Номер 13, страница 116 - гдз по алгебре 11 класс сборник задач Арефьева, Пирютко

Алгебра, 11 класс Сборник задач, авторы: Арефьева Ирина Глебовна, Пирютко Ольга Николаевна, издательство Народная асвета, Минск, 2020, белого цвета

Авторы: Арефьева И. Г., Пирютко О. Н.

Тип: Сборник задач

Издательство: Народная асвета

Год издания: 2020 - 2025

Уровень обучения: базовый и повышенный

Цвет обложки: белый с графиком

Допущено Министерством образования Республики Беларусь

Популярные ГДЗ в 11 классе

Глава 4. Системы уравнений и неравенств. Параграф 11. Методы решения систем уравнений - номер 13, страница 116.

№13 (с. 116)
Условие. №13 (с. 116)
скриншот условия
Алгебра, 11 класс Сборник задач, авторы: Арефьева Ирина Глебовна, Пирютко Ольга Николаевна, издательство Народная асвета, Минск, 2020, белого цвета, страница 116, номер 13, Условие

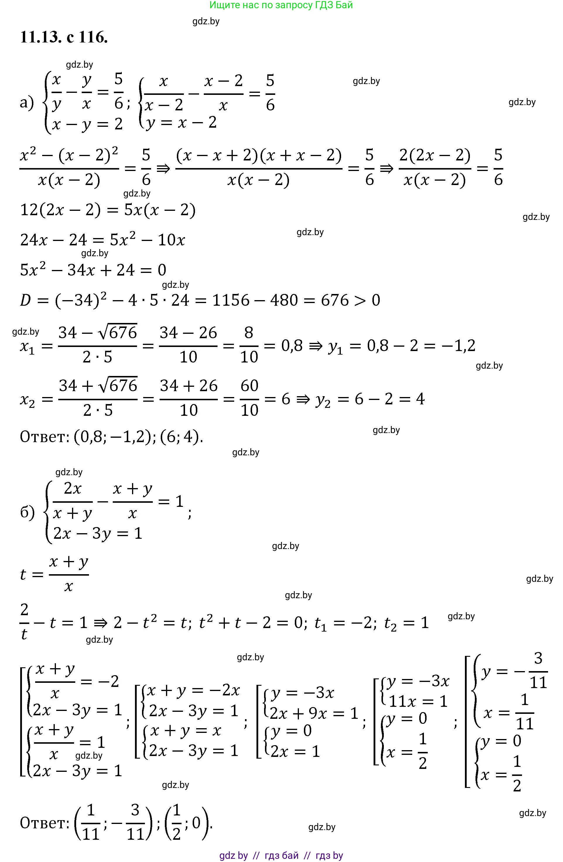
11.13. Решите систему уравнений:

а) $ \begin{cases} \frac{x}{y} - \frac{y}{x} = \frac{5}{6}, \\ x - y = 2; \end{cases} $

б) $ \begin{cases} \frac{2x}{x+y} - \frac{x+y}{x} = 1, \\ 2x - 3y = 1; \end{cases} $

в) $ \begin{cases} 2(x-y)^2 - 11(x-y) + 5 = 0, \\ 2x + 3y = 25; \end{cases} $

г) $ \begin{cases} (x-2y)^2 + 6(x-2y) - 55 = 0; \\ (x-y)^2 + 6(x-y) + 5 = 0. \end{cases} $

Решение. №13 (с. 116)
Алгебра, 11 класс Сборник задач, авторы: Арефьева Ирина Глебовна, Пирютко Ольга Николаевна, издательство Народная асвета, Минск, 2020, белого цвета, страница 116, номер 13, Решение Алгебра, 11 класс Сборник задач, авторы: Арефьева Ирина Глебовна, Пирютко Ольга Николаевна, издательство Народная асвета, Минск, 2020, белого цвета, страница 116, номер 13, Решение (продолжение 2)
Решение 2. №13 (с. 116)

a) Дана система уравнений:

$ \begin{cases} \frac{x}{y} - \frac{y}{x} = \frac{5}{6} \\ x - y = 2 \end{cases} $

Область допустимых значений (ОДЗ): $x \neq 0, y \neq 0$.

