Номер 18, страница 117 - гдз по алгебре 11 класс сборник задач Арефьева, Пирютко

Алгебра, 11 класс Сборник задач, авторы: Арефьева Ирина Глебовна, Пирютко Ольга Николаевна, издательство Народная асвета, Минск, 2020, белого цвета

Авторы: Арефьева И. Г., Пирютко О. Н.

Тип: Сборник задач

Издательство: Народная асвета

Год издания: 2020 - 2025

Уровень обучения: базовый и повышенный

Цвет обложки: белый с графиком

Допущено Министерством образования Республики Беларусь

Популярные ГДЗ в 11 классе

Глава 4. Системы уравнений и неравенств. Параграф 11. Методы решения систем уравнений - номер 18, страница 117.

№18 (с. 117)
Условие. №18 (с. 117)
скриншот условия
Алгебра, 11 класс Сборник задач, авторы: Арефьева Ирина Глебовна, Пирютко Ольга Николаевна, издательство Народная асвета, Минск, 2020, белого цвета, страница 117, номер 18, Условие

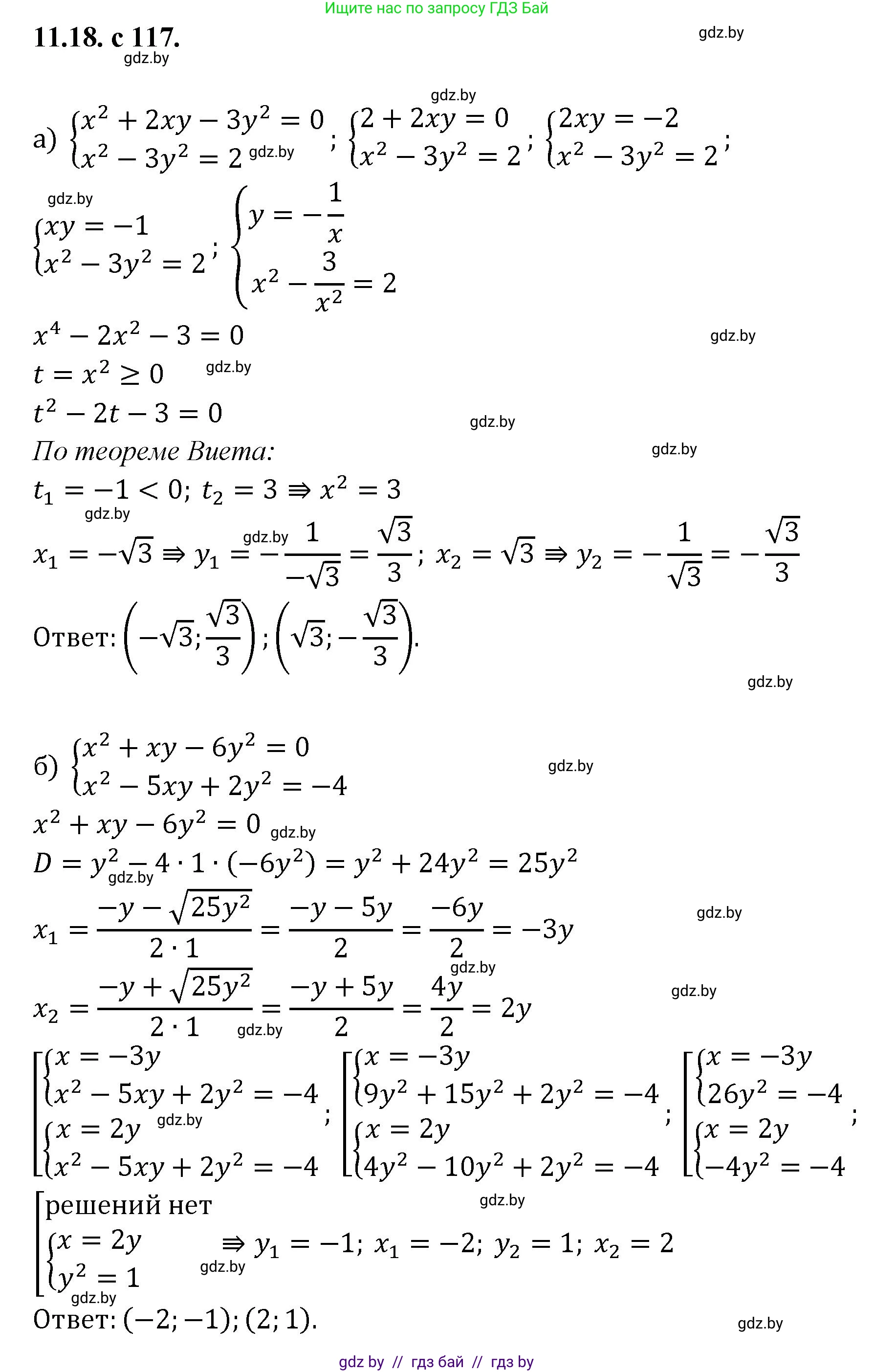
11.18. Решите систему уравнений:

а)

$$\begin{cases}x^2 + 2xy - 3y^2 = 0, \\x^2 - 3y^2 = 2;\end{cases}$$

б)

$$\begin{cases}x^2 + xy - 6y^2 = 0, \\x^2 - 5xy + 2y^2 = -4;\end{cases}$$

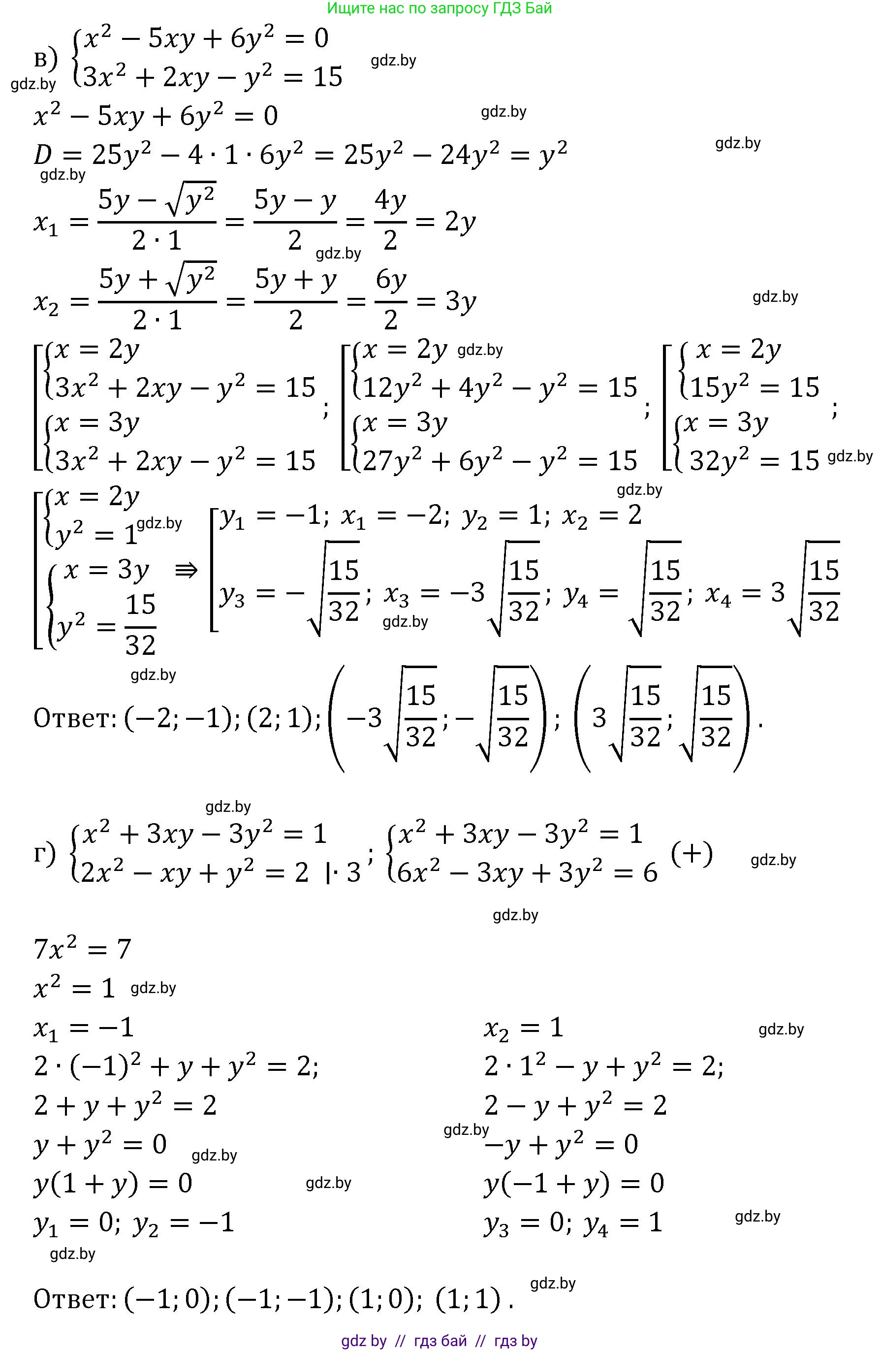
в)

