Номер 3.233, страница 157 - гдз по алгебре 11 класс учебник Арефьева, Пирютко

Алгебра, 11 класс Учебник, авторы: Арефьева Ирина Глебовна, Пирютко Ольга Николаевна, издательство Народная асвета, Минск, 2020, бирюзового цвета

Авторы: Арефьева И. Г., Пирютко О. Н.

Тип: Учебник

Издательство: Народная асвета

Год издания: 2020 - 2025

Цвет обложки: бирюзовый, зелёный с графиком

ISBN: 978-985-03-3165-6

Популярные ГДЗ в 11 классе

Глава 3. Логарифмическая функция. Параграф 10. Логарифмические неравенства - номер 3.233, страница 157.

№3.233 (с. 157)
Условие. №3.233 (с. 157)
скриншот условия
Алгебра, 11 класс Учебник, авторы: Арефьева Ирина Глебовна, Пирютко Ольга Николаевна, издательство Народная асвета, Минск, 2020, бирюзового цвета, страница 157, номер 3.233, Условие

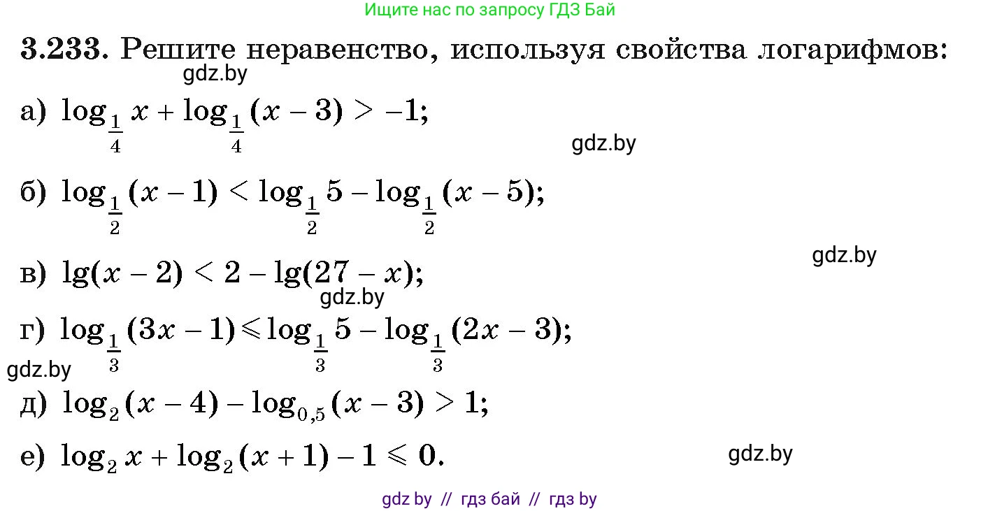
3.233. Решите неравенство, используя свойства логарифмов:

а) $log_{\frac{1}{4}} x + log_{\frac{1}{4}} (x - 3) > -1;$

б) $log_{\frac{1}{2}} (x - 1) < log_{\frac{1}{2}} 5 - log_{\frac{1}{2}} (x - 5);$

в) $lg(x - 2) < 2 - lg(27 - x);$

г) $log_{\frac{1}{3}} (3x - 1) \leq log_{\frac{1}{3}} 5 - log_{\frac{1}{3}} (2x - 3);$

д) $log_{2} (x - 4) - log_{0,5} (x - 3) > 1;$

е) $log_{2} x + log_{2} (x + 1) - 1 \leq 0.$

Решение. №3.233 (с. 157)
Алгебра, 11 класс Учебник, авторы: Арефьева Ирина Глебовна, Пирютко Ольга Николаевна, издательство Народная асвета, Минск, 2020, бирюзового цвета, страница 157, номер 3.233, Решение Алгебра, 11 класс Учебник, авторы: Арефьева Ирина Глебовна, Пирютко Ольга Николаевна, издательство Народная асвета, Минск, 2020, бирюзового цвета, страница 157, номер 3.233, Решение (продолжение 2) Алгебра, 11 класс Учебник, авторы: Арефьева Ирина Глебовна, Пирютко Ольга Николаевна, издательство Народная асвета, Минск, 2020, бирюзового цвета, страница 157, номер 3.233, Решение (продолжение 3)
Решение 2. №3.233 (с. 157)
a)

Исходное неравенство: $ \log_{\frac{1}{4}} x + \log_{\frac{1}{4}} (x - 3) > -1 $.

