Номер 266, страница 294 - гдз по алгебре 9 класс учебник Арефьева, Пирютко

Алгебра, 9 класс Учебник, авторы: Арефьева Ирина Глебовна, Пирютко Ольга Николаевна, издательство Народная асвета, Минск, 2019, голубого цвета

Авторы: Арефьева И. Г., Пирютко О. Н.

Тип: Учебник

Издательство: Народная асвета

Год издания: 2019 - 2025

Цвет обложки: голубой, синий с графиком

ISBN: 978-985-03-3077-2

Допущено Министерством образования Республики Беларусь

Популярные ГДЗ в 9 классе

Итоговое повторение. Уравнения, неравенства, системы - номер 266, страница 294.

№266 (с. 294)
Условие. №266 (с. 294)
скриншот условия
Алгебра, 9 класс Учебник, авторы: Арефьева Ирина Глебовна, Пирютко Ольга Николаевна, издательство Народная асвета, Минск, 2019, голубого цвета, страница 294, номер 266, Условие

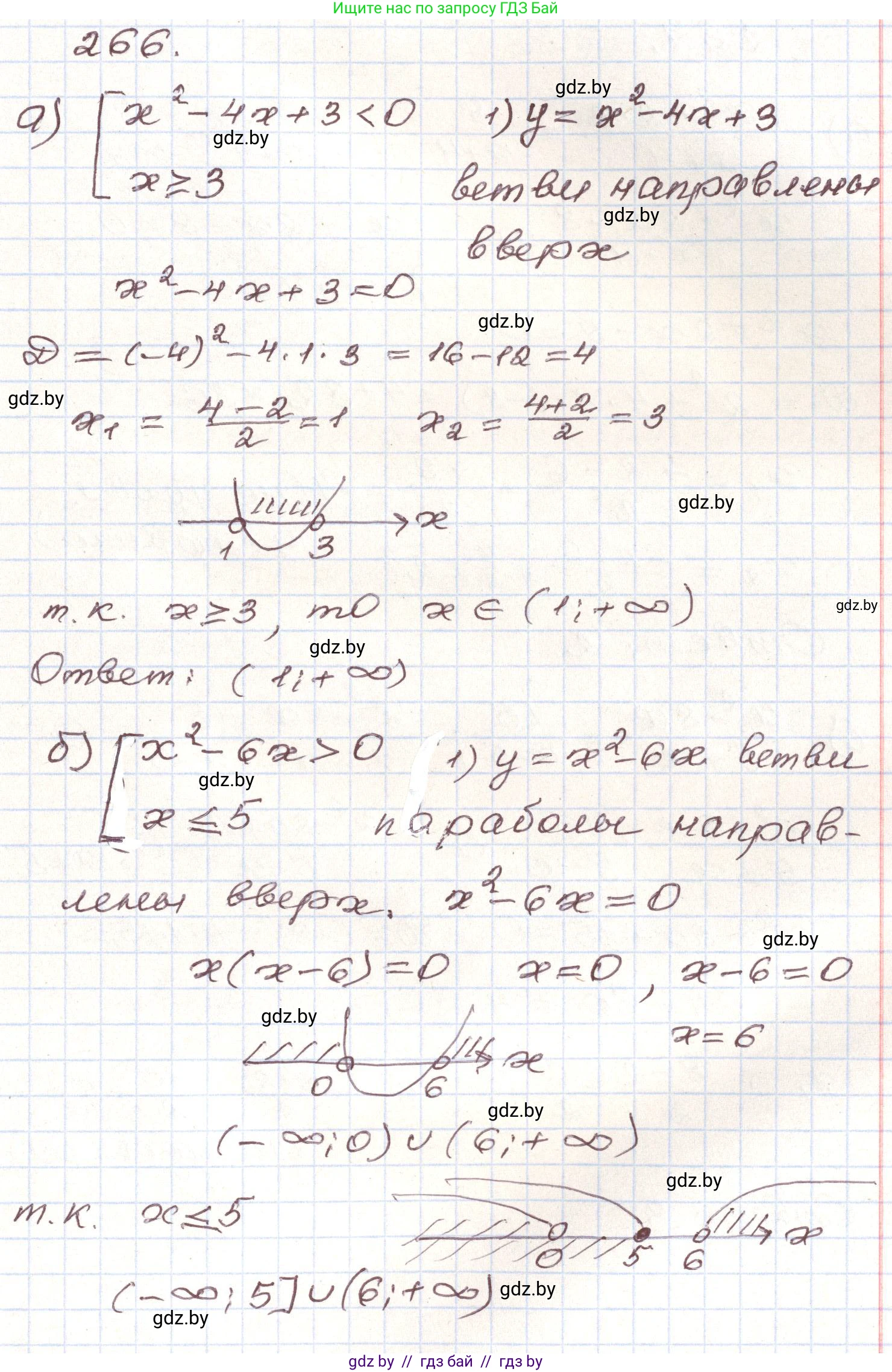
266. Решите совокупность неравенств:

a) $\begin{cases}x^2 - 4x + 3 < 0, \\x \ge 3;\end{cases}$

б) $\begin{cases}x^2 - 6x > 0, \\x \le 5.\end{cases}$

Решение. №266 (с. 294)
Алгебра, 9 класс Учебник, авторы: Арефьева Ирина Глебовна, Пирютко Ольга Николаевна, издательство Народная асвета, Минск, 2019, голубого цвета, страница 294, номер 266, Решение
Решение 2. №266 (с. 294)

a) Решим совокупность неравенств:$$ \left[ \begin{aligned} &x^2 - 4x + 3 < 0, \\ &x \ge 3; \end{aligned} \right. $$Решение совокупности — это объединение решений каждого из неравенств.
1. Решим первое неравенство: $x^2 - 4x + 3 < 0$.
Найдем корни соответствующего уравнения $x^2 - 4x + 3 = 0$. По теореме Виета (или через дискриминант), корни уравнения: $x_1 = 1$ и $x_2 = 3$.
Так как это парабола с ветвями, направленными вверх (коэффициент при $x^2$ положителен), неравенство $x^2 - 4x + 3 < 0$ выполняется на интервале между корнями.
Решение первого неравенства: $x \in (1, 3)$.

2. Решение второго неравенства $x \ge 3$ представляет собой промежуток $x \in [3, +\infty)$.

3. Найдем объединение решений: $(1, 3) \cup [3, +\infty)$.
Объединяя интервал от 1 до 3 (не включая 3) с промежутком от 3 (включая 3) до плюс бесконечности, мы получаем все числа, строго большие 1.
Таким образом, итоговый промежуток: $(1, +\infty)$.
Ответ: $x \in (1, +\infty)$.

б) Решим совокупность неравенств:$$ \left[ \begin{aligned} &x^2 - 6x > 0, \\ &x \le 5; \end{aligned} \right. $$Решение совокупности — это объединение решений каждого из неравенств.
1. Решим первое неравенство: $x^2 - 6x > 0$.
Разложим левую часть на множители: $x(x - 6) > 0$.
Корни соответствующего уравнения $x(x - 6) = 0$ равны $x_1 = 0$ и $x_2 = 6$.
Так как это парабола с ветвями, направленными вверх, неравенство $x^2 - 6x > 0$ выполняется на интервалах вне корней.
Решение первого неравенства: $x \in (-\infty, 0) \cup (6, +\infty)$.

2. Решение второго неравенства $x \le 5$ представляет собой промежуток $x \in (-\infty, 5]$.

3. Найдем объединение решений: $((-\infty, 0) \cup (6, +\infty)) \cup (-\infty, 5]$.
Объединение множества $(-\infty, 0)$ и множества $(-\infty, 5]$ дает большее из них, то есть $(-\infty, 5]$.
Таким образом, итоговое решение представляет собой объединение двух непересекающихся промежутков: $(-\infty, 5]$ и $(6, +\infty)$.
Ответ: $x \in (-\infty, 5] \cup (6, +\infty)$.

Помогло решение? Оставьте отзыв в комментариях ниже.

Присоединяйтесь к Телеграм-группе @gdz_by_belarus

Присоединиться

Мы подготовили для вас ответ c подробным объяснением домашего задания по алгебре за 9 класс, для упражнения номер 266 расположенного на странице 294 к учебнику 2019 года издания для учащихся школ и гимназий.

Теперь на нашем сайте ГДЗ.ТОП вы всегда легко и бесплатно найдёте условие с правильным ответом на вопрос «Как решить ДЗ» и «Как сделать» задание по алгебре к упражнению №266 (с. 294), авторов: Арефьева (Ирина Глебовна), Пирютко (Ольга Николаевна), учебного пособия издательства Народная асвета.