Номер 23.8, страница 117 - гдз по алгебре 10 класс сборник задач Арефьева, Пирютко

Алгебра, 10 класс Сборник задач, авторы: Арефьева Ирина Глебовна, Пирютко Ольга Николаевна, издательство Народная асвета, Минск, 2020, белого цвета

Авторы: Арефьева И. Г., Пирютко О. Н.

Тип: Сборник задач

Издательство: Народная асвета

Год издания: 2020 - 2025

Уровень обучения: базовый и повышенный

Цвет обложки: белый, голубой с графиком

Допущено Министерством образования Республики Беларусь

Популярные ГДЗ в 10 классе

Глава 4. Корень n-й степени из числа. Параграф 23. Иррациональные неравенства - номер 23.8, страница 117.

№23.8 (с. 117)
Условие. №23.8 (с. 117)
скриншот условия
Алгебра, 10 класс Сборник задач, авторы: Арефьева Ирина Глебовна, Пирютко Ольга Николаевна, издательство Народная асвета, Минск, 2020, белого цвета, страница 117, номер 23.8, Условие

23.8. Решите неравенство:

а) $\sqrt{2x-1} < x-2;$

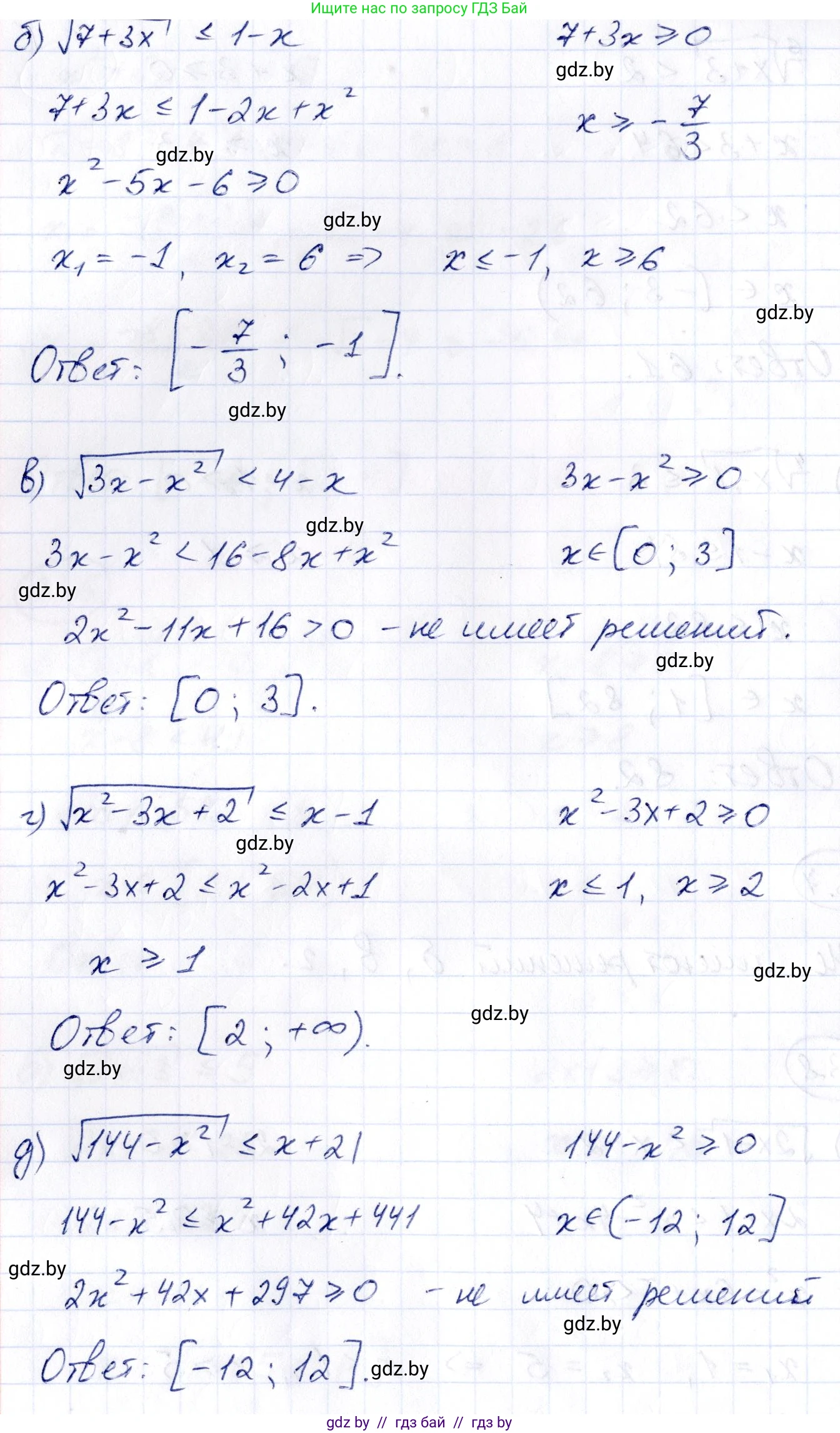
б) $\sqrt{7+3x} \le 1-x;$

в) $\sqrt{3x-x^2} < 4-x;$

г) $\sqrt{x^2-3x+2} \le x-1;$

д) $\sqrt{144-x^2} \le x+21;$

е) $x-1 > \sqrt{2x^2-3x-5}.$

Решение. №23.8 (с. 117)
Алгебра, 10 класс Сборник задач, авторы: Арефьева Ирина Глебовна, Пирютко Ольга Николаевна, издательство Народная асвета, Минск, 2020, белого цвета, страница 117, номер 23.8, Решение Алгебра, 10 класс Сборник задач, авторы: Арефьева Ирина Глебовна, Пирютко Ольга Николаевна, издательство Народная асвета, Минск, 2020, белого цвета, страница 117, номер 23.8, Решение (продолжение 2) Алгебра, 10 класс Сборник задач, авторы: Арефьева Ирина Глебовна, Пирютко Ольга Николаевна, издательство Народная асвета, Минск, 2020, белого цвета, страница 117, номер 23.8, Решение (продолжение 3)
Решение 2. №23.8 (с. 117)

а) Данное неравенство вида $\sqrt{f(x)} < g(x)$ равносильно системе неравенств:
$\begin{cases} 2x-1 \ge 0 \\ x-2 > 0 \\ 2x-1 < (x-2)^2 \end{cases}$
Решим каждое неравенство системы:
1) $2x-1 \ge 0 \implies 2x \ge 1 \implies x \ge \frac{1}{2}$