1. Найдем область допустимых значений (ОДЗ). Аргументы логарифмов должны быть строго положительными:

$ \begin{cases} x > 0 \\ x - 3 > 0 \end{cases} \implies \begin{cases} x > 0 \\ x > 3 \end{cases} \implies x > 3 $.
Таким образом, ОДЗ: $ x \in (3, +\infty) $.

2. Используя свойство суммы логарифмов $ \log_a b + \log_a c = \log_a (bc) $, преобразуем левую часть неравенства:

$ \log_{\frac{1}{4}} (x(x - 3)) > -1 $.

3. Представим правую часть в виде логарифма с тем же основанием $ \frac{1}{4} $:

$ -1 = \log_{\frac{1}{4}} \left(\left(\frac{1}{4}\right)^{-1}\right) = \log_{\frac{1}{4}} 4 $.

Неравенство принимает вид:

$ \log_{\frac{1}{4}} (x^2 - 3x) > \log_{\frac{1}{4}} 4 $.

4. Так как основание логарифма $ a = \frac{1}{4} $ и $ 0 < a < 1 $, логарифмическая функция является убывающей. Поэтому при переходе к неравенству для аргументов знак неравенства меняется на противоположный:

$ x^2 - 3x < 4 $.

5. Решим полученное квадратное неравенство:

$ x^2 - 3x - 4 < 0 $.

Найдем корни уравнения $ x^2 - 3x - 4 = 0 $. По теореме Виета, корни равны $ x_1 = -1 $ и $ x_2 = 4 $. Графиком функции $ y = x^2 - 3x - 4 $ является парабола с ветвями вверх. Неравенство выполняется между корнями: $ -1 < x < 4 $.

6. Найдем пересечение полученного решения с ОДЗ:

$ \begin{cases} -1 < x < 4 \\ x > 3 \end{cases} \implies 3 < x < 4 $.

Ответ: $ x \in (3, 4) $.

б)

Исходное неравенство: $ \log_{\frac{1}{2}} (x - 1) < \log_{\frac{1}{2}} 5 - \log_{\frac{1}{2}} (x - 5) $.

1. ОДЗ:

$ \begin{cases} x - 1 > 0 \\ x - 5 > 0 \end{cases} \implies \begin{cases} x > 1 \\ x > 5 \end{cases} \implies x > 5 $.
ОДЗ: $ x \in (5, +\infty) $.

2. Перенесем логарифм из правой части в левую и используем свойство суммы логарифмов:

$ \log_{\frac{1}{2}} (x - 1) + \log_{\frac{1}{2}} (x - 5) < \log_{\frac{1}{2}} 5 $.

$ \log_{\frac{1}{2}} ((x - 1)(x - 5)) < \log_{\frac{1}{2}} 5 $.

3. Основание логарифма $ a = \frac{1}{2} < 1 $, поэтому функция убывающая. Меняем знак неравенства:

$ (x - 1)(x - 5) > 5 $.

4. Решим полученное неравенство:

$ x^2 - 5x - x + 5 > 5 $.

$ x^2 - 6x > 0 $.

$ x(x - 6) > 0 $.

Корни уравнения $ x(x - 6) = 0 $ равны $ x_1 = 0 $ и $ x_2 = 6 $. Решение неравенства: $ x \in (-\infty, 0) \cup (6, +\infty) $.

5. Учтем ОДЗ:

$ \begin{cases} x \in (-\infty, 0) \cup (6, +\infty) \\ x > 5 \end{cases} \implies x > 6 $.

