Номер 23, страница 117 - гдз по алгебре 11 класс сборник задач Арефьева, Пирютко

Алгебра, 11 класс Сборник задач, авторы: Арефьева Ирина Глебовна, Пирютко Ольга Николаевна, издательство Народная асвета, Минск, 2020, белого цвета

Авторы: Арефьева И. Г., Пирютко О. Н.

Тип: Сборник задач

Издательство: Народная асвета

Год издания: 2020 - 2025

Уровень обучения: базовый и повышенный

Цвет обложки: белый с графиком

Допущено Министерством образования Республики Беларусь

Популярные ГДЗ в 11 классе

Глава 4. Системы уравнений и неравенств. Параграф 11. Методы решения систем уравнений - номер 23, страница 117.

№23 (с. 117)
Условие. №23 (с. 117)
скриншот условия
Алгебра, 11 класс Сборник задач, авторы: Арефьева Ирина Глебовна, Пирютко Ольга Николаевна, издательство Народная асвета, Минск, 2020, белого цвета, страница 117, номер 23, Условие

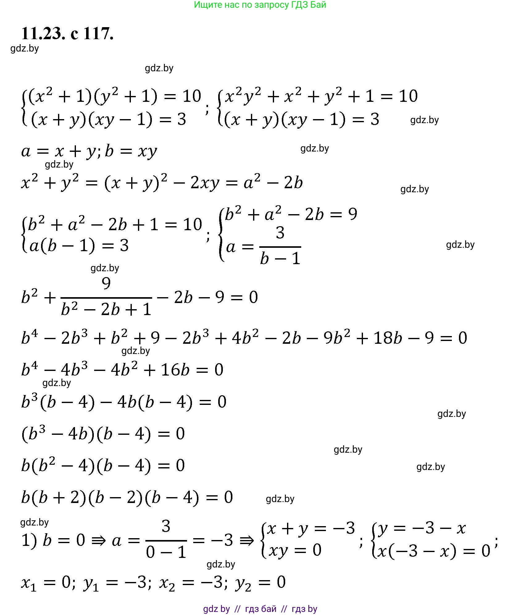
11.23. Найдите значение выражения $n \cdot S$, где $n$ — количество решений, а $S$ — наименьшая из сумм $x_0 + y_0$, зная, что $(x_0; y_0)$ — решение

системы уравнений $\begin{cases} (x^2 + 1)(y^2 + 1) = 10, \\ (x + y)(xy - 1) = 3. \end{cases}$

Решение. №23 (с. 117)
Алгебра, 11 класс Сборник задач, авторы: Арефьева Ирина Глебовна, Пирютко Ольга Николаевна, издательство Народная асвета, Минск, 2020, белого цвета, страница 117, номер 23, Решение Алгебра, 11 класс Сборник задач, авторы: Арефьева Ирина Глебовна, Пирютко Ольга Николаевна, издательство Народная асвета, Минск, 2020, белого цвета, страница 117, номер 23, Решение (продолжение 2)
Решение 2. №23 (с. 117)

Для решения данной системы уравнений $$ \begin{cases} (x^2 + 1)(y^2 + 1) = 10 \\ (x + y)(xy - 1) = 3 \end{cases} $$ сделаем замену переменных. Пусть $u = x+y$ и $v = xy$.

Преобразуем уравнения системы.
Раскроем скобки в первом уравнении:
$(x^2 + 1)(y^2 + 1) = x^2y^2 + x^2 + y^2 + 1 = 10$
Используя стандартные тождества для симметрических многочленов $x^2 + y^2 = (x+y)^2 - 2xy = u^2 - 2v$ и $x^2y^2 = (xy)^2 = v^2$, получаем:
$v^2 + (u^2 - 2v) + 1 = 10 \implies u^2 + v^2 - 2v = 9$.

Раскроем скобки во втором уравнении:
$(x + y)(xy - 1) = x^2y - x + xy^2 - y = 3$
Сгруппируем члены: $xy(x+y) - (x+y) = 3$.
В новых переменных: $uv - u = 3 \implies u(v - 1) = 3$.

