Номер 31, страница 32 - гдз по алгебре 11 класс сборник задач Арефьева, Пирютко

Алгебра, 11 класс Сборник задач, авторы: Арефьева Ирина Глебовна, Пирютко Ольга Николаевна, издательство Народная асвета, Минск, 2020, белого цвета

Авторы: Арефьева И. Г., Пирютко О. Н.

Тип: Сборник задач

Издательство: Народная асвета

Год издания: 2020 - 2025

Уровень обучения: базовый и повышенный

Цвет обложки: белый с графиком

Допущено Министерством образования Республики Беларусь

Популярные ГДЗ в 11 классе

Глава 2. Показательная функция. Параграф 5. Показательные уравнения - номер 31, страница 32.

№31 (с. 32)
Условие. №31 (с. 32)
скриншот условия
Алгебра, 11 класс Сборник задач, авторы: Арефьева Ирина Глебовна, Пирютко Ольга Николаевна, издательство Народная асвета, Минск, 2020, белого цвета, страница 32, номер 31, Условие

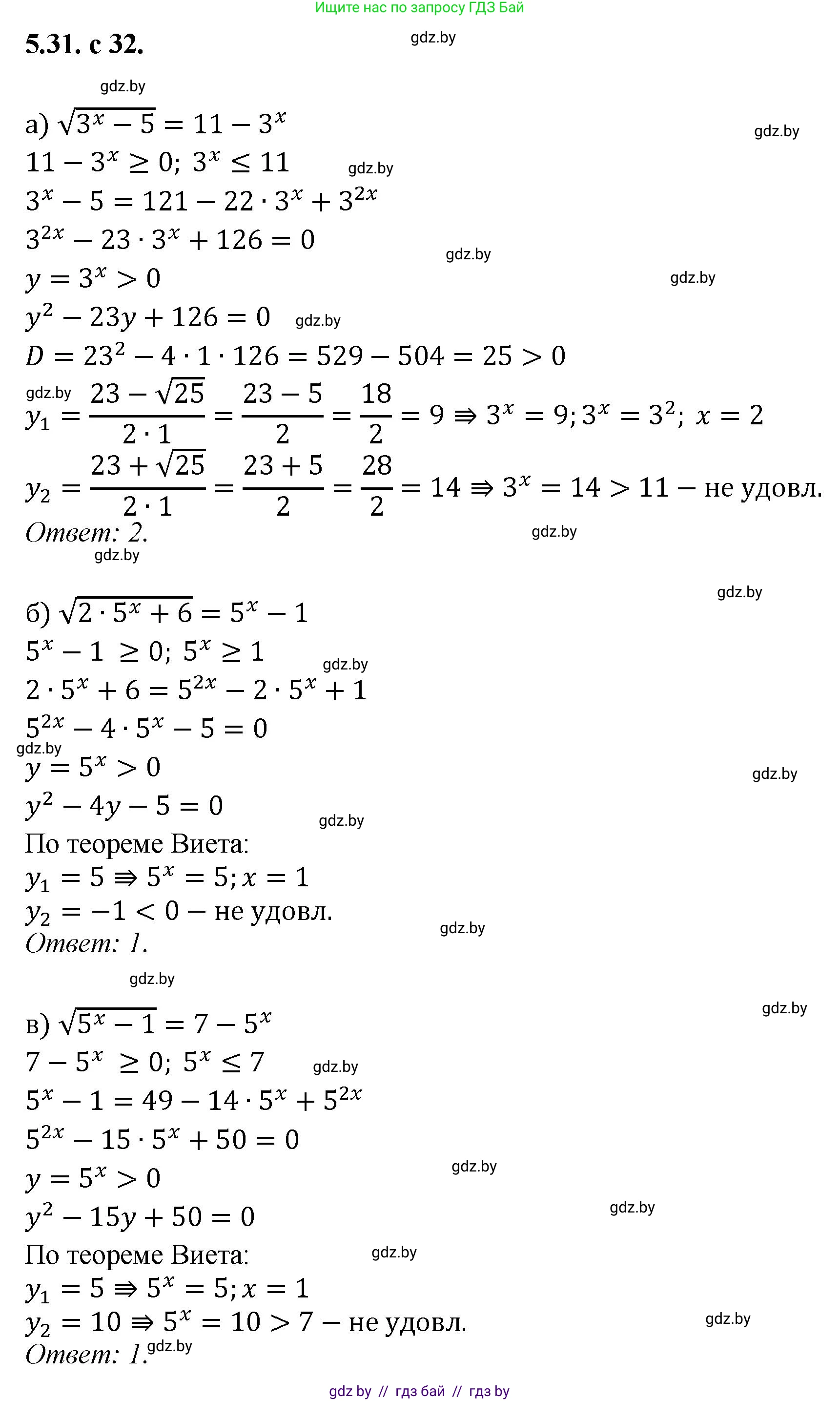
5.31. Решите уравнение:

а) $\sqrt{3^x - 5} = 11 - 3^x$;

б) $\sqrt{2 \cdot 5^x + 6} = 5^x - 1$;

в) $\sqrt{5^x - 1} = 7 - 5^x$;

г) $\sqrt{2^{x+1} - 7} = 9 - 2^{x+1}$;

д) $\sqrt{4^x - 2^x - 2} = \sqrt{4 \cdot 2^x - 6}$;

е) $\sqrt{3^x - 9^x} = \sqrt{3 - 3^{x+1}}$.

Решение. №31 (с. 32)
Алгебра, 11 класс Сборник задач, авторы: Арефьева Ирина Глебовна, Пирютко Ольга Николаевна, издательство Народная асвета, Минск, 2020, белого цвета, страница 32, номер 31, Решение Алгебра, 11 класс Сборник задач, авторы: Арефьева Ирина Глебовна, Пирютко Ольга Николаевна, издательство Народная асвета, Минск, 2020, белого цвета, страница 32, номер 31, Решение (продолжение 2)
Решение 2. №31 (с. 32)

а) Исходное уравнение: $\sqrt{3^x - 5} = 11 - 3^x$.
Введем замену переменной. Пусть $t = 3^x$. Так как $3^x > 0$ для любого действительного $x$, то $t > 0$.
Уравнение принимает вид: $\sqrt{t - 5} = 11 - t$.
Найдем область допустимых значений (ОДЗ) для переменной $t$.
1. Выражение под корнем должно быть неотрицательным: $t - 5 \ge 0 \implies t \ge 5$.
2. Правая часть уравнения, равная арифметическому квадратному корню, также должна быть неотрицательной: $11 - t \ge 0 \implies t \le 11$.
Объединяя условия, получаем ОДЗ: $5 \le t \le 11$.
Возведем обе части уравнения в квадрат, чтобы избавиться от корня:
$(\sqrt{t - 5})^2 = (11 - t)^2$
$t - 5 = 121 - 22t + t^2$
Приведем к стандартному виду квадратного уравнения:
$t^2 - 23t + 126 = 0$.
Решим это квадратное уравнение с помощью дискриминанта:
$D = b^2 - 4ac = (-23)^2 - 4 \cdot 1 \cdot 126 = 529 - 504 = 25 = 5^2$.
$t_1 = \frac{23 - 5}{2} = \frac{18}{2} = 9$.
$t_2 = \frac{23 + 5}{2} = \frac{28}{2} = 14$.
Проверим найденные корни на соответствие ОДЗ ($5 \le t \le 11$).
- Корень $t_1 = 9$ удовлетворяет условию $5 \le 9 \le 11$.
- Корень $t_2 = 14$ не удовлетворяет условию ($14 > 11$), поэтому является посторонним.
Итак, единственное решение для $t$ - это $t=9$.
Вернемся к исходной переменной $x$:
$3^x = t \implies 3^x = 9 \implies 3^x = 3^2$.
Отсюда $x=2$.
Ответ: 2.