$$\begin{cases}x^2 - 5xy + 6y^2 = 0, \\3x^2 + 2xy - y^2 = 15;\end{cases}$$

г)

$$\begin{cases}x^2 + 3xy - 3y^2 = 1, \\2x^2 - xy + y^2 = 2;\end{cases}$$

д)

$$\begin{cases}2x^2 + 3xy + y^2 = 3, \\3x^2 - xy + 2y^2 = 16;\end{cases}$$

е)

$$\begin{cases}x^2 + 2y^2 - 3x - 5y = -4, \\-2x^2 - 6y^2 + 2x + 15y = 6.\end{cases}$$
Решение. №18 (с. 117)
Алгебра, 11 класс Сборник задач, авторы: Арефьева Ирина Глебовна, Пирютко Ольга Николаевна, издательство Народная асвета, Минск, 2020, белого цвета, страница 117, номер 18, Решение Алгебра, 11 класс Сборник задач, авторы: Арефьева Ирина Глебовна, Пирютко Ольга Николаевна, издательство Народная асвета, Минск, 2020, белого цвета, страница 117, номер 18, Решение (продолжение 2) Алгебра, 11 класс Сборник задач, авторы: Арефьева Ирина Глебовна, Пирютко Ольга Николаевна, издательство Народная асвета, Минск, 2020, белого цвета, страница 117, номер 18, Решение (продолжение 3) Алгебра, 11 класс Сборник задач, авторы: Арефьева Ирина Глебовна, Пирютко Ольга Николаевна, издательство Народная асвета, Минск, 2020, белого цвета, страница 117, номер 18, Решение (продолжение 4)
Решение 2. №18 (с. 117)

а) $ \begin{cases} x^2 + 2xy - 3y^2 = 0 \\ x^2 - 3y^2 = 2 \end{cases} $
Первое уравнение системы является однородным. Предположим, что $y \neq 0$ (случай $y=0$ приводит к $x=0$, что не удовлетворяет второму уравнению), и разделим первое уравнение на $y^2$:
$(\frac{x}{y})^2 + 2(\frac{x}{y}) - 3 = 0$
Сделаем замену $t = \frac{x}{y}$:
$t^2 + 2t - 3 = 0$
Корни этого квадратного уравнения: $t_1 = 1$ и $t_2 = -3$.
Рассмотрим два случая:
1) $\frac{x}{y} = 1 \implies x = y$. Подставим во второе уравнение системы:
$y^2 - 3y^2 = 2 \implies -2y^2 = 2 \implies y^2 = -1$. Действительных решений нет.
2) $\frac{x}{y} = -3 \implies x = -3y$. Подставим во второе уравнение системы:
$(-3y)^2 - 3y^2 = 2 \implies 9y^2 - 3y^2 = 2 \implies 6y^2 = 2 \implies y^2 = \frac{1}{3}$.
Отсюда $y = \pm\frac{1}{\sqrt{3}} = \pm\frac{\sqrt{3}}{3}$.
Если $y = \frac{\sqrt{3}}{3}$, то $x = -3y = -\sqrt{3}$.
Если $y = -\frac{\sqrt{3}}{3}$, то $x = -3y = \sqrt{3}$.
Ответ: $(-\sqrt{3}, \frac{\sqrt{3}}{3})$, $(\sqrt{3}, -\frac{\sqrt{3}}{3})$.