Ответ: $ x \in (6, +\infty) $.

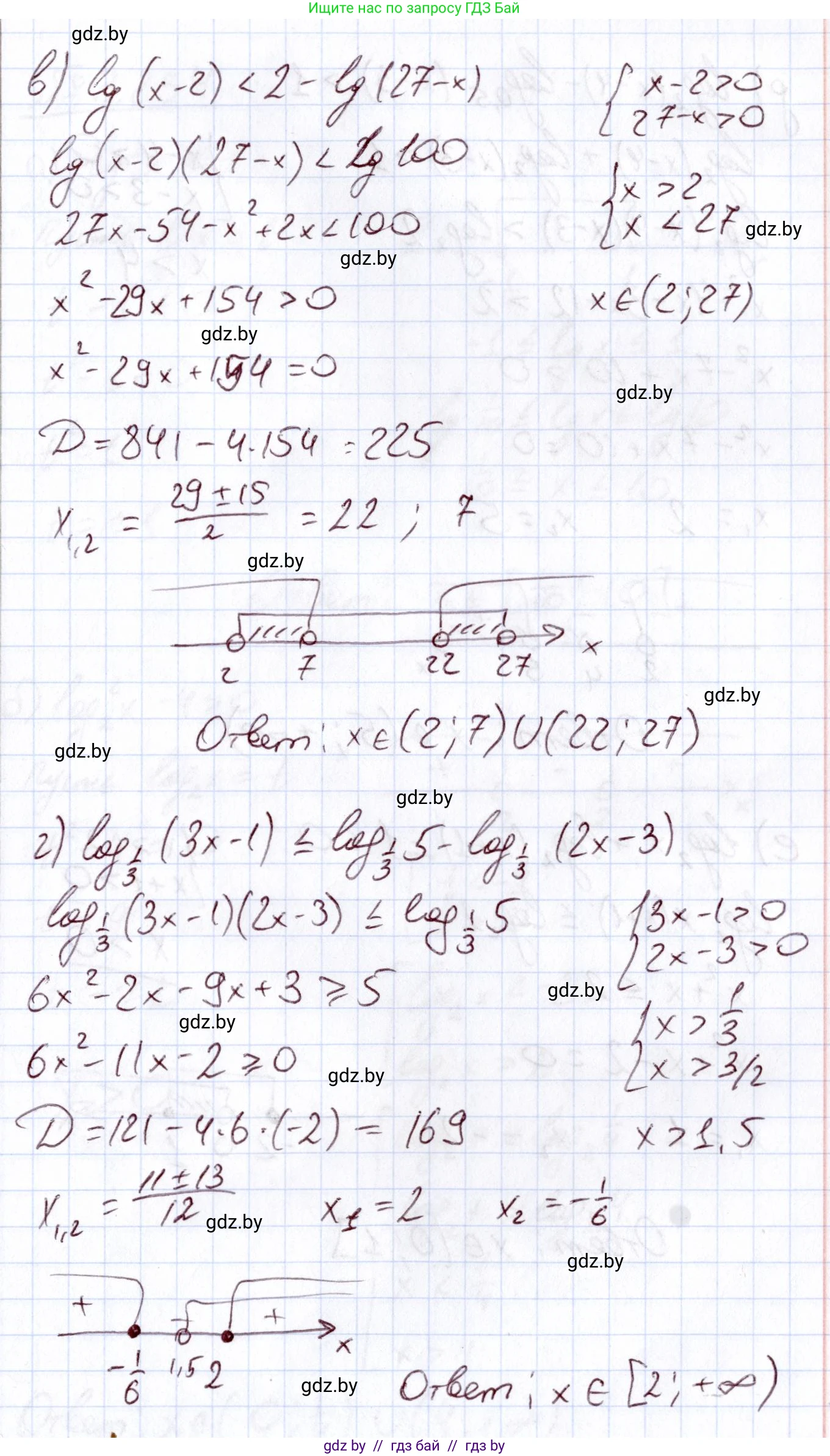
в)

Исходное неравенство: $ \lg(x - 2) < 2 - \lg(27 - x) $. (lg - это $ \log_{10} $)

1. ОДЗ:

$ \begin{cases} x - 2 > 0 \\ 27 - x > 0 \end{cases} \implies \begin{cases} x > 2 \\ x < 27 \end{cases} \implies 2 < x < 27 $.
ОДЗ: $ x \in (2, 27) $.

