Номер 3.241, страница 158 - гдз по алгебре 11 класс учебник Арефьева, Пирютко

Алгебра, 11 класс Учебник, авторы: Арефьева Ирина Глебовна, Пирютко Ольга Николаевна, издательство Народная асвета, Минск, 2020, бирюзового цвета

Авторы: Арефьева И. Г., Пирютко О. Н.

Тип: Учебник

Издательство: Народная асвета

Год издания: 2020 - 2025

Цвет обложки: бирюзовый, зелёный с графиком

ISBN: 978-985-03-3165-6

Популярные ГДЗ в 11 классе

Глава 3. Логарифмическая функция. Параграф 10. Логарифмические неравенства - номер 3.241, страница 158.

№3.241 (с. 158)
Условие. №3.241 (с. 158)
скриншот условия
Алгебра, 11 класс Учебник, авторы: Арефьева Ирина Глебовна, Пирютко Ольга Николаевна, издательство Народная асвета, Минск, 2020, бирюзового цвета, страница 158, номер 3.241, Условие

3.241*. Решите неравенство:

а) $\log_x (x^2 - 3) < 0;$

б) $\log_{x-2} (x^2 - 8x + 14) \ge 0;$

в) $\log_{x+2} (9x^2 + 15x - 6) < 2;$

г) $\log_{x^2} (3 - 2x) > 1.$

Решение. №3.241 (с. 158)
Алгебра, 11 класс Учебник, авторы: Арефьева Ирина Глебовна, Пирютко Ольга Николаевна, издательство Народная асвета, Минск, 2020, бирюзового цвета, страница 158, номер 3.241, Решение Алгебра, 11 класс Учебник, авторы: Арефьева Ирина Глебовна, Пирютко Ольга Николаевна, издательство Народная асвета, Минск, 2020, бирюзового цвета, страница 158, номер 3.241, Решение (продолжение 2) Алгебра, 11 класс Учебник, авторы: Арефьева Ирина Глебовна, Пирютко Ольга Николаевна, издательство Народная асвета, Минск, 2020, бирюзового цвета, страница 158, номер 3.241, Решение (продолжение 3) Алгебра, 11 класс Учебник, авторы: Арефьева Ирина Глебовна, Пирютко Ольга Николаевна, издательство Народная асвета, Минск, 2020, бирюзового цвета, страница 158, номер 3.241, Решение (продолжение 4)
Решение 2. №3.241 (с. 158)

а) $\log_x (x^2 - 3) < 0$

1. Найдем область допустимых значений (ОДЗ). Основание логарифма должно быть больше нуля и не равно единице, а аргумент логарифма должен быть строго больше нуля.

$\begin{cases} x > 0 \\ x \neq 1 \\ x^2 - 3 > 0 \end{cases}$

Решим неравенство $x^2 - 3 > 0 \Rightarrow x^2 > 3 \Rightarrow |x| > \sqrt{3}$. Это означает, что $x < -\sqrt{3}$ или $x > \sqrt{3}$.

Пересекая все условия, получаем ОДЗ: $x \in (\sqrt{3}, +\infty)$.

2. Решим неравенство. Так как из ОДЗ следует, что $x > \sqrt{3} \approx 1.732$, то основание логарифма $x$ всегда больше 1. В этом случае логарифмическая функция является возрастающей, и при переходе от логарифмов к их аргументам знак неравенства сохраняется. Представим 0 как $\log_x(1)$.

$\log_x (x^2 - 3) < \log_x(1)$

$x^2 - 3 < 1$

$x^2 - 4 < 0$

$(x - 2)(x + 2) < 0$

Решением этого неравенства является интервал $x \in (-2, 2)$.

3. Найдем пересечение полученного решения с ОДЗ:

$x \in (-2, 2) \cap (\sqrt{3}, +\infty)$

Так как $\sqrt{3} \approx 1.732$, пересечением является интервал $(\sqrt{3}, 2)$.

Ответ: $(\sqrt{3}, 2)$.