2) $x-2 > 0 \implies x > 2$
3) $2x-1 < x^2-4x+4 \implies x^2-6x+5 > 0$
Найдем корни уравнения $x^2-6x+5=0$. По теореме Виета, $x_1=1$, $x_2=5$.
Так как ветви параболы направлены вверх, решение неравенства $x^2-6x+5>0$ есть $x \in (-\infty; 1) \cup (5; \infty)$.
Теперь найдем пересечение решений всех трех неравенств:
$\begin{cases} x \ge \frac{1}{2} \\ x > 2 \\ x \in (-\infty; 1) \cup (5; \infty) \end{cases}$
Из первых двух неравенств следует, что $x>2$. Пересекая это с третьим условием, получаем $x \in (5; \infty)$.
Ответ: $x \in (5; \infty)$.

б) Неравенство вида $\sqrt{f(x)} \le g(x)$ равносильно системе:
$\begin{cases} 7+3x \ge 0 \\ 1-x \ge 0 \\ 7+3x \le (1-x)^2 \end{cases}$
Решим каждое неравенство:
1) $7+3x \ge 0 \implies 3x \ge -7 \implies x \ge -\frac{7}{3}$
2) $1-x \ge 0 \implies x \le 1$
3) $7+3x \le 1-2x+x^2 \implies x^2-5x-6 \ge 0$
Найдем корни уравнения $x^2-5x-6=0$. По теореме Виета, $x_1=-1$, $x_2=6$.
Решение неравенства $x^2-5x-6 \ge 0$ есть $x \in (-\infty; -1] \cup [6; \infty)$.
Найдем пересечение решений:
$\begin{cases} x \ge -2\frac{1}{3} \\ x \le 1 \\ x \in (-\infty; -1] \cup [6; \infty) \end{cases}$
Из первых двух неравенств получаем $x \in [-2\frac{1}{3}; 1]$. Пересекая этот интервал с третьим условием, получаем $x \in [-2\frac{1}{3}; -1]$.
Ответ: $x \in [-2\frac{1}{3}; -1]$.

в) Неравенство $\sqrt{3x-x^2} < 4-x$ равносильно системе:
$\begin{cases} 3x-x^2 \ge 0 \\ 4-x > 0 \\ 3x-x^2 < (4-x)^2 \end{cases}$
Решим каждое неравенство:
1) $3x-x^2 \ge 0 \implies x(3-x) \ge 0 \implies x \in [0; 3]$
2) $4-x > 0 \implies x < 4$
3) $3x-x^2 < 16-8x+x^2 \implies 2x^2-11x+16 > 0$
Найдем дискриминант уравнения $2x^2-11x+16=0$: $D = (-11)^2 - 4 \cdot 2 \cdot 16 = 121-128 = -7$.
Так как $D < 0$ и коэффициент при $x^2$ положителен, то $2x^2-11x+16 > 0$ для любых $x$.
Найдем пересечение решений:
$\begin{cases} x \in [0; 3] \\ x < 4 \\ x \in (-\infty; \infty) \end{cases}$
Пересечением является интервал $[0; 3]$.
Ответ: $x \in [0; 3]$.