2. Преобразуем неравенство:

$ \lg(x - 2) + \lg(27 - x) < 2 $.

$ \lg((x - 2)(27 - x)) < 2 $.

Представим правую часть как логарифм: $ 2 = \lg(10^2) = \lg(100) $.

$ \lg((x - 2)(27 - x)) < \lg(100) $.

3. Основание логарифма $ a = 10 > 1 $, функция возрастающая. Знак неравенства сохраняется:

$ (x - 2)(27 - x) < 100 $.

4. Решим полученное неравенство:

$ 27x - x^2 - 54 + 2x < 100 $.

$ -x^2 + 29x - 54 - 100 < 0 $.

$ -x^2 + 29x - 154 < 0 $.

Умножим на -1 и сменим знак: $ x^2 - 29x + 154 > 0 $.

Найдем корни уравнения $ x^2 - 29x + 154 = 0 $ через дискриминант:

$ D = (-29)^2 - 4 \cdot 1 \cdot 154 = 841 - 616 = 225 = 15^2 $.

$ x_1 = \frac{29 - 15}{2} = \frac{14}{2} = 7 $.

$ x_2 = \frac{29 + 15}{2} = \frac{44}{2} = 22 $.

Решение неравенства: $ x \in (-\infty, 7) \cup (22, +\infty) $.

5. Учтем ОДЗ $ x \in (2, 27) $:

Пересечение $ (-\infty, 7) \cup (22, +\infty) $ с $ (2, 27) $ дает $ (2, 7) \cup (22, 27) $.

Ответ: $ x \in (2, 7) \cup (22, 27) $.

г)

Исходное неравенство: $ \log_{\frac{1}{3}}(3x - 1) \le \log_{\frac{1}{3}} 5 - \log_{\frac{1}{3}}(2x - 3) $.

1. ОДЗ:

$ \begin{cases} 3x - 1 > 0 \\ 2x - 3 > 0 \end{cases} \implies \begin{cases} x > \frac{1}{3} \\ x > \frac{3}{2} \end{cases} \implies x > \frac{3}{2} $.
ОДЗ: $ x \in (\frac{3}{2}, +\infty) $.

2. Преобразуем неравенство:

$ \log_{\frac{1}{3}}(3x - 1) + \log_{\frac{1}{3}}(2x - 3) \le \log_{\frac{1}{3}} 5 $.

$ \log_{\frac{1}{3}}((3x - 1)(2x - 3)) \le \log_{\frac{1}{3}} 5 $.

3. Основание $ a = \frac{1}{3} < 1 $, функция убывающая, меняем знак:

$ (3x - 1)(2x - 3) \ge 5 $.

4. Решим неравенство:

$ 6x^2 - 9x - 2x + 3 \ge 5 $.

$ 6x^2 - 11x - 2 \ge 0 $.

Найдем корни $ 6x^2 - 11x - 2 = 0 $:

$ D = (-11)^2 - 4 \cdot 6 \cdot (-2) = 121 + 48 = 169 = 13^2 $.

$ x_1 = \frac{11 - 13}{12} = -\frac{2}{12} = -\frac{1}{6} $.

$ x_2 = \frac{11 + 13}{12} = \frac{24}{12} = 2 $.

Решение неравенства: $ x \in (-\infty, -\frac{1}{6}] \cup [2, +\infty) $.

5. Учтем ОДЗ $ x > \frac{3}{2} $ (т.е. $ x > 1.5 $):

Пересечение дает $ x \ge 2 $.