б) $ \begin{cases} x^2 + xy - 6y^2 = 0 \\ x^2 - 5xy + 2y^2 = -4 \end{cases} $
Первое уравнение — однородное. Разделим его на $y^2$ (при $y \neq 0$):
$(\frac{x}{y})^2 + (\frac{x}{y}) - 6 = 0$
Пусть $t = \frac{x}{y}$, тогда $t^2 + t - 6 = 0$. Корни: $t_1 = 2$, $t_2 = -3$.
1) $\frac{x}{y} = 2 \implies x = 2y$. Подставим во второе уравнение:
$(2y)^2 - 5(2y)y + 2y^2 = -4 \implies 4y^2 - 10y^2 + 2y^2 = -4 \implies -4y^2 = -4 \implies y^2 = 1$.
$y = \pm 1$. Если $y = 1$, то $x = 2$. Если $y = -1$, то $x = -2$.
2) $\frac{x}{y} = -3 \implies x = -3y$. Подставим во второе уравнение:
$(-3y)^2 - 5(-3y)y + 2y^2 = -4 \implies 9y^2 + 15y^2 + 2y^2 = -4 \implies 26y^2 = -4$. Действительных решений нет.
Ответ: $(2, 1)$, $(-2, -1)$.

в) $ \begin{cases} x^2 - 5xy + 6y^2 = 0 \\ 3x^2 + 2xy - y^2 = 15 \end{cases} $
Первое уравнение — однородное. Разделим его на $y^2$ (при $y \neq 0$):
$(\frac{x}{y})^2 - 5(\frac{x}{y}) + 6 = 0$
Пусть $t = \frac{x}{y}$, тогда $t^2 - 5t + 6 = 0$. Корни: $t_1 = 2$, $t_2 = 3$.
1) $\frac{x}{y} = 2 \implies x = 2y$. Подставим во второе уравнение:
$3(2y)^2 + 2(2y)y - y^2 = 15 \implies 12y^2 + 4y^2 - y^2 = 15 \implies 15y^2 = 15 \implies y^2 = 1$.
$y = \pm 1$. Если $y=1$, то $x=2$. Если $y=-1$, то $x=-2$.
2) $\frac{x}{y} = 3 \implies x = 3y$. Подставим во второе уравнение:
$3(3y)^2 + 2(3y)y - y^2 = 15 \implies 27y^2 + 6y^2 - y^2 = 15 \implies 32y^2 = 15 \implies y^2 = \frac{15}{32}$.
$y = \pm\sqrt{\frac{15}{32}} = \pm\frac{\sqrt{30}}{8}$.
Если $y = \frac{\sqrt{30}}{8}$, то $x = \frac{3\sqrt{30}}{8}$. Если $y = -\frac{\sqrt{30}}{8}$, то $x = -\frac{3\sqrt{30}}{8}$.
Ответ: $(2, 1)$, $(-2, -1)$, $(\frac{3\sqrt{30}}{8}, \frac{\sqrt{30}}{8})$, $(-\frac{3\sqrt{30}}{8}, -\frac{3\sqrt{30}}{8})$.

г) $ \begin{cases} x^2 + 3xy - 3y^2 = 1 \\ 2x^2 - xy + y^2 = 2 \end{cases} $
Умножим первое уравнение на 2, чтобы приравнять правые части:
$2(x^2 + 3xy - 3y^2) = 2 \implies 2x^2 + 6xy - 6y^2 = 2$.
Приравняем левые части полученного и второго уравнения системы:
$2x^2 + 6xy - 6y^2 = 2x^2 - xy + y^2$
$7xy - 7y^2 = 0 \implies 7y(x-y) = 0$.
Отсюда $y=0$ или $x=y$.
1) Если $y=0$, подставим в первое уравнение: $x^2 = 1 \implies x = \pm 1$. Получаем решения $(1, 0)$ и $(-1, 0)$.
2) Если $x=y$, подставим в первое уравнение: $y^2 + 3y^2 - 3y^2 = 1 \implies y^2 = 1 \implies y = \pm 1$.
Если $y=1$, то $x=1$. Если $y=-1$, то $x=-1$. Получаем решения $(1, 1)$ и $(-1, -1)$.
Ответ: $(1, 0)$, $(-1, 0)$, $(1, 1)$, $(-1, -1)$.