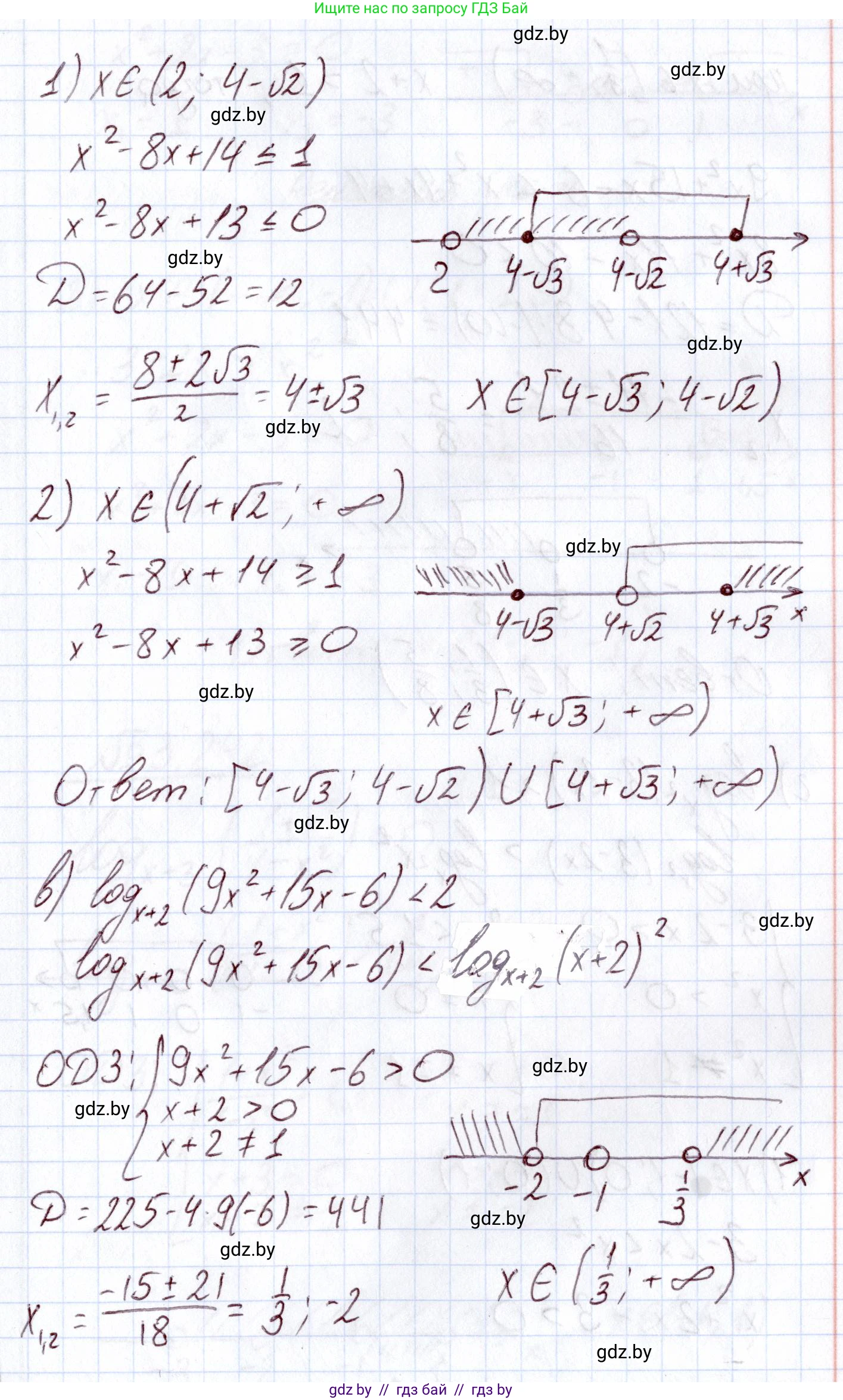
б) $\log_{x-2} (x^2 - 8x + 14) \ge 0$

1. Найдем ОДЗ:

$\begin{cases} x - 2 > 0 \\ x - 2 \neq 1 \\ x^2 - 8x + 14 > 0 \end{cases} \Rightarrow \begin{cases} x > 2 \\ x \neq 3 \\ x^2 - 8x + 14 > 0 \end{cases}$

Решим квадратное неравенство $x^2 - 8x + 14 > 0$. Найдем корни уравнения $x^2 - 8x + 14 = 0$.

