Номер 3.231, страница 157 - гдз по алгебре 11 класс учебник Арефьева, Пирютко

Алгебра, 11 класс Учебник, авторы: Арефьева Ирина Глебовна, Пирютко Ольга Николаевна, издательство Народная асвета, Минск, 2020, бирюзового цвета

Авторы: Арефьева И. Г., Пирютко О. Н.

Тип: Учебник

Издательство: Народная асвета

Год издания: 2020 - 2025

Цвет обложки: бирюзовый, зелёный с графиком

ISBN: 978-985-03-3165-6

Популярные ГДЗ в 11 классе

Глава 3. Логарифмическая функция. Параграф 10. Логарифмические неравенства - номер 3.231, страница 157.

№3.231 (с. 157)
Условие. №3.231 (с. 157)
скриншот условия
Алгебра, 11 класс Учебник, авторы: Арефьева Ирина Глебовна, Пирютко Ольга Николаевна, издательство Народная асвета, Минск, 2020, бирюзового цвета, страница 157, номер 3.231, Условие

3.231. Решите неравенство, используя равносильные преобразования:

а) $log_{25} (x^2 - 7) > log_{25} (x-1)$;

б) $log_7 (x^2 - 4) < log_7 (3x + 6)$;

в) $log_{\frac{1}{7}} (x^2 - 3x) > log_{\frac{1}{7}} (2x - 4)$;

г) $log_{\frac{3}{4}} (3x + 4) \leq log_{\frac{3}{4}} x^2$;

д) $log_{0,7} (9 - x^2) > log_{0,7} (4x + 4)$;

е) $log_{0,9} (x^2 - 6x) \geq log_{0,9} (6x - 35)$.

Решение. №3.231 (с. 157)
Алгебра, 11 класс Учебник, авторы: Арефьева Ирина Глебовна, Пирютко Ольга Николаевна, издательство Народная асвета, Минск, 2020, бирюзового цвета, страница 157, номер 3.231, Решение Алгебра, 11 класс Учебник, авторы: Арефьева Ирина Глебовна, Пирютко Ольга Николаевна, издательство Народная асвета, Минск, 2020, бирюзового цвета, страница 157, номер 3.231, Решение (продолжение 2) Алгебра, 11 класс Учебник, авторы: Арефьева Ирина Глебовна, Пирютко Ольга Николаевна, издательство Народная асвета, Минск, 2020, бирюзового цвета, страница 157, номер 3.231, Решение (продолжение 3)
Решение 2. №3.231 (с. 157)

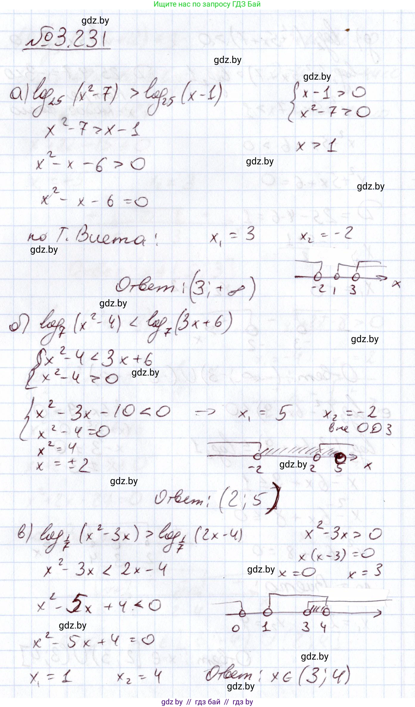
а) $\log_{25}(x^2 - 7) > \log_{25}(x - 1)$
Поскольку основание логарифма $a = 25 > 1$, логарифмическая функция является возрастающей. Данное неравенство равносильно системе, где подлогарифмическое выражение большего логарифма больше подлогарифмического выражения меньшего, и меньшее подлогарифмическое выражение должно быть положительным:
$\begin{cases} x^2 - 7 > x - 1 \\ x - 1 > 0 \end{cases}$
Решим эту систему.
Из второго неравенства следует: $x > 1$.
Решим первое неравенство: $x^2 - x - 6 > 0$.
Корни соответствующего квадратного уравнения $x^2 - x - 6 = 0$ равны $x_1 = -2$ и $x_2 = 3$.
Решением неравенства $x^2 - x - 6 > 0$ является объединение интервалов $(-\infty; -2) \cup (3; +\infty)$.
Найдем пересечение решений системы: $x > 1$ и $x \in (-\infty; -2) \cup (3; +\infty)$.
Общим решением является интервал $(3; +\infty)$.
Ответ: $(3; +\infty)$.

