Номер 13.15, страница 74 - гдз по алгебре 10 класс сборник задач Арефьева, Пирютко

Алгебра, 10 класс Сборник задач, авторы: Арефьева Ирина Глебовна, Пирютко Ольга Николаевна, издательство Народная асвета, Минск, 2020, белого цвета

Авторы: Арефьева И. Г., Пирютко О. Н.

Тип: Сборник задач

Издательство: Народная асвета

Год издания: 2020 - 2025

Уровень обучения: базовый и повышенный

Цвет обложки: белый, голубой с графиком

Допущено Министерством образования Республики Беларусь

Популярные ГДЗ в 10 классе

Глава 3. Тригонометрия. Параграф 13. Тригонометрические уравнения. Тригонометрические неравенства - номер 13.15, страница 74.

№13.15 (с. 74)
Условие. №13.15 (с. 74)
скриншот условия
Алгебра, 10 класс Сборник задач, авторы: Арефьева Ирина Глебовна, Пирютко Ольга Николаевна, издательство Народная асвета, Минск, 2020, белого цвета, страница 74, номер 13.15, Условие

13.15. Решите уравнение $4\cos^3 x - \cos x + \sin x = 0$.

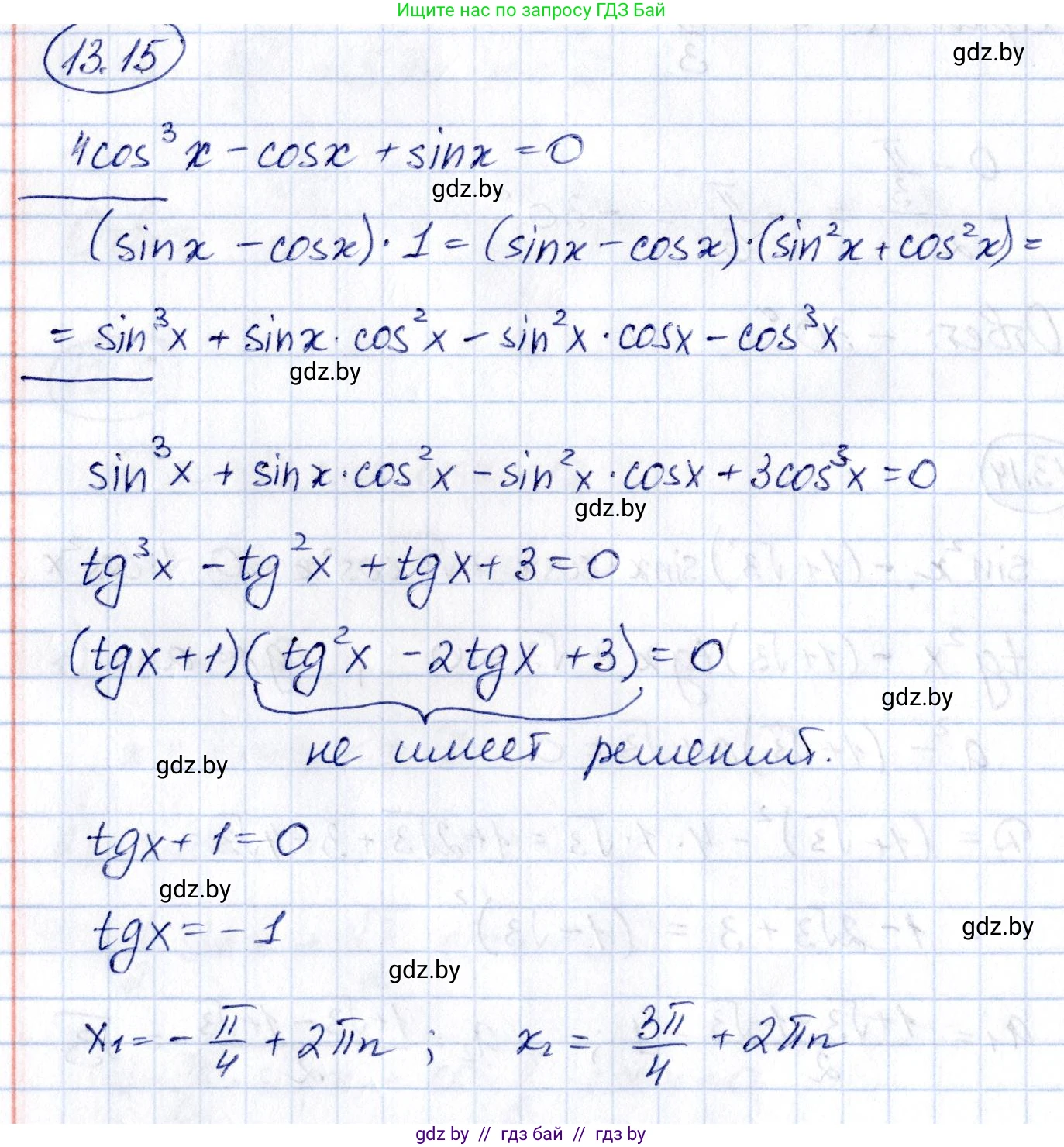
Решение. №13.15 (с. 74)
Алгебра, 10 класс Сборник задач, авторы: Арефьева Ирина Глебовна, Пирютко Ольга Николаевна, издательство Народная асвета, Минск, 2020, белого цвета, страница 74, номер 13.15, Решение Алгебра, 10 класс Сборник задач, авторы: Арефьева Ирина Глебовна, Пирютко Ольга Николаевна, издательство Народная асвета, Минск, 2020, белого цвета, страница 74, номер 13.15, Решение (продолжение 2)
Решение 2. №13.15 (с. 74)
13.15.