г) Неравенство $\sqrt{x^2-3x+2} \le x-1$ равносильно системе:
$\begin{cases} x^2-3x+2 \ge 0 \\ x-1 \ge 0 \\ x^2-3x+2 \le (x-1)^2 \end{cases}$
Решим каждое неравенство:
1) $x^2-3x+2 \ge 0$. Корни уравнения $x^2-3x+2=0$ равны $x_1=1, x_2=2$. Решение неравенства: $x \in (-\infty; 1] \cup [2; \infty)$.
2) $x-1 \ge 0 \implies x \ge 1$
3) $x^2-3x+2 \le x^2-2x+1 \implies -3x+2 \le -2x+1 \implies 1 \le x$
Найдем пересечение решений:
$\begin{cases} x \in (-\infty; 1] \cup [2; \infty) \\ x \ge 1 \end{cases}$
Пересечение дает нам точку $x=1$ и промежуток $[2; \infty)$.
Ответ: $x \in \{1\} \cup [2; \infty)$.

д) Неравенство $\sqrt{144-x^2} \le x+21$ равносильно системе:
$\begin{cases} 144-x^2 \ge 0 \\ x+21 \ge 0 \\ 144-x^2 \le (x+21)^2 \end{cases}$
Решим каждое неравенство:
1) $144-x^2 \ge 0 \implies x^2 \le 144 \implies -12 \le x \le 12 \implies x \in [-12; 12]$
2) $x+21 \ge 0 \implies x \ge -21$
3) $144-x^2 \le x^2+42x+441 \implies 2x^2+42x+297 \ge 0$
Найдем дискриминант уравнения $2x^2+42x+297=0$: $D = 42^2 - 4 \cdot 2 \cdot 297 = 1764 - 2376 = -612$.
Так как $D < 0$ и коэффициент при $x^2$ положителен, то неравенство $2x^2+42x+297 \ge 0$ выполняется для любых $x$.
Найдем пересечение решений:
$\begin{cases} x \in [-12; 12] \\ x \ge -21 \end{cases}$
Пересечением является интервал $[-12; 12]$.
Ответ: $x \in [-12; 12]$.

е) Данное неравенство $x-1 > \sqrt{2x^2-3x-5}$ равносильно неравенству $\sqrt{2x^2-3x-5} < x-1$. Оно, в свою очередь, равносильно системе:
$\begin{cases} 2x^2-3x-5 \ge 0 \\ x-1 > 0 \\ (x-1)^2 > 2x^2-3x-5 \end{cases}$
Решим каждое неравенство:
1) $2x^2-3x-5 \ge 0$. Найдем корни уравнения $2x^2-3x-5=0$. Дискриминант $D = (-3)^2 - 4 \cdot 2 \cdot (-5) = 9+40=49$. Корни $x_1 = \frac{3-7}{4} = -1$, $x_2 = \frac{3+7}{4} = \frac{10}{4} = \frac{5}{2}$. Решение неравенства: $x \in (-\infty; -1] \cup [\frac{5}{2}; \infty)$.
2) $x-1 > 0 \implies x > 1$
3) $x^2-2x+1 > 2x^2-3x-5 \implies x^2-x-6 < 0$. Корни уравнения $x^2-x-6=0$ равны $x_1=-2, x_2=3$. Решение неравенства: $x \in (-2; 3)$.
Найдем пересечение решений:
$\begin{cases} x \in (-\infty; -1] \cup [2\frac{1}{2}; \infty) \\ x > 1 \\ x \in (-2; 3) \end{cases}$
Объединяя условия, получаем $x \in [2\frac{1}{2}; 3)$.
Ответ: $x \in [2\frac{1}{2}; 3)$.

Помогло решение? Оставьте отзыв в комментариях ниже.

Присоединяйтесь к Телеграм-группе @gdz_by_belarus

Присоединиться

Мы подготовили для вас ответ c подробным объяснением домашего задания по алгебре за 10 класс, для упражнения номер 23.8 расположенного на странице 117 к сборнику задач 2020 года издания для учащихся школ и гимназий.

Теперь на нашем сайте ГДЗ.ТОП вы всегда легко и бесплатно найдёте условие с правильным ответом на вопрос «Как решить ДЗ» и «Как сделать» задание по алгебре к упражнению №23.8 (с. 117), авторов: Арефьева (Ирина Глебовна), Пирютко (Ольга Николаевна), базовый и повышенный уровень обучения учебного пособия издательства Народная асвета.