б) $\log_{7}(x^2 - 4) < \log_{7}(3x + 6)$
Поскольку основание логарифма $a = 7 > 1$, логарифмическая функция является возрастающей. Данное неравенство равносильно системе, где подлогарифмическое выражение меньшего логарифма меньше подлогарифмического выражения большего, и меньшее подлогарифмическое выражение должно быть положительным:
$\begin{cases} x^2 - 4 < 3x + 6 \\ x^2 - 4 > 0 \end{cases}$
Решим эту систему.
Решим первое неравенство: $x^2 - 3x - 10 < 0$.
Корни уравнения $x^2 - 3x - 10 = 0$ равны $x_1 = -2$ и $x_2 = 5$.
Решением неравенства является интервал $(-2; 5)$.
Решим второе неравенство: $x^2 - 4 > 0$.
Корни уравнения $x^2 - 4 = 0$ равны $x_1 = -2$ и $x_2 = 2$.
Решением неравенства является объединение интервалов $(-\infty; -2) \cup (2; +\infty)$.
Найдем пересечение решений системы: $x \in (-2; 5)$ и $x \in (-\infty; -2) \cup (2; +\infty)$.
Общим решением является интервал $(2; 5)$.
Ответ: $(2; 5)$.

в) $\log_{\frac{1}{7}}(x^2 - 3x) > \log_{\frac{1}{7}}(2x - 4)$
Поскольку основание логарифма $a = \frac{1}{7}$ удовлетворяет условию $0 < a < 1$, логарифмическая функция является убывающей. Данное неравенство равносильно системе, в которой знак неравенства для подлогарифмических выражений меняется на противоположный, и меньшее из новых выражений должно быть положительным:
$\begin{cases} x^2 - 3x < 2x - 4 \\ x^2 - 3x > 0 \end{cases}$
Решим эту систему.
Решим первое неравенство: $x^2 - 5x + 4 < 0$.
Корни уравнения $x^2 - 5x + 4 = 0$ равны $x_1 = 1$ и $x_2 = 4$.
Решением неравенства является интервал $(1; 4)$.
Решим второе неравенство: $x^2 - 3x > 0$, или $x(x-3) > 0$.
Решением является объединение интервалов $(-\infty; 0) \cup (3; +\infty)$.
Найдем пересечение решений системы: $x \in (1; 4)$ и $x \in (-\infty; 0) \cup (3; +\infty)$.
Общим решением является интервал $(3; 4)$.
Ответ: $(3; 4)$.

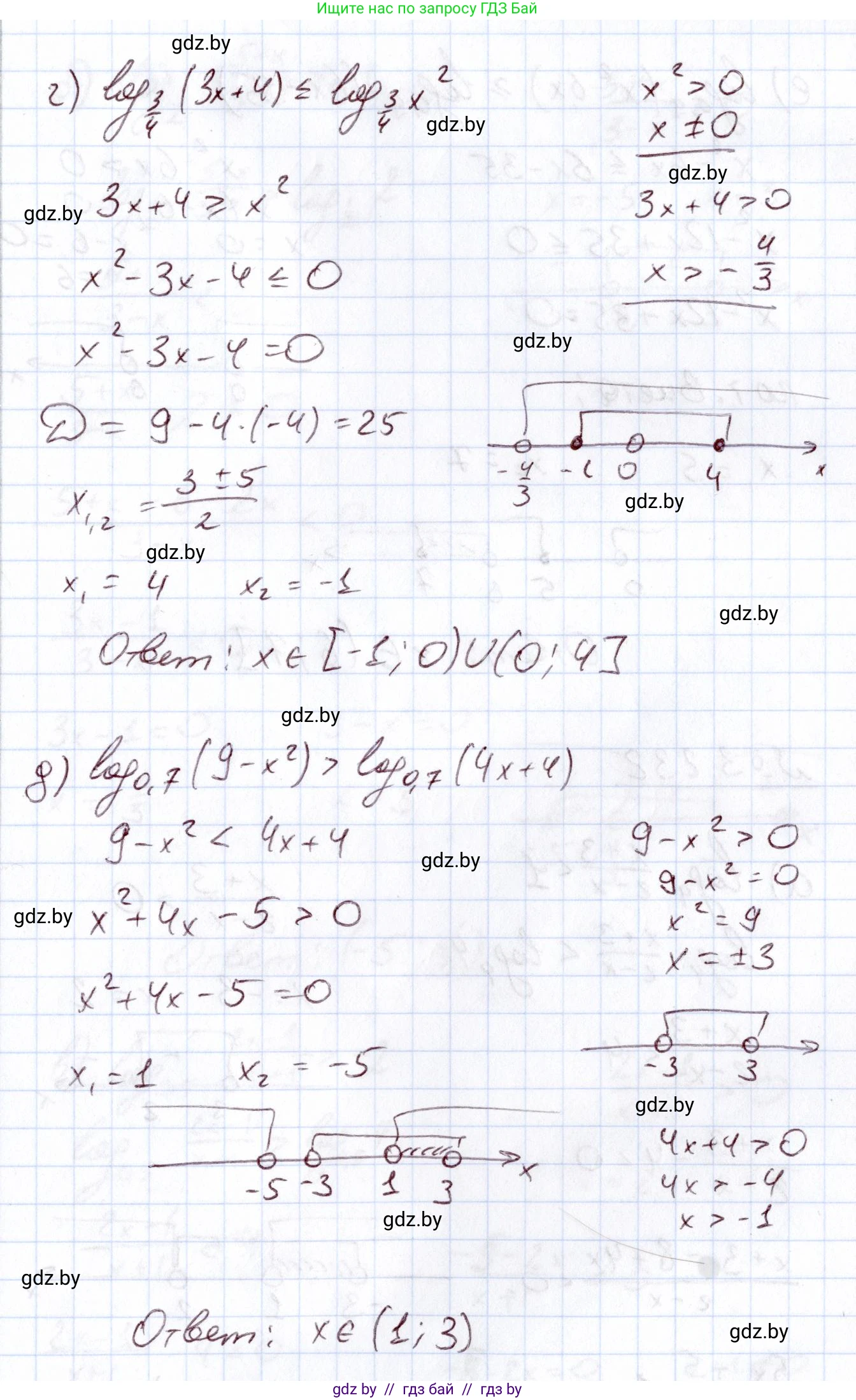
г) $\log_{\frac{3}{4}}(3x + 4) \le \log_{\frac{3}{4}}(x^2)$
Поскольку основание логарифма $a = \frac{3}{4}$ удовлетворяет условию $0 < a < 1$, логарифмическая функция является убывающей. Данное неравенство равносильно системе, в которой знак неравенства для подлогарифмических выражений меняется на противоположный, и меньшее из исходных выражений должно быть положительным:
$\begin{cases} 3x + 4 \ge x^2 \\ x^2 > 0 \end{cases}$
Решим эту систему.
Решим первое неравенство: $x^2 - 3x - 4 \le 0$.
Корни уравнения $x^2 - 3x - 4 = 0$ равны $x_1 = -1$ и $x_2 = 4$.
Решением неравенства является отрезок $[-1; 4]$.
Решим второе неравенство: $x^2 > 0$.
Решением является $x \neq 0$, то есть $x \in (-\infty; 0) \cup (0; +\infty)$.
Найдем пересечение решений системы: $x \in [-1; 4]$ и $x \neq 0$.
Общим решением является $[-1; 0) \cup (0; 4]$.
Ответ: $[-1; 0) \cup (0; 4]$.

