Номер 16.23, страница 92 - гдз по алгебре 10 класс сборник задач Арефьева, Пирютко

Алгебра, 10 класс Сборник задач, авторы: Арефьева Ирина Глебовна, Пирютко Ольга Николаевна, издательство Народная асвета, Минск, 2020, белого цвета

Авторы: Арефьева И. Г., Пирютко О. Н.

Тип: Сборник задач

Издательство: Народная асвета

Год издания: 2020 - 2025

Уровень обучения: базовый и повышенный

Цвет обложки: белый, голубой с графиком

Допущено Министерством образования Республики Беларусь

Популярные ГДЗ в 10 классе

Глава 3. Тригонометрия. Параграф 16. Формулы двойного аргумента - номер 16.23, страница 92.

№16.23 (с. 92)
Условие. №16.23 (с. 92)
скриншот условия
Алгебра, 10 класс Сборник задач, авторы: Арефьева Ирина Глебовна, Пирютко Ольга Николаевна, издательство Народная асвета, Минск, 2020, белого цвета, страница 92, номер 16.23, Условие

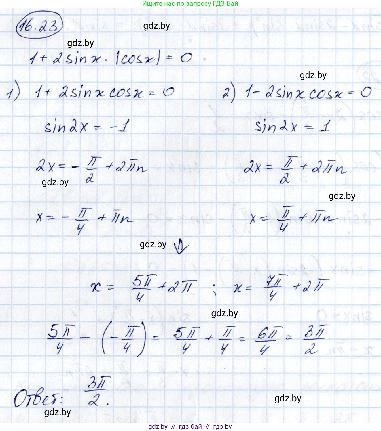
16.23. Найдите разность (в градусах) наименьшего положительного и наибольшего отрицательного корней уравнения $1 + 2\sin x|\cos x| = 0$.

Решение. №16.23 (с. 92)
Алгебра, 10 класс Сборник задач, авторы: Арефьева Ирина Глебовна, Пирютко Ольга Николаевна, издательство Народная асвета, Минск, 2020, белого цвета, страница 92, номер 16.23, Решение
Решение 2. №16.23 (с. 92)

Для решения уравнения $1 + 2\sin x|\cos x| = 0$ необходимо раскрыть модуль, рассмотрев два случая в зависимости от знака $\cos x$.

Случай 1: $\cos x \ge 0$. Это условие выполняется для углов в I и IV координатных четвертях. В этом случае $|\cos x| = \cos x$, и уравнение принимает вид $1 + 2\sin x \cos x = 0$. Используя формулу синуса двойного угла $\sin(2x) = 2\sin x \cos x$, получаем $1 + \sin(2x) = 0$, откуда $\sin(2x) = -1$. Общее решение этого уравнения: $2x = -\frac{\pi}{2} + 2\pi n$, что дает $x = -\frac{\pi}{4} + \pi n$, где $n \in \mathbb{Z}$. Проверяя условие $\cos x \ge 0$, мы находим, что подходят только те решения, где $n$ — четное число. Таким образом, первая серия решений: $x = -\frac{\pi}{4} + 2\pi k$, $k \in \mathbb{Z}$.

Случай 2: $\cos x < 0$. Это условие выполняется для углов во II и III координатных четвертях. В этом случае $|\cos x| = -\cos x$, и уравнение принимает вид $1 - 2\sin x \cos x = 0$. Используя формулу синуса двойного угла, получаем $1 - \sin(2x) = 0$, откуда $\sin(2x) = 1$. Общее решение этого уравнения: $2x = \frac{\pi}{2} + 2\pi n$, что дает $x = \frac{\pi}{4} + \pi n$, где $n \in \mathbb{Z}$. Проверяя условие $\cos x < 0$, мы находим, что подходят только те решения, где $n$ — нечетное число. Таким образом, вторая серия решений: $x = \frac{5\pi}{4} + 2\pi k$, $k \in \mathbb{Z}$.

Наименьший положительный корень:

Из первой серии решений $x = -\frac{\pi}{4} + 2\pi k$ наименьший положительный корень получается при $k=1$: $x = -\frac{\pi}{4} + 2\pi = \frac{7\pi}{4}$.

Из второй серии решений $x = \frac{5\pi}{4} + 2\pi k$ наименьший положительный корень получается при $k=0$: $x = \frac{5\pi}{4}$.

Сравнивая $\frac{7\pi}{4}$ и $\frac{5\pi}{4}$, заключаем, что наименьшим является $\frac{5\pi}{4}$. Ответ: $\frac{5\pi}{4}$, что можно записать как 1$\frac{1}{4}\pi$.

Наибольший отрицательный корень:

Из первой серии решений $x = -\frac{\pi}{4} + 2\pi k$ наибольший отрицательный корень получается при $k=0$: $x = -\frac{\pi}{4}$.

Из второй серии решений $x = \frac{5\pi}{4} + 2\pi k$ наибольший отрицательный корень получается при $k=-1$: $x = \frac{5\pi}{4} - 2\pi = -\frac{3\pi}{4}$.

Сравнивая $-\frac{\pi}{4}$ и $-\frac{3\pi}{4}$, заключаем, что наибольшим является $-\frac{\pi}{4}$. Ответ: $-\frac{\pi}{4}$.

Разность (в градусах) наименьшего положительного и наибольшего отрицательного корней:

Переведем найденные корни в градусы. Наименьший положительный корень: $\frac{5\pi}{4} = \frac{5 \cdot 180^\circ}{4} = 225^\circ$. Наибольший отрицательный корень: $-\frac{\pi}{4} = -\frac{180^\circ}{4} = -45^\circ$.

Разность составляет $225^\circ - (-45^\circ) = 225^\circ + 45^\circ = 270^\circ$. Ответ: 270.

Помогло решение? Оставьте отзыв в комментариях ниже.

Присоединяйтесь к Телеграм-группе @gdz_by_belarus

Присоединиться

Мы подготовили для вас ответ c подробным объяснением домашего задания по алгебре за 10 класс, для упражнения номер 16.23 расположенного на странице 92 к сборнику задач 2020 года издания для учащихся школ и гимназий.

Теперь на нашем сайте ГДЗ.ТОП вы всегда легко и бесплатно найдёте условие с правильным ответом на вопрос «Как решить ДЗ» и «Как сделать» задание по алгебре к упражнению №16.23 (с. 92), авторов: Арефьева (Ирина Глебовна), Пирютко (Ольга Николаевна), базовый и повышенный уровень обучения учебного пособия издательства Народная асвета.