д) $ \begin{cases} 2x^2 + 3xy + y^2 = 3 \\ 3x^2 - xy + 2y^2 = 16 \end{cases} $
Умножим первое уравнение на 16, а второе на 3, чтобы приравнять правые части:
$16(2x^2 + 3xy + y^2) = 48 \implies 32x^2 + 48xy + 16y^2 = 48$
$3(3x^2 - xy + 2y^2) = 48 \implies 9x^2 - 3xy + 6y^2 = 48$
Приравняем левые части: $32x^2 + 48xy + 16y^2 = 9x^2 - 3xy + 6y^2$.
$23x^2 + 51xy + 10y^2 = 0$.
Разделим на $y^2$ (при $y \neq 0$) и сделаем замену $t = \frac{x}{y}$:
$23t^2 + 51t + 10 = 0$.
Дискриминант $D = 51^2 - 4 \cdot 23 \cdot 10 = 2601 - 920 = 1681 = 41^2$.
$t = \frac{-51 \pm 41}{46}$, откуда $t_1 = -2$ и $t_2 = -\frac{10}{46} = -\frac{5}{23}$.
1) $\frac{x}{y} = -2 \implies x = -2y$. Подставим в первое уравнение: $2(-2y)^2 + 3(-2y)y + y^2 = 3 \implies 8y^2 - 6y^2 + y^2 = 3 \implies 3y^2 = 3 \implies y^2 = 1$.
$y = \pm 1$. Если $y=1$, то $x=-2$. Если $y=-1$, то $x=2$.
2) $\frac{x}{y} = -\frac{5}{23} \implies x = -\frac{5}{23}y$. Подставим в первое уравнение: $2(-\frac{5}{23}y)^2 + 3(-\frac{5}{23}y)y + y^2 = 3$.
$y^2(\frac{50}{529} - \frac{15 \cdot 23}{529} + \frac{529}{529}) = 3 \implies y^2 \frac{234}{529} = 3 \implies y^2 = \frac{3 \cdot 529}{234} = \frac{529}{78}$.
$y = \pm\frac{23}{\sqrt{78}} = \pm\frac{23\sqrt{78}}{78}$. Тогда $x = -\frac{5}{23}y = \mp\frac{5\sqrt{78}}{78}$.
Ответ: $(-2, 1)$, $(2, -1)$, $(-\frac{5\sqrt{78}}{78}, \frac{23\sqrt{78}}{78})$, $(\frac{5\sqrt{78}}{78}, -\frac{23\sqrt{78}}{78})$.

е) $ \begin{cases} x^2 + 2y^2 - 3x - 5y = -4 \\ -2x^2 - 6y^2 + 2x + 15y = 6 \end{cases} $
Умножим первое уравнение на 3 и сложим со вторым уравнением. Это позволит исключить $y^2$ и $y$.
$3(x^2 + 2y^2 - 3x - 5y) = 3(-4) \implies 3x^2 + 6y^2 - 9x - 15y = -12$.
Складываем:
$(3x^2 + 6y^2 - 9x - 15y) + (-2x^2 - 6y^2 + 2x + 15y) = -12 + 6$
$x^2 - 7x = -6 \implies x^2 - 7x + 6 = 0$.
Корни этого уравнения: $x_1 = 1$, $x_2 = 6$.
1) Если $x=1$, подставим в первое уравнение исходной системы:
$1^2 + 2y^2 - 3(1) - 5y = -4 \implies 1 + 2y^2 - 3 - 5y = -4 \implies 2y^2 - 5y + 2 = 0$.
Решаем квадратное уравнение для $y$: $y = \frac{5 \pm \sqrt{25 - 16}}{4} = \frac{5 \pm 3}{4}$.
$y_1 = \frac{8}{4} = 2$, $y_2 = \frac{2}{4} = \frac{1}{2}$.
Получаем решения $(1, 2)$ и $(1, \frac{1}{2})$.
2) Если $x=6$, подставим в первое уравнение:
$6^2 + 2y^2 - 3(6) - 5y = -4 \implies 36 + 2y^2 - 18 - 5y = -4 \implies 2y^2 - 5y + 22 = 0$.
Дискриминант $D = (-5)^2 - 4(2)(22) = 25 - 176 = -151 < 0$. Действительных решений нет.
Ответ: $(1, 2)$, $(1, \frac{1}{2})$.

Помогло решение? Оставьте отзыв в комментариях ниже.

Присоединяйтесь к Телеграм-группе @gdz_by_belarus

Присоединиться

Мы подготовили для вас ответ c подробным объяснением домашего задания по алгебре за 11 класс, для упражнения номер 18 расположенного на странице 117 к сборнику задач 2020 года издания для учащихся школ и гимназий.

Теперь на нашем сайте ГДЗ.ТОП вы всегда легко и бесплатно найдёте условие с правильным ответом на вопрос «Как решить ДЗ» и «Как сделать» задание по алгебре к упражнению №18 (с. 117), авторов: Арефьева (Ирина Глебовна), Пирютко (Ольга Николаевна), базовый и повышенный уровень обучения учебного пособия издательства Народная асвета.