д) $\log_{0,7}(9 - x^2) > \log_{0,7}(4x + 4)$
Поскольку основание логарифма $a = 0,7$ удовлетворяет условию $0 < a < 1$, логарифмическая функция является убывающей. Данное неравенство равносильно системе:
$\begin{cases} 9 - x^2 < 4x + 4 \\ 9 - x^2 > 0 \end{cases}$
Решим эту систему.
Решим первое неравенство: $x^2 + 4x - 5 > 0$.
Корни уравнения $x^2 + 4x - 5 = 0$ равны $x_1 = -5$ и $x_2 = 1$.
Решением неравенства является объединение интервалов $(-\infty; -5) \cup (1; +\infty)$.
Решим второе неравенство: $9 - x^2 > 0$, или $x^2 < 9$.
Решением является интервал $(-3; 3)$.
Найдем пересечение решений системы: $x \in (-\infty; -5) \cup (1; +\infty)$ и $x \in (-3; 3)$.
Общим решением является интервал $(1; 3)$.
Ответ: $(1; 3)$.

е) $\log_{0,9}(x^2 - 6x) \ge \log_{0,9}(6x - 35)$
Поскольку основание логарифма $a = 0,9$ удовлетворяет условию $0 < a < 1$, логарифмическая функция является убывающей. Данное неравенство равносильно системе:
$\begin{cases} x^2 - 6x \le 6x - 35 \\ x^2 - 6x > 0 \end{cases}$
Решим эту систему.
Решим первое неравенство: $x^2 - 12x + 35 \le 0$.
Корни уравнения $x^2 - 12x + 35 = 0$ равны $x_1 = 5$ и $x_2 = 7$.
Решением неравенства является отрезок $[5; 7]$.
Решим второе неравенство: $x^2 - 6x > 0$, или $x(x-6) > 0$.
Решением является объединение интервалов $(-\infty; 0) \cup (6; +\infty)$.
Найдем пересечение решений системы: $x \in [5; 7]$ и $x \in (-\infty; 0) \cup (6; +\infty)$.
Общим решением является полуинтервал $(6; 7]$.
Ответ: $(6; 7]$.

Помогло решение? Оставьте отзыв в комментариях ниже.

Присоединяйтесь к Телеграм-группе @gdz_by_belarus

Присоединиться

Мы подготовили для вас ответ c подробным объяснением домашего задания по алгебре за 11 класс, для упражнения номер 3.231 расположенного на странице 157 к учебнику 2020 года издания для учащихся школ и гимназий.

Теперь на нашем сайте ГДЗ.ТОП вы всегда легко и бесплатно найдёте условие с правильным ответом на вопрос «Как решить ДЗ» и «Как сделать» задание по алгебре к упражнению №3.231 (с. 157), авторов: Арефьева (Ирина Глебовна), Пирютко (Ольга Николаевна), учебного пособия издательства Народная асвета.