б) Исходное уравнение: $\sqrt{2 \cdot 5^x + 6} = 5^x - 1$.
Введем замену переменной. Пусть $t = 5^x$, где $t > 0$.
Уравнение принимает вид: $\sqrt{2t + 6} = t - 1$.
Найдем ОДЗ для $t$:
1. $2t + 6 \ge 0 \implies 2t \ge -6 \implies t \ge -3$.
2. $t - 1 \ge 0 \implies t \ge 1$.
Объединяя условия с $t>0$, получаем ОДЗ: $t \ge 1$.
Возведем обе части в квадрат:
$2t + 6 = (t - 1)^2$
$2t + 6 = t^2 - 2t + 1$
$t^2 - 4t - 5 = 0$.
По теореме Виета, корни уравнения: $t_1 = 5$ и $t_2 = -1$.
Проверим корни на соответствие ОДЗ ($t \ge 1$).
- Корень $t_1 = 5$ удовлетворяет условию.
- Корень $t_2 = -1$ не удовлетворяет условию, является посторонним.
Единственное решение для $t$ - это $t=5$.
Выполним обратную замену:
$5^x = t \implies 5^x = 5 \implies 5^x = 5^1$.
Отсюда $x=1$.
Ответ: 1.

в) Исходное уравнение: $\sqrt{5^x - 1} = 7 - 5^x$.
Введем замену $t = 5^x$, где $t > 0$.
Уравнение: $\sqrt{t - 1} = 7 - t$.
Найдем ОДЗ для $t$:
1. $t - 1 \ge 0 \implies t \ge 1$.
2. $7 - t \ge 0 \implies t \le 7$.
ОДЗ: $1 \le t \le 7$.
Возведем обе части в квадрат:
$t - 1 = (7 - t)^2$
$t - 1 = 49 - 14t + t^2$
$t^2 - 15t + 50 = 0$.
По теореме Виета, корни: $t_1 = 5$ и $t_2 = 10$.
Проверим корни на соответствие ОДЗ ($1 \le t \le 7$).
- Корень $t_1 = 5$ удовлетворяет условию.
- Корень $t_2 = 10$ не удовлетворяет условию, является посторонним.
Единственное решение для $t$ - это $t=5$.
Выполним обратную замену:
$5^x = t \implies 5^x = 5 \implies 5^x = 5^1$.
Отсюда $x=1$.
Ответ: 1.

г) Исходное уравнение: $\sqrt{2^{x+1} - 7} = 9 - 2^{x+1}$.
Введем замену $t = 2^{x+1}$, где $t > 0$.
Уравнение: $\sqrt{t - 7} = 9 - t$.
Найдем ОДЗ для $t$:
1. $t - 7 \ge 0 \implies t \ge 7$.
2. $9 - t \ge 0 \implies t \le 9$.
ОДЗ: $7 \le t \le 9$.
Возведем обе части в квадрат:
$t - 7 = (9 - t)^2$
$t - 7 = 81 - 18t + t^2$
$t^2 - 19t + 88 = 0$.
Решим квадратное уравнение: $D = (-19)^2 - 4 \cdot 1 \cdot 88 = 361 - 352 = 9 = 3^2$.
$t_1 = \frac{19 - 3}{2} = 8$.
$t_2 = \frac{19 + 3}{2} = 11$.
Проверим корни на соответствие ОДЗ ($7 \le t \le 9$).
- Корень $t_1 = 8$ удовлетворяет условию.
- Корень $t_2 = 11$ не удовлетворяет условию, является посторонним.
Единственное решение для $t$ - это $t=8$.
Выполним обратную замену:
$2^{x+1} = t \implies 2^{x+1} = 8 \implies 2^{x+1} = 2^3$.
$x+1 = 3 \implies x = 2$.
Ответ: 2.

