Номер 30, страница 61 - гдз по алгебре 11 класс сборник задач Арефьева, Пирютко
Авторы: Арефьева И. Г., Пирютко О. Н.
Тип: Сборник задач
Издательство: Народная асвета
Год издания: 2020 - 2025
Уровень обучения: базовый и повышенный
Цвет обложки: белый с графиком
Допущено Министерством образования Республики Беларусь
Популярные ГДЗ в 11 классе
Глава 3. Логарифмическая функция. Параграф 8. Логарифмическая функция. Производная логарифмической функции - номер 30, страница 61.
№30 (с. 61)
Условие. №30 (с. 61)
скриншот условия
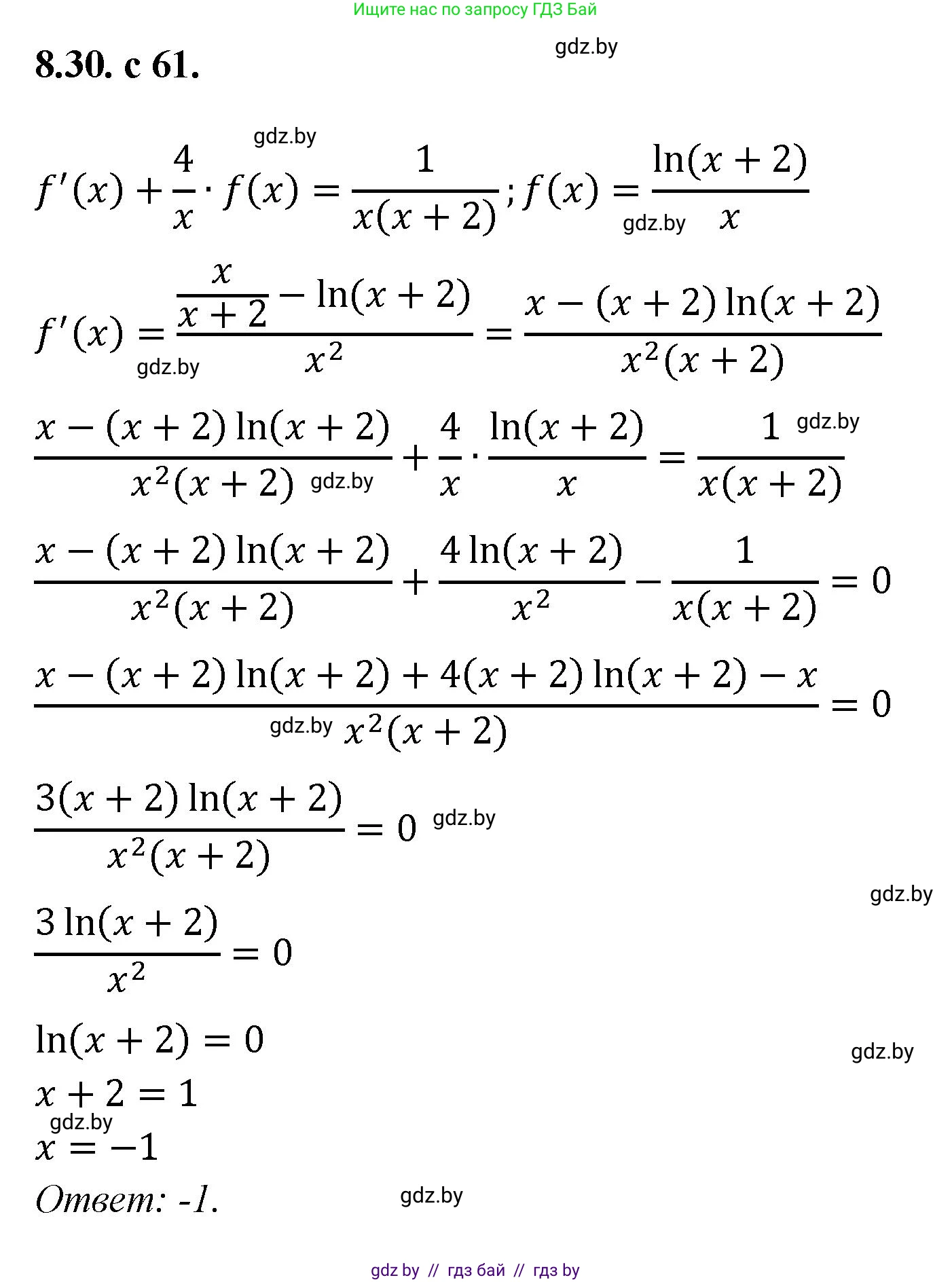
8.30. Найдите произведение корней (корень, если он единственный) уравнения $f'(x) + \frac{4}{x} \cdot f(x) = \frac{1}{x(x+2)}$, если $f(x) = \frac{\ln(x+2)}{x}$.