Введем замену $t = \frac{x}{y}$. Тогда первое уравнение примет вид:

$t - \frac{1}{t} = \frac{5}{6}$

Умножим обе части уравнения на $6t$, чтобы избавиться от знаменателей (при $t \neq 0$):

$6t^2 - 6 = 5t$

$6t^2 - 5t - 6 = 0$

Решим полученное квадратное уравнение. Вычислим дискриминант:

$D = b^2 - 4ac = (-5)^2 - 4 \cdot 6 \cdot (-6) = 25 + 144 = 169 = 13^2$

Найдем корни уравнения:

$t_1 = \frac{-b + \sqrt{D}}{2a} = \frac{5+13}{12} = \frac{18}{12} = \frac{3}{2}$

$t_2 = \frac{-b - \sqrt{D}}{2a} = \frac{5-13}{12} = \frac{-8}{12} = -\frac{2}{3}$

Теперь вернемся к исходным переменным и рассмотрим два случая.

Случай 1. $t = \frac{x}{y} = \frac{3}{2}$.

Получаем систему:

$ \begin{cases} \frac{x}{y} = \frac{3}{2} \\ x - y = 2 \end{cases} $

Из первого уравнения выразим $x = \frac{3}{2}y$ и подставим во второе:

$\frac{3}{2}y - y = 2 \implies \frac{1}{2}y = 2 \implies y = 4$.

Тогда $x = 4 + 2 = 6$. Первая пара решений: $(6, 4)$.

Случай 2. $t = \frac{x}{y} = -\frac{2}{3}$.

Получаем систему:

$ \begin{cases} \frac{x}{y} = -\frac{2}{3} \\ x - y = 2 \end{cases} $

Из первого уравнения выразим $x = -\frac{2}{3}y$ и подставим во второе:

$-\frac{2}{3}y - y = 2 \implies -\frac{5}{3}y = 2 \implies y = -\frac{6}{5} = -1\frac{1}{5}$.

Тогда $x = 2 + y = 2 - \frac{6}{5} = \frac{10-6}{5} = \frac{4}{5}$. Вторая пара решений: $(\frac{4}{5}, -1\frac{1}{5})$.

Ответ: $(6, 4)$; $(\frac{4}{5}, -1\frac{1}{5})$.

б) Дана система уравнений:

$ \begin{cases} \frac{2x}{x+y} - \frac{x+y}{x} = 1 \\ 2x - 3y = 1 \end{cases} $

ОДЗ: $x \neq 0, x+y \neq 0$.

В первом уравнении введем замену $t = \frac{x+y}{x}$. Тогда $\frac{x}{x+y} = \frac{1}{t}$. Уравнение примет вид:

$2 \cdot \frac{1}{t} - t = 1$

Умножим на $t$ (при $t \neq 0$):

$2 - t^2 = t$

$t^2 + t - 2 = 0$

По теореме Виета, корни уравнения: $t_1 = 1$ и $t_2 = -2$.

Рассмотрим два случая.

Случай 1. $t = \frac{x+y}{x} = 1$.

$x+y = x \implies y=0$.

Подставим $y=0$ во второе уравнение исходной системы:

$2x - 3(0) = 1 \implies 2x = 1 \implies x = \frac{1}{2}$.

Проверка ОДЗ: $x+y = \frac{1}{2}+0 = \frac{1}{2} \neq 0$, $x=\frac{1}{2} \neq 0$. Решение $(\frac{1}{2}, 0)$ подходит.

Случай 2. $t = \frac{x+y}{x} = -2$.

$x+y = -2x \implies y=-3x$.

Подставим $y=-3x$ во второе уравнение системы:

$2x - 3(-3x) = 1 \implies 2x + 9x = 1 \implies 11x=1 \implies x=\frac{1}{11}$.

Тогда $y = -3x = -3 \cdot \frac{1}{11} = -\frac{3}{11}$.

Проверка ОДЗ: $x+y = \frac{1}{11} - \frac{3}{11} = -\frac{2}{11} \neq 0$, $x=\frac{1}{11} \neq 0$. Решение $(\frac{1}{11}, -\frac{3}{11})$ подходит.

Ответ: $(\frac{1}{2}, 0)$; $(\frac{1}{11}, -\frac{3}{11})$.

в) Дана система уравнений:

$ \begin{cases} 2(x-y)^2 - 11(x-y) + 5 = 0 \\ 2x + 3y = 25 \end{cases} $

Первое уравнение является квадратным относительно выражения $(x-y)$. Сделаем замену $t = x-y$:

$2t^2 - 11t + 5 = 0$

Решим это квадратное уравнение. Дискриминант:

$D = (-11)^2 - 4 \cdot 2 \cdot 5 = 121 - 40 = 81 = 9^2$

$t_1 = \frac{11+9}{4} = \frac{20}{4} = 5$

$t_2 = \frac{11-9}{4} = \frac{2}{4} = \frac{1}{2}$

Возвращаемся к переменным $x$ и $y$.