Ответ: $ x \in [2, +\infty) $.

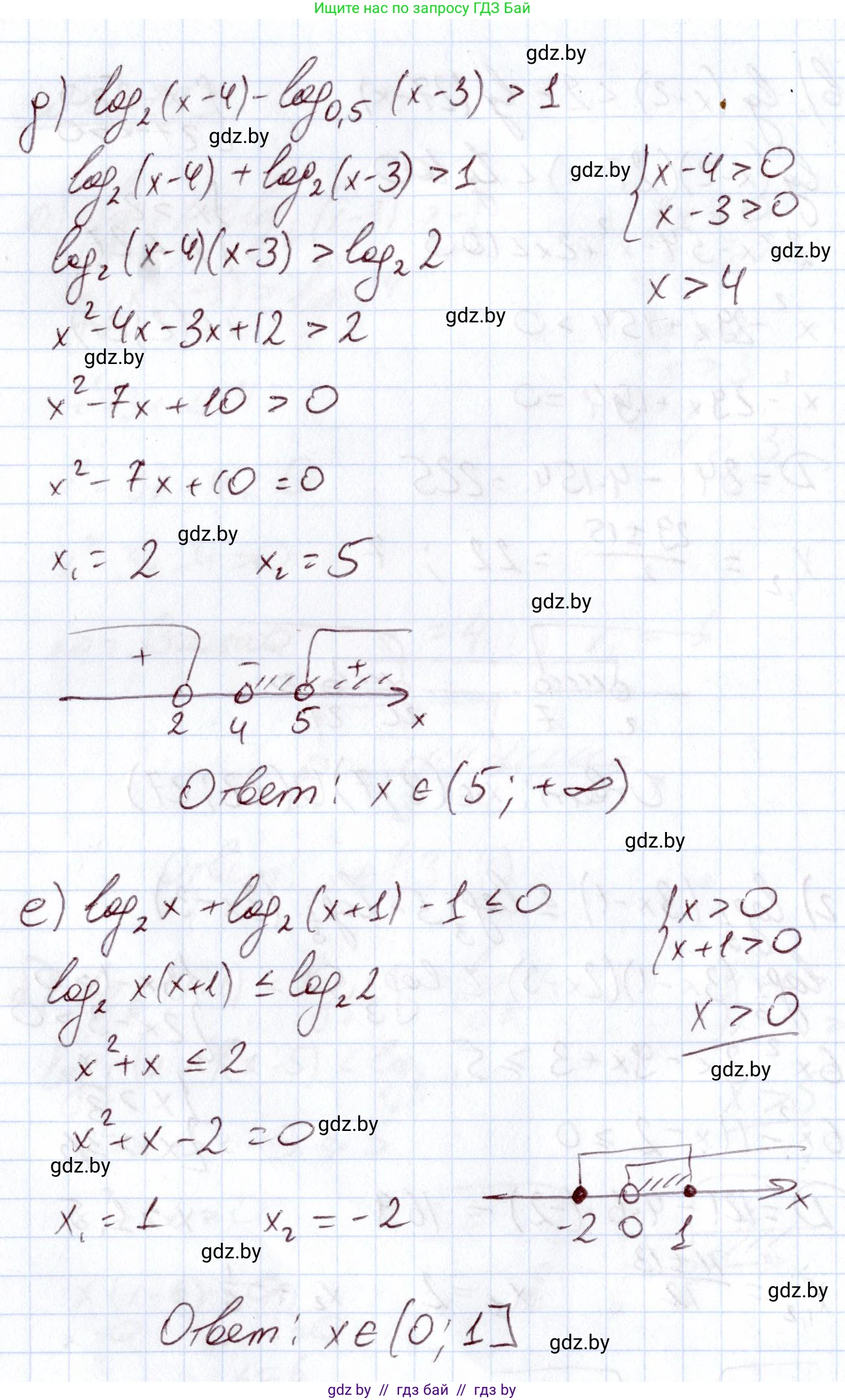
д)

Исходное неравенство: $ \log_2(x - 4) - \log_{0.5}(x - 3) > 1 $.