Решение. №30 (с. 61)
Решение 2. №30 (с. 61)
Для решения данного уравнения необходимо найти производную функции $f(x)$, подставить ее и саму функцию в уравнение, а затем решить полученное уравнение относительно $x$.
1. Определение области допустимых значений (ОДЗ)
Функция $f(x) = \frac{\ln(x+2)}{x}$ и уравнение $f'(x) + \frac{4}{x} \cdot f(x) = \frac{1}{x(x+2)}$ имеют следующие ограничения:
- Аргумент натурального логарифма должен быть строго больше нуля: $x + 2 > 0 \implies x > -2$.
- Знаменатели дробей не должны быть равны нулю: $x \neq 0$ и $x + 2 \neq 0 \implies x \neq -2$.
Объединяя эти условия, получаем ОДЗ: $x \in (-2, 0) \cup (0, +\infty)$.
2. Нахождение производной $f'(x)$
Используем правило дифференцирования частного $(\frac{u}{v})' = \frac{u'v - uv'}{v^2}$ для функции $f(x) = \frac{\ln(x+2)}{x}$.
Пусть $u(x) = \ln(x+2)$ и $v(x) = x$. Тогда их производные:
$u'(x) = \frac{1}{x+2}$
$v'(x) = 1$
Теперь находим производную $f'(x)$:
$f'(x) = \frac{(\ln(x+2))' \cdot x - \ln(x+2) \cdot (x)'}{x^2} = \frac{\frac{1}{x+2} \cdot x - \ln(x+2) \cdot 1}{x^2} = \frac{\frac{x}{x+2} - \ln(x+2)}{x^2}$
Приводя числитель к общему знаменателю, получаем:
$f'(x) = \frac{x - (x+2)\ln(x+2)}{x^2(x+2)}$
3. Подстановка в уравнение и решение
Подставим $f(x)$ и $f'(x)$ в исходное уравнение:
$f'(x) + \frac{4}{x} f(x) = \frac{1}{x(x+2)}$
$\frac{x - (x+2)\ln(x+2)}{x^2(x+2)} + \frac{4}{x} \cdot \frac{\ln(x+2)}{x} = \frac{1}{x(x+2)}$
Упростим левую часть, приведя слагаемые к общему знаменателю $x^2(x+2)$:
$\frac{x - (x+2)\ln(x+2)}{x^2(x+2)} + \frac{4(x+2)\ln(x+2)}{x^2(x+2)} = \frac{1}{x(x+2)}$
$\frac{x - (x+2)\ln(x+2) + 4(x+2)\ln(x+2)}{x^2(x+2)} = \frac{1}{x(x+2)}$
$\frac{x + 3(x+2)\ln(x+2)}{x^2(x+2)} = \frac{1}{x(x+2)}$
Поскольку $x \neq 0$ и $x \neq -2$ (согласно ОДЗ), мы можем умножить обе части уравнения на $x^2(x+2)$:
$x + 3(x+2)\ln(x+2) = \frac{x^2(x+2)}{x(x+2)}$
$x + 3(x+2)\ln(x+2) = x$
Вычтем $x$ из обеих частей:
$3(x+2)\ln(x+2) = 0$
Это уравнение выполняется, когда один из множителей равен нулю. Так как $x+2 \neq 0$ в области допустимых значений, то остается только один вариант:
$\ln(x+2) = 0$
По определению натурального логарифма:
$x+2 = e^0$
$x+2 = 1$
$x = -1$
Найденный корень $x = -1$ удовлетворяет ОДЗ ($ -2 < -1 < 0 $).
Таким образом, уравнение имеет единственный корень.
4. Нахождение произведения корней
По условию задачи требуется найти произведение корней. Так как корень только один, то он и является ответом.
Ответ: -1
Другие задания:
Помогло решение? Оставьте отзыв в комментариях ниже.
Присоединяйтесь к Телеграм-группе @gdz_by_belarus
ПрисоединитьсяМы подготовили для вас ответ c подробным объяснением домашего задания по алгебре за 11 класс, для упражнения номер 30 расположенного на странице 61 к сборнику задач 2020 года издания для учащихся школ и гимназий.
Теперь на нашем сайте ГДЗ.ТОП вы всегда легко и бесплатно найдёте условие с правильным ответом на вопрос «Как решить ДЗ» и «Как сделать» задание по алгебре к упражнению №30 (с. 61), авторов: Арефьева (Ирина Глебовна), Пирютко (Ольга Николаевна), базовый и повышенный уровень обучения учебного пособия издательства Народная асвета.