Дискриминант $D = (-8)^2 - 4 \cdot 1 \cdot 14 = 64 - 56 = 8$.

Корни: $x_{1,2} = \frac{8 \pm \sqrt{8}}{2} = \frac{8 \pm 2\sqrt{2}}{2} = 4 \pm \sqrt{2}$.

Неравенство выполняется при $x < 4 - \sqrt{2}$ или $x > 4 + \sqrt{2}$.

Объединяя все условия, получаем ОДЗ: $x \in (2, 4 - \sqrt{2}) \cup (4 + \sqrt{2}, +\infty)$. (Заметим, что $2 < 4 - \sqrt{2} \approx 2.586 < 3$ и $3 < 4 + \sqrt{2} \approx 5.414$, поэтому условие $x \neq 3$ учтено).

2. Решим неравенство, рассмотрев два случая для основания логарифма.

Случай 1: Основание $0 < x - 2 < 1$, то есть $2 < x < 3$.

В этом случае логарифмическая функция убывающая, поэтому знак неравенства меняется на противоположный.

$\log_{x-2} (x^2 - 8x + 14) \ge \log_{x-2}(1)$

$x^2 - 8x + 14 \le 1$

$x^2 - 8x + 13 \le 0$

Найдем корни $x^2 - 8x + 13 = 0$. $D = 64 - 52 = 12$. Корни $x_{1,2} = \frac{8 \pm \sqrt{12}}{2} = 4 \pm \sqrt{3}$.

Решение неравенства: $x \in [4 - \sqrt{3}, 4 + \sqrt{3}]$.

Найдем пересечение этого решения с условием случая ($2 < x < 3$) и с ОДЗ для этого диапазона ($(2, 4 - \sqrt{2})$).

Пересечение $[4 - \sqrt{3}, 4 + \sqrt{3}]$ с $(2, 3)$ дает $[4 - \sqrt{3}, 3)$. Так как $4 - \sqrt{3} \approx 2.27$ и $4 - \sqrt{2} \approx 2.59$, пересечение $[4 - \sqrt{3}, 3)$ с $(2, 4 - \sqrt{2})$ дает $[4 - \sqrt{3}, 4 - \sqrt{2})$.

Случай 2: Основание $x - 2 > 1$, то есть $x > 3$.

В этом случае логарифмическая функция возрастающая, знак неравенства сохраняется.

$x^2 - 8x + 14 \ge 1$

$x^2 - 8x + 13 \ge 0$

Решение этого неравенства: $x \in (-\infty, 4 - \sqrt{3}] \cup [4 + \sqrt{3}, +\infty)$.

Найдем пересечение с условием случая ($x > 3$) и с ОДЗ для этого диапазона ($(4 + \sqrt{2}, +\infty)$).

Пересечение $(-\infty, 4 - \sqrt{3}] \cup [4 + \sqrt{3}, +\infty)$ с $(3, +\infty)$ дает $[4 + \sqrt{3}, +\infty)$.

Пересечение $[4 + \sqrt{3}, +\infty)$ с $(4 + \sqrt{2}, +\infty)$ дает $[4 + \sqrt{3}, +\infty)$ (так как $\sqrt{3} > \sqrt{2}$).

3. Объединим решения обоих случаев:

$x \in [4 - \sqrt{3}, 4 - \sqrt{2}) \cup [4 + \sqrt{3}, +\infty)$.

Ответ: $[4 - \sqrt{3}, 4 - \sqrt{2}) \cup [4 + \sqrt{3}, +\infty)$.