1. ОДЗ:

$ \begin{cases} x - 4 > 0 \\ x - 3 > 0 \end{cases} \implies \begin{cases} x > 4 \\ x > 3 \end{cases} \implies x > 4 $.
ОДЗ: $ x \in (4, +\infty) $.

2. Приведем логарифмы к одному основанию 2. Используем формулу $ \log_{a^k} b = \frac{1}{k} \log_a b $:

$ \log_{0.5}(x - 3) = \log_{2^{-1}}(x - 3) = -1 \cdot \log_2(x - 3) = -\log_2(x - 3) $.

Подставим в неравенство:

$ \log_2(x - 4) - (-\log_2(x - 3)) > 1 $.

$ \log_2(x - 4) + \log_2(x - 3) > 1 $.

$ \log_2((x - 4)(x - 3)) > 1 $.

3. Представим 1 как логарифм: $ 1 = \log_2 2 $.

$ \log_2((x - 4)(x - 3)) > \log_2 2 $.

4. Основание $ a = 2 > 1 $, функция возрастающая, знак сохраняется:

$ (x - 4)(x - 3) > 2 $.

5. Решим неравенство:

$ x^2 - 3x - 4x + 12 > 2 $.

$ x^2 - 7x + 10 > 0 $.

Корни уравнения $ x^2 - 7x + 10 = 0 $ по теореме Виета равны $ x_1 = 2 $ и $ x_2 = 5 $.

Решение неравенства: $ x \in (-\infty, 2) \cup (5, +\infty) $.

6. Учтем ОДЗ $ x > 4 $:

Пересечение дает $ x > 5 $.

Ответ: $ x \in (5, +\infty) $.

e)

Исходное неравенство: $ \log_2 x + \log_2 (x + 1) - 1 \le 0 $.

1. ОДЗ:

$ \begin{cases} x > 0 \\ x + 1 > 0 \end{cases} \implies \begin{cases} x > 0 \\ x > -1 \end{cases} \implies x > 0 $.
ОДЗ: $ x \in (0, +\infty) $.

2. Преобразуем неравенство:

$ \log_2 x + \log_2 (x + 1) \le 1 $.

$ \log_2 (x(x + 1)) \le 1 $.

3. Представим 1 как логарифм: $ 1 = \log_2 2 $.

$ \log_2 (x(x + 1)) \le \log_2 2 $.

4. Основание $ a = 2 > 1 $, функция возрастающая, знак сохраняется:

$ x(x + 1) \le 2 $.

5. Решим неравенство:

$ x^2 + x \le 2 $.

$ x^2 + x - 2 \le 0 $.

Корни уравнения $ x^2 + x - 2 = 0 $ по теореме Виета равны $ x_1 = -2 $ и $ x_2 = 1 $.

Решение неравенства: $ -2 \le x \le 1 $.

6. Учтем ОДЗ $ x > 0 $:

$ \begin{cases} -2 \le x \le 1 \\ x > 0 \end{cases} \implies 0 < x \le 1 $.

Ответ: $ x \in (0, 1] $.

Помогло решение? Оставьте отзыв в комментариях ниже.

Присоединяйтесь к Телеграм-группе @gdz_by_belarus

Присоединиться

Мы подготовили для вас ответ c подробным объяснением домашего задания по алгебре за 11 класс, для упражнения номер 3.233 расположенного на странице 157 к учебнику 2020 года издания для учащихся школ и гимназий.

Теперь на нашем сайте ГДЗ.ТОП вы всегда легко и бесплатно найдёте условие с правильным ответом на вопрос «Как решить ДЗ» и «Как сделать» задание по алгебре к упражнению №3.233 (с. 157), авторов: Арефьева (Ирина Глебовна), Пирютко (Ольга Николаевна), учебного пособия издательства Народная асвета.