Номер 10.6, страница 51 - гдз по алгебре 10 класс сборник задач Арефьева, Пирютко

Алгебра, 10 класс Сборник задач, авторы: Арефьева Ирина Глебовна, Пирютко Ольга Николаевна, издательство Народная асвета, Минск, 2020, белого цвета

Авторы: Арефьева И. Г., Пирютко О. Н.

Тип: Сборник задач

Издательство: Народная асвета

Год издания: 2020 - 2025

Уровень обучения: базовый и повышенный

Цвет обложки: белый, голубой с графиком

Допущено Министерством образования Республики Беларусь

Популярные ГДЗ в 10 классе

Глава 3. Тригонометрия. Параграф 10. Функции y=sin(x) и y=cos(x). Их свойства и графики - номер 10.6, страница 51.

№10.6 (с. 51)
Условие. №10.6 (с. 51)
скриншот условия
Алгебра, 10 класс Сборник задач, авторы: Арефьева Ирина Глебовна, Пирютко Ольга Николаевна, издательство Народная асвета, Минск, 2020, белого цвета, страница 51, номер 10.6, Условие

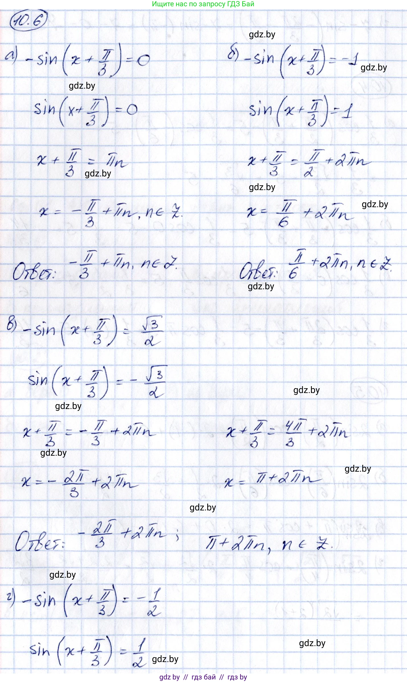
10.6. Найдите несколько значений аргумента, при которых функция $y = -\sin\left(x + \frac{\pi}{3}\right)$ принимает значение, равное:

a) $0$;

б) $-1$;

в) $\frac{\sqrt{3}}{2}$;

г) $-\frac{1}{2}$.

Решение. №10.6 (с. 51)
Алгебра, 10 класс Сборник задач, авторы: Арефьева Ирина Глебовна, Пирютко Ольга Николаевна, издательство Народная асвета, Минск, 2020, белого цвета, страница 51, номер 10.6, Решение Алгебра, 10 класс Сборник задач, авторы: Арефьева Ирина Глебовна, Пирютко Ольга Николаевна, издательство Народная асвета, Минск, 2020, белого цвета, страница 51, номер 10.6, Решение (продолжение 2)
Решение 2. №10.6 (с. 51)

Для нахождения значений аргумента $x$, при которых функция $y = -\sin(x + \frac{\pi}{3})$ принимает заданные значения, необходимо решить соответствующие тригонометрические уравнения.

а) 0;

Приравниваем функцию к нулю: $y = -\sin(x + \frac{\pi}{3}) = 0$ $\sin(x + \frac{\pi}{3}) = 0$ Аргумент синуса, при котором он равен нулю, имеет вид $\pi k$, где $k$ - любое целое число ($k \in Z$). $x + \frac{\pi}{3} = \pi k$ Выражаем $x$: $x = -\frac{\pi}{3} + \pi k, k \in Z$ Найдем несколько частных решений, подставляя различные целые значения $k$:

  • при $k = 0$, $x = -\frac{\pi}{3}$
  • при $k = 1$, $x = -\frac{\pi}{3} + \pi = \frac{2\pi}{3}$
  • при $k = 2$, $x = -\frac{\pi}{3} + 2\pi = \frac{5\pi}{3}$

В значении $x = \frac{5\pi}{3}$ коэффициент при $\pi$ является неправильной дробью $\frac{5}{3} = 1\frac{2}{3}$. Ответ: 1

б) -1;

Приравниваем функцию к -1: $y = -\sin(x + \frac{\pi}{3}) = -1$ $\sin(x + \frac{\pi}{3}) = 1$ Аргумент синуса, при котором он равен единице, имеет вид $\frac{\pi}{2} + 2\pi k$, где $k \in Z$. $x + \frac{\pi}{3} = \frac{\pi}{2} + 2\pi k$ Выражаем $x$: $x = \frac{\pi}{2} - \frac{\pi}{3} + 2\pi k = \frac{3\pi - 2\pi}{6} + 2\pi k = \frac{\pi}{6} + 2\pi k, k \in Z$ Найдем несколько частных решений:

  • при $k = 0$, $x = \frac{\pi}{6}$
  • при $k = 1$, $x = \frac{\pi}{6} + 2\pi = \frac{13\pi}{6}$
  • при $k = -1$, $x = \frac{\pi}{6} - 2\pi = -\frac{11\pi}{6}$

В значении $x = \frac{13\pi}{6}$ коэффициент при $\pi$ является неправильной дробью $\frac{13}{6} = 2\frac{1}{6}$. Ответ: 2

в) $\frac{\sqrt{3}}{2}$;

Приравниваем функцию к $\frac{\sqrt{3}}{2}$: $y = -\sin(x + \frac{\pi}{3}) = \frac{\sqrt{3}}{2}$ $\sin(x + \frac{\pi}{3}) = -\frac{\sqrt{3}}{2}$ Общее решение для уравнения $\sin(t) = a$ имеет вид $t = (-1)^k \arcsin(a) + \pi k$. $x + \frac{\pi}{3} = (-1)^k \arcsin(-\frac{\sqrt{3}}{2}) + \pi k = (-1)^k (-\frac{\pi}{3}) + \pi k = (-1)^{k+1}\frac{\pi}{3} + \pi k, k \in Z$ Разобьем решение на две серии:

  1. Для четных $k=2n$: $x = -\frac{\pi}{3} - \frac{\pi}{3} + 2\pi n = -\frac{2\pi}{3} + 2\pi n$. Например, при $n=1$, $x = -\frac{2\pi}{3} + 2\pi = \frac{4\pi}{3}$.
  2. Для нечетных $k=2n+1$: $x = -\frac{\pi}{3} + \frac{\pi}{3} + (2n+1)\pi = (2n+1)\pi$. Например, при $n=0$, $x = \pi$.

Найдем несколько частных решений: $x = -\frac{2\pi}{3}$, $x = \pi$, $x = \frac{4\pi}{3}$. В значении $x = \frac{4\pi}{3}$ коэффициент при $\pi$ является неправильной дробью $\frac{4}{3} = 1\frac{1}{3}$. Ответ: 1

г) $-\frac{1}{2}$.

Приравниваем функцию к $-\frac{1}{2}$: $y = -\sin(x + \frac{\pi}{3}) = -\frac{1}{2}$ $\sin(x + \frac{\pi}{3}) = \frac{1}{2}$ $x + \frac{\pi}{3} = (-1)^k \arcsin(\frac{1}{2}) + \pi k = (-1)^k \frac{\pi}{6} + \pi k, k \in Z$ Выражаем $x$: $x = -\frac{\pi}{3} + (-1)^k \frac{\pi}{6} + \pi k, k \in Z$ Разобьем решение на две серии:

  1. Для четных $k=2n$: $x = -\frac{\pi}{3} + \frac{\pi}{6} + 2\pi n = -\frac{\pi}{6} + 2\pi n$. Например, при $n=1$, $x = -\frac{\pi}{6} + 2\pi = \frac{11\pi}{6}$.
  2. Для нечетных $k=2n+1$: $x = -\frac{\pi}{3} - \frac{\pi}{6} + (2n+1)\pi = -\frac{\pi}{2} + (2n+1)\pi$. Например, при $n=1$, $x = -\frac{\pi}{2} + 3\pi = \frac{5\pi}{2}$.

Найдем несколько частных решений: $x = -\frac{\pi}{6}$, $x = \frac{\pi}{2}$, $x = \frac{11\pi}{6}$. В значении $x = \frac{5\pi}{2}$ коэффициент при $\pi$ является неправильной дробью $\frac{5}{2} = 2\frac{1}{2}$. Ответ: 2

Помогло решение? Оставьте отзыв в комментариях ниже.

Присоединяйтесь к Телеграм-группе @gdz_by_belarus

Присоединиться

Мы подготовили для вас ответ c подробным объяснением домашего задания по алгебре за 10 класс, для упражнения номер 10.6 расположенного на странице 51 к сборнику задач 2020 года издания для учащихся школ и гимназий.

Теперь на нашем сайте ГДЗ.ТОП вы всегда легко и бесплатно найдёте условие с правильным ответом на вопрос «Как решить ДЗ» и «Как сделать» задание по алгебре к упражнению №10.6 (с. 51), авторов: Арефьева (Ирина Глебовна), Пирютко (Ольга Николаевна), базовый и повышенный уровень обучения учебного пособия издательства Народная асвета.