Случай 1. $x-y=5$.

Решаем систему линейных уравнений:

$ \begin{cases} x - y = 5 \\ 2x + 3y = 25 \end{cases} $

Из первого уравнения $x = y+5$. Подставляем во второе:

$2(y+5) + 3y = 25 \implies 2y + 10 + 3y = 25 \implies 5y = 15 \implies y=3$.

Тогда $x = 3+5 = 8$. Первая пара решений: $(8, 3)$.

Случай 2. $x-y = \frac{1}{2}$.

Решаем систему:

$ \begin{cases} x - y = \frac{1}{2} \\ 2x + 3y = 25 \end{cases} $

Из первого уравнения $x = y + \frac{1}{2}$. Подставляем во второе:

$2(y + \frac{1}{2}) + 3y = 25 \implies 2y + 1 + 3y = 25 \implies 5y = 24 \implies y = \frac{24}{5} = 4\frac{4}{5}$.

Тогда $x = \frac{24}{5} + \frac{1}{2} = \frac{48}{10} + \frac{5}{10} = \frac{53}{10} = 5\frac{3}{10}$.

Вторая пара решений: $(5\frac{3}{10}, 4\frac{4}{5})$.

Ответ: $(8, 3)$; $(5\frac{3}{10}, 4\frac{4}{5})$.

г) Дана система уравнений:

$ \begin{cases} (x-2y)^2 + 6(x-2y) - 55 = 0 \\ (x-y)^2 + 6(x-y) + 5 = 0 \end{cases} $

Решим каждое уравнение системы отдельно методом замены.

Для первого уравнения введем замену $a = x-2y$:

$a^2 + 6a - 55 = 0$

По теореме Виета, корни $a_1 = 5$ и $a_2 = -11$. Таким образом, $x-2y = 5$ или $x-2y = -11$.

Для второго уравнения введем замену $b = x-y$:

$b^2 + 6b + 5 = 0$

По теореме Виета, корни $b_1 = -1$ и $b_2 = -5$. Таким образом, $x-y = -1$ или $x-y = -5$.

Комбинируя полученные уравнения, получаем четыре системы линейных уравнений.

Случай 1: $ \begin{cases} x-2y = 5 \\ x-y = -1 \end{cases} $
Вычитая второе уравнение из первого, получаем: $(x-2y) - (x-y) = 5 - (-1) \implies -y = 6 \implies y=-6$.
Подставляя $y=-6$ во второе уравнение: $x - (-6) = -1 \implies x+6 = -1 \implies x=-7$.
Решение: $(-7, -6)$.

Случай 2: $ \begin{cases} x-2y = 5 \\ x-y = -5 \end{cases} $
Вычитая второе из первого: $-y = 10 \implies y=-10$.
Подставляя $y=-10$: $x - (-10) = -5 \implies x+10 = -5 \implies x=-15$.
Решение: $(-15, -10)$.

Случай 3: $ \begin{cases} x-2y = -11 \\ x-y = -1 \end{cases} $
Вычитая второе из первого: $-y = -10 \implies y=10$.
Подставляя $y=10$: $x - 10 = -1 \implies x=9$.
Решение: $(9, 10)$.

Случай 4: $ \begin{cases} x-2y = -11 \\ x-y = -5 \end{cases} $
Вычитая второе из первого: $-y = -6 \implies y=6$.
Подставляя $y=6$: $x - 6 = -5 \implies x=1$.
Решение: $(1, 6)$.

Ответ: $(-7, -6)$; $(-15, -10)$; $(9, 10)$; $(1, 6)$.

Помогло решение? Оставьте отзыв в комментариях ниже.

Присоединяйтесь к Телеграм-группе @gdz_by_belarus

Присоединиться

Мы подготовили для вас ответ c подробным объяснением домашего задания по алгебре за 11 класс, для упражнения номер 13 расположенного на странице 116 к сборнику задач 2020 года издания для учащихся школ и гимназий.

Теперь на нашем сайте ГДЗ.ТОП вы всегда легко и бесплатно найдёте условие с правильным ответом на вопрос «Как решить ДЗ» и «Как сделать» задание по алгебре к упражнению №13 (с. 116), авторов: Арефьева (Ирина Глебовна), Пирютко (Ольга Николаевна), базовый и повышенный уровень обучения учебного пособия издательства Народная асвета.