Исходное уравнение: $4\cos^3 x - \cos x + \sin x = 0$.

Проверим, может ли $\cos x$ быть равным нулю. Если $\cos x = 0$, то уравнение принимает вид $0 - 0 + \sin x = 0$, откуда $\sin x = 0$. Однако, синус и косинус одного и того же угла не могут быть равны нулю одновременно, так как основное тригонометрическое тождество гласит $\sin^2 x + \cos^2 x = 1$. Следовательно, $\cos x \neq 0$.

Поскольку $\cos x \neq 0$, мы можем разделить обе части уравнения на $\cos^3 x$:

$$ \frac{4\cos^3 x}{\cos^3 x} - \frac{\cos x}{\cos^3 x} + \frac{\sin x}{\cos^3 x} = 0 $$

После упрощения получаем:

$$ 4 - \frac{1}{\cos^2 x} + \frac{\sin x}{\cos x} \cdot \frac{1}{\cos^2 x} = 0 $$

Используя тождества $\tan x = \frac{\sin x}{\cos x}$ и $\frac{1}{\cos^2 x} = 1 + \tan^2 x$, преобразуем уравнение:

$$ 4 - (1 + \tan^2 x) + \tan x (1 + \tan^2 x) = 0 $$

Введем замену $t = \tan x$:

$$ 4 - (1 + t^2) + t(1 + t^2) = 0 $$$$ 3 - t^2 + t + t^3 = 0 $$

Приведем уравнение к стандартному виду:

$$ t^3 - t^2 + t + 3 = 0 $$

Это кубическое уравнение. Найдем его корни. Попробуем найти целые корни среди делителей свободного члена (числа 3), то есть среди $\pm 1, \pm 3$.

Подставим $t = -1$:

$$ (-1)^3 - (-1)^2 + (-1) + 3 = -1 - 1 - 1 + 3 = 0 $$

Так как получилось верное равенство, $t = -1$ является корнем уравнения. Разделим многочлен $t^3 - t^2 + t + 3$ на двучлен $(t+1)$:

$$ (t^3 - t^2 + t + 3) \div (t+1) = t^2 - 2t + 3 $$

Таким образом, уравнение можно записать в виде:

$$ (t+1)(t^2 - 2t + 3) = 0 $$

Это равенство выполняется, если $t+1=0$ или $t^2 - 2t + 3 = 0$.

Первое уравнение дает корень $t = -1$.

Решим второе уравнение $t^2 - 2t + 3 = 0$. Найдем его дискриминант:

$$ D = b^2 - 4ac = (-2)^2 - 4 \cdot 1 \cdot 3 = 4 - 12 = -8 $$

Поскольку дискриминант $D < 0$, квадратное уравнение $t^2 - 2t + 3 = 0$ не имеет действительных корней.

Таким образом, единственным действительным решением для $t$ является $t=-1$.

Вернемся к исходной переменной $x$:

$$ \tan x = -1 $$

Решения этого уравнения имеют вид:

$$ x = -\frac{\pi}{4} + n\pi, \text{ где } n \in \mathbb{Z} $$

Ответ: $x = -\frac{\pi}{4} + n\pi, n \in \mathbb{Z}$.

Помогло решение? Оставьте отзыв в комментариях ниже.

Присоединяйтесь к Телеграм-группе @gdz_by_belarus

Присоединиться

Мы подготовили для вас ответ c подробным объяснением домашего задания по алгебре за 10 класс, для упражнения номер 13.15 расположенного на странице 74 к сборнику задач 2020 года издания для учащихся школ и гимназий.

Теперь на нашем сайте ГДЗ.ТОП вы всегда легко и бесплатно найдёте условие с правильным ответом на вопрос «Как решить ДЗ» и «Как сделать» задание по алгебре к упражнению №13.15 (с. 74), авторов: Арефьева (Ирина Глебовна), Пирютко (Ольга Николаевна), базовый и повышенный уровень обучения учебного пособия издательства Народная асвета.