Номер 15, страница 116 - гдз по алгебре 11 класс сборник задач Арефьева, Пирютко

Алгебра, 11 класс Сборник задач, авторы: Арефьева Ирина Глебовна, Пирютко Ольга Николаевна, издательство Народная асвета, Минск, 2020, белого цвета

Авторы: Арефьева И. Г., Пирютко О. Н.

Тип: Сборник задач

Издательство: Народная асвета

Год издания: 2020 - 2025

Уровень обучения: базовый и повышенный

Цвет обложки: белый с графиком

Допущено Министерством образования Республики Беларусь

Популярные ГДЗ в 11 классе

Глава 4. Системы уравнений и неравенств. Параграф 11. Методы решения систем уравнений - номер 15, страница 116.

№15 (с. 116)
Условие. №15 (с. 116)
скриншот условия
Алгебра, 11 класс Сборник задач, авторы: Арефьева Ирина Глебовна, Пирютко Ольга Николаевна, издательство Народная асвета, Минск, 2020, белого цвета, страница 116, номер 15, Условие

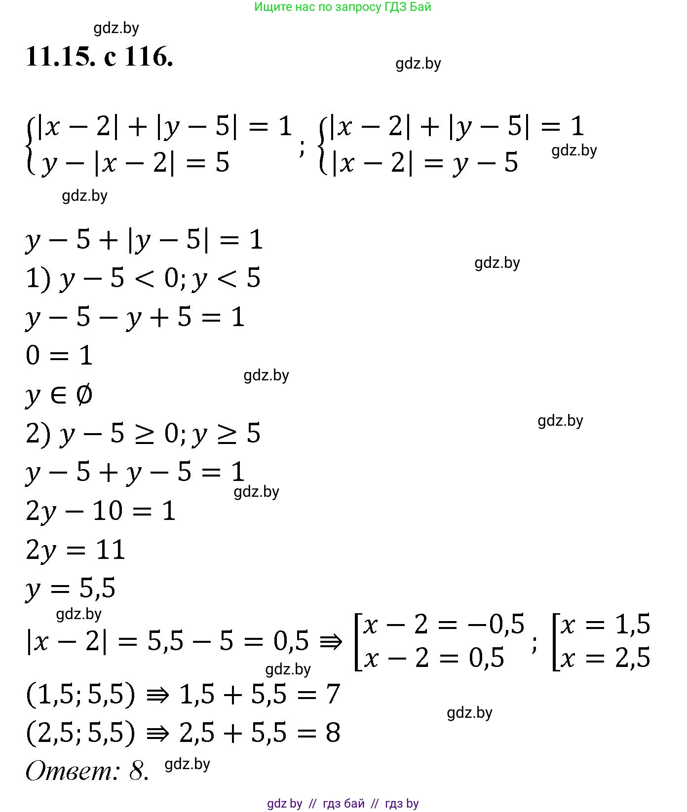
11.15. Найдите наибольшее значение выражения $(x_0 + y_0)$, где $(x_0; y_0)$ — решение системы уравнений $\begin{cases} |x - 2| + |y - 5| = 1, \\ y - |x - 2| = 5. \end{cases}$

Решение. №15 (с. 116)
Алгебра, 11 класс Сборник задач, авторы: Арефьева Ирина Глебовна, Пирютко Ольга Николаевна, издательство Народная асвета, Минск, 2020, белого цвета, страница 116, номер 15, Решение
Решение 2. №15 (с. 116)

Для решения данной системы уравнений $$ \begin{cases} |x - 2| + |y - 5| = 1, \\ y - |x - 2| = 5 \end{cases} $$ воспользуемся методом подстановки.

Из второго уравнения выразим $|x - 2|$: $$|x - 2| = y - 5$$ Так как значение модуля всегда неотрицательно, должно выполняться условие $|x - 2| \ge 0$, что означает $y - 5 \ge 0$, или $y \ge 5$.

Теперь подставим полученное выражение для $|x - 2|$ в первое уравнение системы: $$(y - 5) + |y - 5| = 1$$ Поскольку мы уже установили, что $y \ge 5$, то выражение $y - 5$ является неотрицательным, и следовательно, мы можем раскрыть модуль: $|y - 5| = y - 5$.
Уравнение принимает вид: $$(y - 5) + (y - 5) = 1$$ $$2(y - 5) = 1$$ $$y - 5 = \frac{1}{2}$$ $$y_0 = 5 + \frac{1}{2} = \frac{11}{2}$$ Найденное значение $y_0 = \frac{11}{2} = 5.5$ удовлетворяет условию $y \ge 5$.

Далее найдем соответствующие значения $x_0$, используя выражение $|x - 2| = y - 5$: $$|x_0 - 2| = \frac{11}{2} - 5$$ $$|x_0 - 2| = \frac{11}{2} - \frac{10}{2}$$ $$|x_0 - 2| = \frac{1}{2}$$ Это уравнение с модулем имеет два возможных решения для $x_0$:

  1. $x_0 - 2 = \frac{1}{2} \implies x_0 = 2 + \frac{1}{2} = \frac{5}{2}$
  2. $x_0 - 2 = -\frac{1}{2} \implies x_0 = 2 - \frac{1}{2} = \frac{3}{2}$

Таким образом, система имеет два решения $(x_0; y_0)$: $(\frac{5}{2}; \frac{11}{2})$ и $(\frac{3}{2}; \frac{11}{2})$.

Теперь необходимо найти значение выражения $(x_0 + y_0)$ для каждого из полученных решений, чтобы определить наибольшее.

  • Для решения $(\frac{5}{2}; \frac{11}{2})$: $$x_0 + y_0 = \frac{5}{2} + \frac{11}{2} = \frac{16}{2} = 8$$
  • Для решения $(\frac{3}{2}; \frac{11}{2})$: $$x_0 + y_0 = \frac{3}{2} + \frac{11}{2} = \frac{14}{2} = 7$$

Сравнивая полученные значения 8 и 7, заключаем, что наибольшее значение равно 8.

Наибольшее значение выражения $(x_0 + y_0)$ Ответ: 8

Помогло решение? Оставьте отзыв в комментариях ниже.

Присоединяйтесь к Телеграм-группе @gdz_by_belarus

Присоединиться

Мы подготовили для вас ответ c подробным объяснением домашего задания по алгебре за 11 класс, для упражнения номер 15 расположенного на странице 116 к сборнику задач 2020 года издания для учащихся школ и гимназий.

Теперь на нашем сайте ГДЗ.ТОП вы всегда легко и бесплатно найдёте условие с правильным ответом на вопрос «Как решить ДЗ» и «Как сделать» задание по алгебре к упражнению №15 (с. 116), авторов: Арефьева (Ирина Глебовна), Пирютко (Ольга Николаевна), базовый и повышенный уровень обучения учебного пособия издательства Народная асвета.