Номер 35, страница 33 - гдз по алгебре 11 класс сборник задач Арефьева, Пирютко
Авторы: Арефьева И. Г., Пирютко О. Н.
Тип: Сборник задач
Издательство: Народная асвета
Год издания: 2020 - 2025
Уровень обучения: базовый и повышенный
Цвет обложки: белый с графиком
Допущено Министерством образования Республики Беларусь
Популярные ГДЗ в 11 классе
Глава 2. Показательная функция. Параграф 5. Показательные уравнения - номер 35, страница 33.
№35 (с. 33)
Условие. №35 (с. 33)
скриншот условия
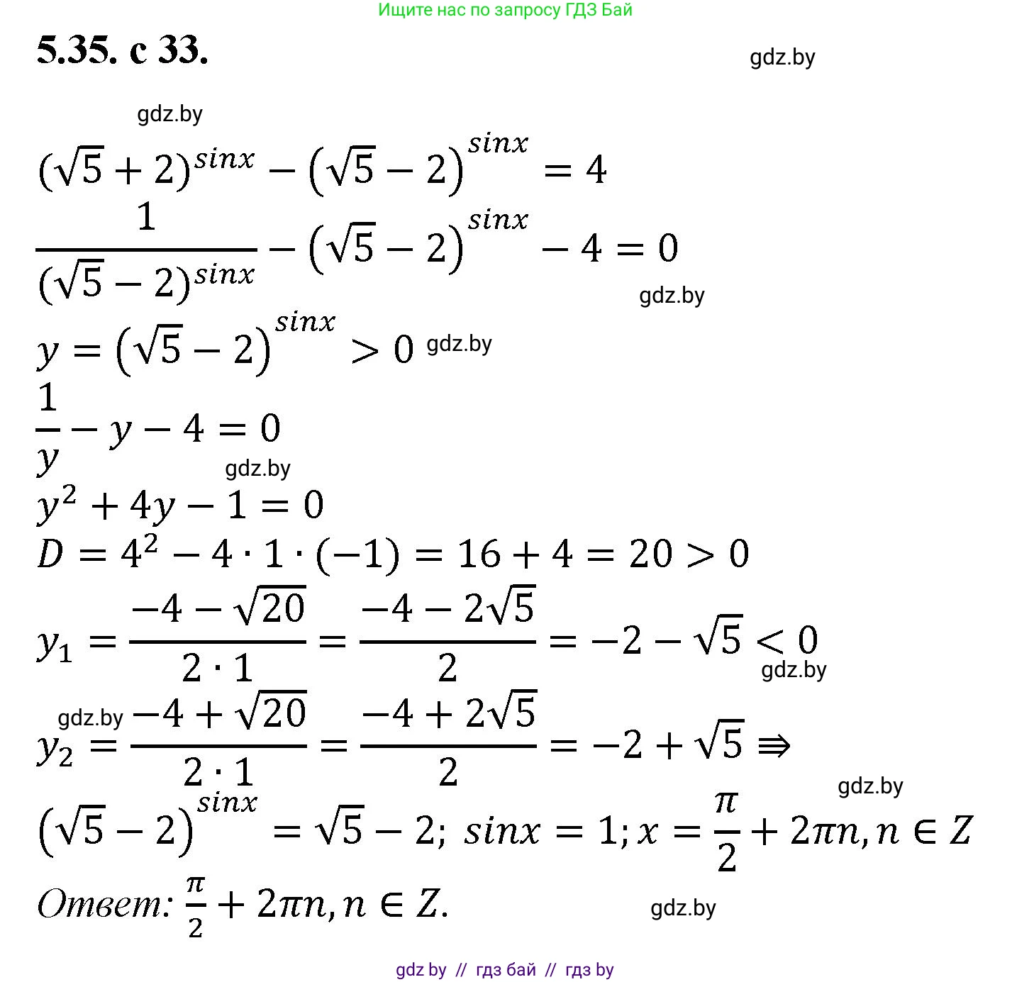
$(\sqrt{5} + 2)^{\sin x} - (\sqrt{5} - 2)^{\sin x} = 4$
Решение. №35 (с. 33)
Решение 2. №35 (с. 33)
Дано уравнение:
$$ (\sqrt{5}+2)^{\sin x} - (\sqrt{5}-2)^{\sin x} = 4 $$
Для решения этого уравнения обратим внимание на основания степеней. Числа $(\sqrt{5}+2)$ и $(\sqrt{5}-2)$ являются сопряженными. Найдем их произведение, используя формулу разности квадратов $(a+b)(a-b) = a^2 - b^2$:
$$ (\sqrt{5}+2)(\sqrt{5}-2) = (\sqrt{5})^2 - 2^2 = 5 - 4 = 1 $$
Из этого следует, что одно число является обратным другому:
$$ \sqrt{5}-2 = \frac{1}{\sqrt{5}+2} = (\sqrt{5}+2)^{-1} $$
Подставим это выражение в исходное уравнение:
$$ (\sqrt{5}+2)^{\sin x} - ((\sqrt{5}+2)^{-1})^{\sin x} = 4 $$
$$ (\sqrt{5}+2)^{\sin x} - (\sqrt{5}+2)^{-\sin x} = 4 $$
Чтобы упростить уравнение, введем замену. Пусть $y = (\sqrt{5}+2)^{\sin x}$. Поскольку основание степени $\sqrt{5}+2 > 0$, то и значение $y$ всегда будет положительным ($y > 0$).
