Номер 3.238, страница 158 - гдз по алгебре 11 класс учебник Арефьева, Пирютко

Алгебра, 11 класс Учебник, авторы: Арефьева Ирина Глебовна, Пирютко Ольга Николаевна, издательство Народная асвета, Минск, 2020, бирюзового цвета

Авторы: Арефьева И. Г., Пирютко О. Н.

Тип: Учебник

Издательство: Народная асвета

Год издания: 2020 - 2025

Цвет обложки: бирюзовый, зелёный с графиком

ISBN: 978-985-03-3165-6

Популярные ГДЗ в 11 классе

Глава 3. Логарифмическая функция. Параграф 10. Логарифмические неравенства - номер 3.238, страница 158.

№3.238 (с. 158)
Условие. №3.238 (с. 158)
скриншот условия
Алгебра, 11 класс Учебник, авторы: Арефьева Ирина Глебовна, Пирютко Ольга Николаевна, издательство Народная асвета, Минск, 2020, бирюзового цвета, страница 158, номер 3.238, Условие

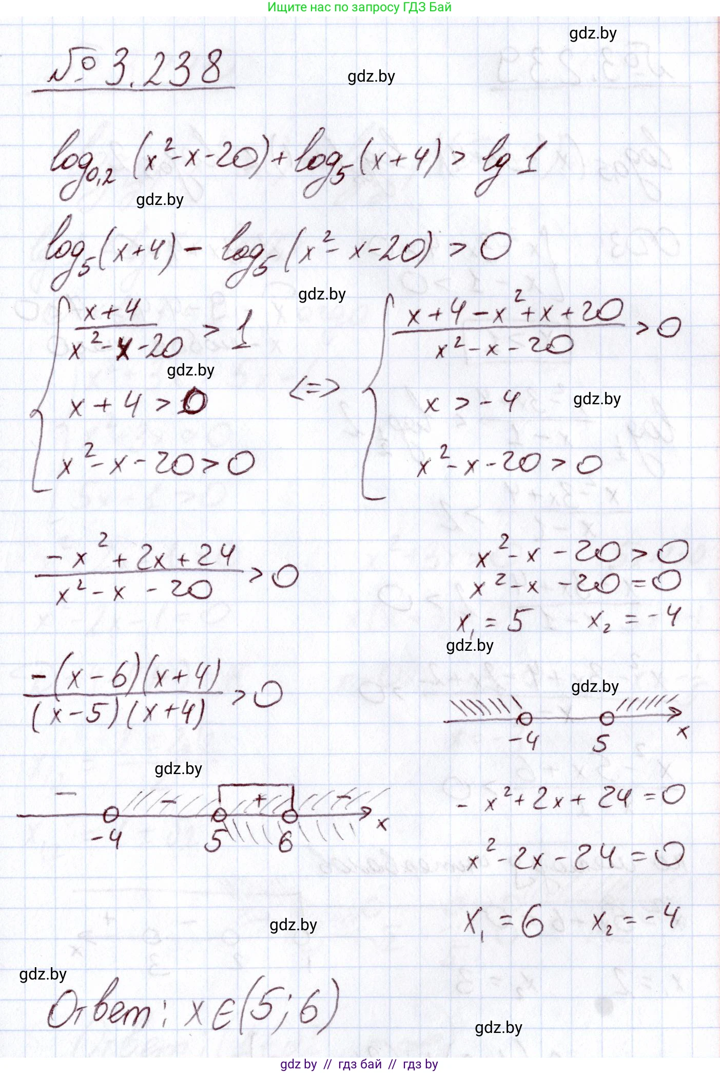
3.238*. Решите неравенство $\log_{0.2} (x^2 - x - 20) + \log_{5} (x + 4) > \lg 1$

Решение. №3.238 (с. 158)
Алгебра, 11 класс Учебник, авторы: Арефьева Ирина Глебовна, Пирютко Ольга Николаевна, издательство Народная асвета, Минск, 2020, бирюзового цвета, страница 158, номер 3.238, Решение
Решение 2. №3.238 (с. 158)

Исходное неравенство:

$\log_{0,2}(x^2 - x - 20) + \log_5(x + 4) > \lg 1$

1. Найдем область допустимых значений (ОДЗ).

