвета

Год издания: 2019 - 2025

Цвет обложки: голубой, синий с графиком

ISBN: 978-985-03-3077-2

Допущено Министерством образования Республики Беларусь

Популярные ГДЗ в 9 классе

Итоговое повторение. Уравнения, неравенства, системы - номер 261, страница 294.

№261 (с. 294)
Условие. №261 (с. 294)
скриншот условия
Алгебра, 9 класс Учебник, авторы: Арефьева Ирина Глебовна, Пирютко Ольга Николаевна, издательство Народная асвета, Минск, 2019, голубого цвета, страница 294, номер 261, Условие

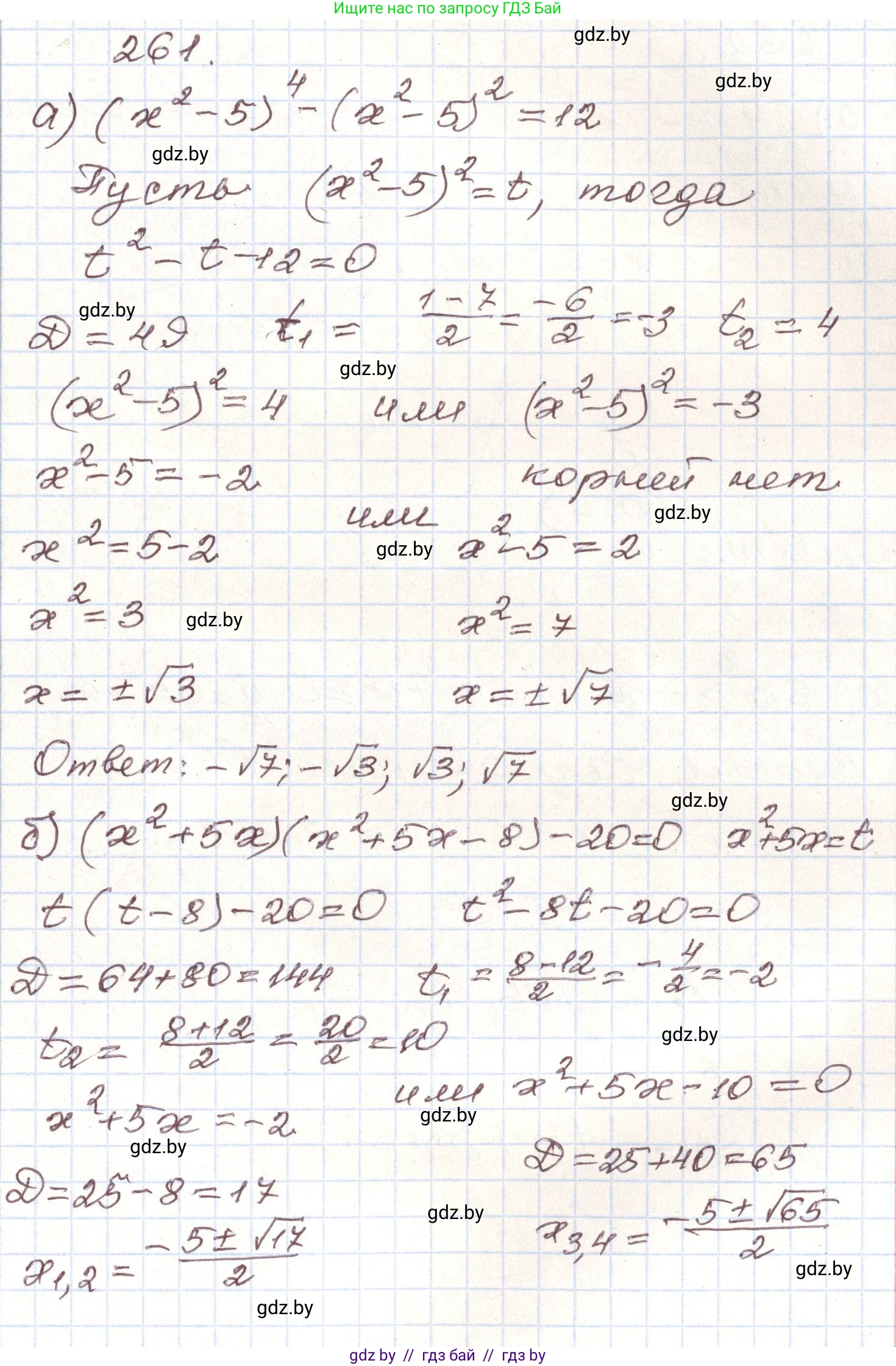
261. Решите уравнение, используя метод замены переменной:

а) $(x^2 - 5)^4 - (x^2 - 5)^2 = 12;$

б) $(x^2 + 5x)(x^2 + 5x - 8) - 20 = 0.$

Решение. №261 (с. 294)
Алгебра, 9 класс Учебник, авторы: Арефьева Ирина Глебовна, Пирютко Ольга Николаевна, издательство Народная асвета, Минск, 2019, голубого цвета, страница 294, номер 261, Решение
Решение 2. №261 (с. 294)
а) $(x^2 - 5)^4 - (x^2 - 5)^2 = 12$

Данное уравнение является биквадратным относительно выражения $(x^2 - 5)$. Для его решения введем замену переменной.