Таким образом, мы получили новую систему уравнений относительно $u$ и $v$: $$ \begin{cases} u^2 + v^2 - 2v = 9 \\ u(v - 1) = 3 \end{cases} $$

Для дальнейшего упрощения введем еще одну замену: $w = v - 1$. Отсюда следует, что $v = w + 1$.
Подставим это в систему. Второе уравнение примет вид $uw = 3$.
Подставим $v = w + 1$ в первое уравнение:
$u^2 + (w+1)^2 - 2(w+1) = 9$
$u^2 + w^2 + 2w + 1 - 2w - 2 = 9$
$u^2 + w^2 - 1 = 9 \implies u^2 + w^2 = 10$.

Система для $u$ и $w$ выглядит значительно проще: $$ \begin{cases} u^2 + w^2 = 10 \\ uw = 3 \end{cases} $$

Эта система легко решается. Из второго уравнения $w = 3/u$. Подставим в первое:
$u^2 + (3/u)^2 = 10 \implies u^2 + 9/u^2 = 10$.
Умножим на $u^2$ (заметим, что $u \neq 0$): $u^4 - 10u^2 + 9 = 0$.
Это биквадратное уравнение. Пусть $t = u^2$, тогда $t^2 - 10t + 9 = 0$.
Корни этого квадратного уравнения: $t_1 = 1, t_2 = 9$.
Следовательно, $u^2 = 1$ или $u^2 = 9$.
Отсюда $u = \pm 1$ или $u = \pm 3$.

Найдём соответствующие значения $w$ (из $w=3/u$) и $v$ (из $v=w+1$):

  • Если $u=1$, то $w=3$, а $v=w+1=4$. Получаем пару $(u,v) = (1,4)$.
  • Если $u=-1$, то $w=-3$, а $v=w+1=-2$. Получаем пару $(u,v) = (-1,-2)$.
  • Если $u=3$, то $w=1$, а $v=w+1=2$. Получаем пару $(u,v) = (3,2)$.
  • Если $u=-3$, то $w=-1$, а $v=w+1=0$. Получаем пару $(u,v) = (-3,0)$.

Теперь для каждой из четырех пар $(u, v)$ найдем исходные переменные $x$ и $y$. Они являются корнями квадратного уравнения $z^2 - uz + v = 0$.

  • Для $(u,v) = (1, 4)$: $z^2 - z + 4 = 0$. Дискриминант $D = (-1)^2 - 4(1)(4) = -15 < 0$. Действительных решений нет.
  • Для $(u,v) = (3, 2)$: $z^2 - 3z + 2 = 0$. Корни $z_1=1, z_2=2$. Это дает две пары решений $(x,y)$: $(1, 2)$ и $(2, 1)$.
  • Для $(u,v) = (-1, -2)$: $z^2 + z - 2 = 0$. Корни $z_1=1, z_2=-2$. Это дает две пары решений $(x,y)$: $(1, -2)$ и $(-2, 1)$.
  • Для $(u,v) = (-3, 0)$: $z^2 + 3z = 0$. Корни $z_1=0, z_2=-3$. Это дает две пары решений $(x,y)$: $(0, -3)$ и $(-3, 0)$.

n — количество решений:
Система имеет действительные решения в трех из четырех случаев. Общее количество решений равно $2 + 2 + 2 = 6$. Ответ: 6.

S — наименьшая из сумм $x_0 + y_0$:
Сумма решений $x_0 + y_0$ соответствует значениям переменной $u=x+y$. Мы нашли следующие возможные значения для $u$: $3, -1, -3$. Наименьшее из этих значений равно -3. Ответ: -3.

Наконец, вычислим значение выражения $n \cdot S$:
$n \cdot S = 6 \cdot (-3) = -18$.

Помогло решение? Оставьте отзыв в комментариях ниже.

Присоединяйтесь к Телеграм-группе @gdz_by_belarus

Присоединиться

Мы подготовили для вас ответ c подробным объяснением домашего задания по алгебре за 11 класс, для упражнения номер 23 расположенного на странице 117 к сборнику задач 2020 года издания для учащихся школ и гимназий.

Теперь на нашем сайте ГДЗ.ТОП вы всегда легко и бесплатно найдёте условие с правильным ответом на вопрос «Как решить ДЗ» и «Как сделать» задание по алгебре к упражнению №23 (с. 117), авторов: Арефьева (Ирина Глебовна), Пирютко (Ольга Николаевна), базовый и повышенный уровень обучения учебного пособия издательства Народная асвета.