С новой переменной уравнение принимает вид:
$$ y - \frac{1}{y} = 4 $$
Умножим все члены уравнения на $y$ (мы знаем, что $y \neq 0$), чтобы избавиться от дроби:
$$ y^2 - 1 = 4y $$
Перенесем все члены в левую часть, чтобы получить стандартное квадратное уравнение:
$$ y^2 - 4y - 1 = 0 $$
Решим это уравнение с помощью дискриминанта или формулы корней квадратного уравнения. Дискриминант $D = b^2 - 4ac$:
$$ D = (-4)^2 - 4(1)(-1) = 16 + 4 = 20 $$
Корни уравнения:
$$ y = \frac{-b \pm \sqrt{D}}{2a} = \frac{4 \pm \sqrt{20}}{2} = \frac{4 \pm 2\sqrt{5}}{2} = 2 \pm \sqrt{5} $$
Мы получили два возможных значения для $y$:
- $y_1 = 2 + \sqrt{5}$
- $y_2 = 2 - \sqrt{5}$
Теперь нужно проверить эти корни на соответствие условию $y>0$.
- $y_1 = 2 + \sqrt{5}$ — это число очевидно положительное, так что этот корень нам подходит.
- $y_2 = 2 - \sqrt{5}$. Поскольку $\sqrt{4} < \sqrt{5}$, то $2 < \sqrt{5}$, и следовательно, $2 - \sqrt{5} < 0$. Этот корень не удовлетворяет условию $y>0$, поэтому он является посторонним.
Таким образом, у нас остается единственное решение для $y$: $y = 2 + \sqrt{5}$.
Теперь вернемся к нашей замене $y = (\sqrt{5}+2)^{\sin x}$:
$$ (\sqrt{5}+2)^{\sin x} = 2 + \sqrt{5} $$
Мы видим, что правая часть равна основанию степени в левой части:
$$ (\sqrt{5}+2)^{\sin x} = (\sqrt{5}+2)^1 $$
Так как основания степеней равны и больше 1, мы можем приравнять их показатели:
$$ \sin x = 1 $$
Решением этого простейшего тригонометрического уравнения является серия корней:
$$ x = \frac{\pi}{2} + 2\pi n, \text{ где } n \in \mathbb{Z} $$
Ответ: $x = \frac{\pi}{2} + 2\pi n, n \in \mathbb{Z}$.
Другие задания:
Помогло решение? Оставьте отзыв в комментариях ниже.
Присоединяйтесь к Телеграм-группе @gdz_by_belarus
ПрисоединитьсяМы подготовили для вас ответ c подробным объяснением домашего задания по алгебре за 11 класс, для упражнения номер 35 расположенного на странице 33 к сборнику задач 2020 года издания для учащихся школ и гимназий.
Теперь на нашем сайте ГДЗ.ТОП вы всегда легко и бесплатно найдёте условие с правильным ответом на вопрос «Как решить ДЗ» и «Как сделать» задание по алгебре к упражнению №35 (с. 33), авторов: Арефьева (Ирина Глебовна), Пирютко (Ольга Николаевна), базовый и повышенный уровень обучения учебного пособия издательства Народная асвета.