Пусть $t = (x^2 - 5)^2$. Так как $t$ является квадратом выражения, то $t \ge 0$.

Подставим новую переменную в исходное уравнение:

$t^2 - t = 12$

Перенесем все члены в левую часть, чтобы получить стандартное квадратное уравнение:

$t^2 - t - 12 = 0$

Решим это уравнение относительно $t$. Можно использовать теорему Виета или формулу для корней квадратного уравнения.

По теореме Виета, сумма корней $t_1 + t_2 = 1$, а их произведение $t_1 \cdot t_2 = -12$. Подбором находим корни: $t_1 = 4$ и $t_2 = -3$.

Теперь проверим корни на соответствие условию $t \ge 0$.

  • $t_1 = 4$ удовлетворяет условию ($4 \ge 0$).
  • $t_2 = -3$ не удовлетворяет условию ($-3 < 0$), поэтому этот корень является посторонним.

Остался один корень $t = 4$. Выполним обратную замену:

$(x^2 - 5)^2 = 4$

Извлечем квадратный корень из обеих частей уравнения. Это приводит к двум возможным случаям:

1) $x^2 - 5 = 2$

$x^2 = 7$

$x = \pm\sqrt{7}$

2) $x^2 - 5 = -2$

$x^2 = 3$

$x = \pm\sqrt{3}$

Таким образом, исходное уравнение имеет четыре корня.

Ответ: $x_1 = \sqrt{3}, x_2 = -\sqrt{3}, x_3 = \sqrt{7}, x_4 = -\sqrt{7}$.


б) $(x^2 + 5x)(x^2 + 5x - 8) - 20 = 0$

В этом уравнении можно заметить повторяющееся выражение $(x^2 + 5x)$. Используем метод замены переменной.

Пусть $y = x^2 + 5x$.

Подставим новую переменную в уравнение:

$y(y - 8) - 20 = 0$

Раскроем скобки и приведем подобные слагаемые, чтобы получить квадратное уравнение:

$y^2 - 8y - 20 = 0$

Решим это уравнение относительно $y$. Воспользуемся формулой для корней квадратного уравнения:

$D = b^2 - 4ac = (-8)^2 - 4 \cdot 1 \cdot (-20) = 64 + 80 = 144 = 12^2$

$y = \frac{-b \pm \sqrt{D}}{2a} = \frac{8 \pm 12}{2}$

Находим два корня для $y$:

$y_1 = \frac{8 + 12}{2} = \frac{20}{2} = 10$

$y_2 = \frac{8 - 12}{2} = \frac{-4}{2} = -2$

Теперь выполним обратную замену для каждого найденного значения $y$.

Случай 1: $y = 10$

$x^2 + 5x = 10$

$x^2 + 5x - 10 = 0$

Найдем корни этого квадратного уравнения. Вычислим дискриминант:

$D_1 = 5^2 - 4 \cdot 1 \cdot (-10) = 25 + 40 = 65$

Корни: $x = \frac{-5 \pm \sqrt{65}}{2}$

Случай 2: $y = -2$

$x^2 + 5x = -2$

$x^2 + 5x + 2 = 0$

Найдем корни этого квадратного уравнения. Вычислим дискриминант:

$D_2 = 5^2 - 4 \cdot 1 \cdot 2 = 25 - 8 = 17$

Корни: $x = \frac{-5 \pm \sqrt{17}}{2}$

В результате мы получили четыре различных корня для исходного уравнения.

Ответ: $x_1 = \frac{-5 + \sqrt{65}}{2}, x_2 = \frac{-5 - \sqrt{65}}{2}, x_3 = \frac{-5 + \sqrt{17}}{2}, x_4 = \frac{-5 - \sqrt{17}}{2}$.

Помогло решение? Оставьте отзыв в комментариях ниже.

Присоединяйтесь к Телеграм-группе @gdz_by_belarus

Присоединиться

Мы подготовили для вас ответ c подробным объяснением домашего задания по алгебре за 9 класс, для упражнения номер 261 расположенного на странице 294 к учебнику 2019 года издания для учащихся школ и гимназий.

Теперь на нашем сайте ГДЗ.ТОП вы всегда легко и бесплатно найдёте условие с правильным ответом на вопрос «Как решить ДЗ» и «Как сделать» задание по алгебре к упражнению №261 (с. 294), авторов: Арефьева (Ирина Глебовна), Пирютко (Ольга Николаевна), учебного пособия издательства Народная асвета.