Аргументы логарифмов должны быть строго положительными. Это приводит к системе неравенств:

$\begin{cases} x^2 - x - 20 > 0 \\ x + 4 > 0 \end{cases}$

Решим первое неравенство: $x^2 - x - 20 > 0$.
Найдем корни квадратного уравнения $x^2 - x - 20 = 0$. По теореме Виета (или через дискриминант) корни равны $x_1 = 5$ и $x_2 = -4$.
Парабола $y = x^2 - x - 20$ имеет ветви, направленные вверх, поэтому неравенство выполняется при значениях $x$ вне интервала между корнями:
$x \in (-\infty, -4) \cup (5, \infty)$.

Решим второе неравенство: $x + 4 > 0$.
$x > -4$.

Теперь найдем пересечение решений системы, чтобы определить ОДЗ:
$\begin{cases} x \in (-\infty, -4) \cup (5, \infty) \\ x > -4 \end{cases}$
Пересечением этих двух условий является интервал $(5, \infty)$. Таким образом, ОДЗ: $x > 5$.

2. Преобразуем и решим неравенство.

Упростим правую часть неравенства: $\lg 1 = 0$.

Приведем логарифмы в левой части к одному основанию. Заметим, что $0,2 = \frac{1}{5} = 5^{-1}$.

Используя свойство логарифма $\log_{a^k} b = \frac{1}{k} \log_a b$, получим:
$\log_{0,2}(x^2 - x - 20) = \log_{5^{-1}}(x^2 - x - 20) = -1 \cdot \log_5(x^2 - x - 20) = -\log_5(x^2 - x - 20)$.

Подставим полученное выражение в исходное неравенство:
$-\log_5(x^2 - x - 20) + \log_5(x + 4) > 0$

Перенесем отрицательный логарифм в правую часть:
$\log_5(x + 4) > \log_5(x^2 - x - 20)$

Основание логарифма $5 > 1$, поэтому логарифмическая функция является возрастающей. Это означает, что мы можем перейти к неравенству для аргументов, сохранив знак неравенства:
$x + 4 > x^2 - x - 20$

Перенесем все члены в одну сторону и решим квадратное неравенство:
$0 > x^2 - x - x - 20 - 4$
$x^2 - 2x - 24 < 0$

Найдем корни уравнения $x^2 - 2x - 24 = 0$. Корни равны $x_1 = 6$ и $x_2 = -4$.
Так как ветви параболы $y = x^2 - 2x - 24$ направлены вверх, неравенство выполняется между корнями:
$x \in (-4, 6)$.

3. Найдем окончательное решение.

Решение неравенства должно удовлетворять области допустимых значений. Найдем пересечение полученного интервала $x \in (-4, 6)$ и ОДЗ $x \in (5, \infty)$.

$\begin{cases} -4 < x < 6 \\ x > 5 \end{cases}$

Пересечением этих интервалов является интервал $(5, 6)$.

Ответ: $x \in (5, 6)$.

Помогло решение? Оставьте отзыв в комментариях ниже.

Присоединяйтесь к Телеграм-группе @gdz_by_belarus

Присоединиться

Мы подготовили для вас ответ c подробным объяснением домашего задания по алгебре за 11 класс, для упражнения номер 3.238 расположенного на странице 158 к учебнику 2020 года издания для учащихся школ и гимназий.

Теперь на нашем сайте ГДЗ.ТОП вы всегда легко и бесплатно найдёте условие с правильным ответом на вопрос «Как решить ДЗ» и «Как сделать» задание по алгебре к упражнению №3.238 (с. 158), авторов: Арефьева (Ирина Глебовна), Пирютко (Ольга Николаевна), учебного пособия издательства Народная асвета.