д) Исходное уравнение: $\sqrt{4^x - 2^x - 2} = \sqrt{4 \cdot 2^x - 6}$.
Введем замену $t = 2^x$, где $t > 0$. Учтем, что $4^x = (2^x)^2 = t^2$.
Уравнение: $\sqrt{t^2 - t - 2} = \sqrt{4t - 6}$.
Найдем ОДЗ для $t$:
1. $t^2 - t - 2 \ge 0$. Корни трехчлена $t^2 - t - 2=0$ это $t=-1$ и $t=2$. Так как ветви параболы направлены вверх, неравенство выполняется при $t \le -1$ или $t \ge 2$.
2. $4t - 6 \ge 0 \implies 4t \ge 6 \implies t \ge \frac{3}{2}$.
Объединяя все условия ($t>0$, $t \le -1$ или $t \ge 2$, $t \ge 1.5$), получаем ОДЗ: $t \ge 2$.
Так как обе части уравнения неотрицательны, возведем их в квадрат:
$t^2 - t - 2 = 4t - 6$
$t^2 - 5t + 4 = 0$.
По теореме Виета, корни: $t_1 = 1$ и $t_2 = 4$.
Проверим корни на соответствие ОДЗ ($t \ge 2$).
- Корень $t_1 = 1$ не удовлетворяет условию, является посторонним.
- Корень $t_2 = 4$ удовлетворяет условию.
Единственное решение для $t$ - это $t=4$.
Выполним обратную замену:
$2^x = t \implies 2^x = 4 \implies 2^x = 2^2$.
Отсюда $x=2$.
Ответ: 2.

е) Исходное уравнение: $\sqrt{3^x - 9^x} = \sqrt{3 - 3^{x+1}}$.
Введем замену $t = 3^x$, где $t > 0$. Учтем, что $9^x = (3^x)^2 = t^2$ и $3^{x+1} = 3 \cdot 3^x = 3t$.
Уравнение: $\sqrt{t - t^2} = \sqrt{3 - 3t}$.
Найдем ОДЗ для $t$:
1. $t - t^2 \ge 0 \implies t(1 - t) \ge 0$. Ветви параболы направлены вниз, неравенство выполняется при $0 \le t \le 1$.
2. $3 - 3t \ge 0 \implies 3 \ge 3t \implies t \le 1$.
Объединяя все условия ($t>0$, $0 \le t \le 1$), получаем ОДЗ: $0 < t \le 1$.
Возведем обе части в квадрат:
$t - t^2 = 3 - 3t$
$t^2 - 4t + 3 = 0$.
По теореме Виета, корни: $t_1 = 1$ и $t_2 = 3$.
Проверим корни на соответствие ОДЗ ($0 < t \le 1$).
- Корень $t_1 = 1$ удовлетворяет условию.
- Корень $t_2 = 3$ не удовлетворяет условию, является посторонним.
Единственное решение для $t$ - это $t=1$.
Выполним обратную замену:
$3^x = t \implies 3^x = 1 \implies 3^x = 3^0$.
Отсюда $x=0$.
Ответ: 0.

Помогло решение? Оставьте отзыв в комментариях ниже.

Присоединяйтесь к Телеграм-группе @gdz_by_belarus

Присоединиться

Мы подготовили для вас ответ c подробным объяснением домашего задания по алгебре за 11 класс, для упражнения номер 31 расположенного на странице 32 к сборнику задач 2020 года издания для учащихся школ и гимназий.

Теперь на нашем сайте ГДЗ.ТОП вы всегда легко и бесплатно найдёте условие с правильным ответом на вопрос «Как решить ДЗ» и «Как сделать» задание по алгебре к упражнению №31 (с. 32), авторов: Арефьева (Ирина Глебовна), Пирютко (Ольга Николаевна), базовый и повышенный уровень обучения учебного пособия издательства Народная асвета.