в) $\log_{x+2} (9x^2 + 15x - 6) < 2$

1. Найдем ОДЗ:

$\begin{cases} x + 2 > 0 \\ x + 2 \neq 1 \\ 9x^2 + 15x - 6 > 0 \end{cases} \Rightarrow \begin{cases} x > -2 \\ x \neq -1 \\ 3x^2 + 5x - 2 > 0 \end{cases}$

Решим $3x^2 + 5x - 2 > 0$. Корни уравнения $3x^2 + 5x - 2 = 0$: $x_1 = 1/3, x_2 = -2$.

Неравенство выполняется при $x < -2$ или $x > 1/3$.

Пересекая все условия, получаем ОДЗ: $x \in (1/3, +\infty)$.

2. Решим неравенство. Из ОДЗ $x > 1/3$ следует, что основание $x+2 > 1/3 + 2 > 1$. Значит, логарифмическая функция возрастающая, и знак неравенства сохраняется. Представим 2 как $\log_{x+2}((x+2)^2)$.

$\log_{x+2} (9x^2 + 15x - 6) < \log_{x+2}((x+2)^2)$

$9x^2 + 15x - 6 < (x+2)^2$

$9x^2 + 15x - 6 < x^2 + 4x + 4$

$8x^2 + 11x - 10 < 0$

Найдем корни уравнения $8x^2 + 11x - 10 = 0$.

$D = 11^2 - 4 \cdot 8 \cdot (-10) = 121 + 320 = 441 = 21^2$.

Корни: $x_1 = \frac{-11 + 21}{16} = \frac{10}{16} = \frac{5}{8}$, $x_2 = \frac{-11 - 21}{16} = -2$.

Решение неравенства: $x \in (-2, 5/8)$.

3. Найдем пересечение полученного решения с ОДЗ:

$x \in (-2, 5/8) \cap (1/3, +\infty)$

Так как $1/3 \approx 0.333$ и $5/8 = 0.625$, пересечением является интервал $(1/3, 5/8)$.

Ответ: $(\frac{1}{3}, \frac{5}{8})$.


г) $\log_{x^2} (3 - 2x) > 1$

1. Найдем ОДЗ:

$\begin{cases} x^2 > 0 \\ x^2 \neq 1 \\ 3 - 2x > 0 \end{cases} \Rightarrow \begin{cases} x \neq 0 \\ x \neq \pm 1 \\ 2x < 3 \end{cases} \Rightarrow \begin{cases} x \neq 0 \\ x \neq \pm 1 \\ x < 1.5 \end{cases}$

ОДЗ: $x \in (-\infty, -1) \cup (-1, 0) \cup (0, 1) \cup (1, 1.5)$.

2. Решим неравенство, рассмотрев два случая для основания $x^2$. Представим 1 как $\log_{x^2}(x^2)$.

Случай 1: Основание $0 < x^2 < 1$, что соответствует $x \in (-1, 1), x \neq 0$.

В этом случае логарифмическая функция убывающая, знак неравенства меняется.

$3 - 2x < x^2$

$x^2 + 2x - 3 > 0$

Корни уравнения $x^2 + 2x - 3 = 0$: $x_1 = 1, x_2 = -3$.

Решение неравенства: $x \in (-\infty, -3) \cup (1, +\infty)$.

Пересечение этого решения с условием случая $x \in (-1, 1), x \neq 0$ дает пустое множество.

Случай 2: Основание $x^2 > 1$, что соответствует $x \in (-\infty, -1) \cup (1, +\infty)$.

В этом случае логарифмическая функция возрастающая, знак неравенства сохраняется.

$3 - 2x > x^2$

$x^2 + 2x - 3 < 0$

Решение этого неравенства: $x \in (-3, 1)$.

Найдем пересечение этого решения с условием случая $x \in (-\infty, -1) \cup (1, +\infty)$.

$(-3, 1) \cap ((-\infty, -1) \cup (1, +\infty)) = (-3, -1)$.

Это решение полностью удовлетворяет ОДЗ.

3. Объединим решения обоих случаев:

$\emptyset \cup (-3, -1) = (-3, -1)$.

Ответ: $(-3, -1)$.

Помогло решение? Оставьте отзыв в комментариях ниже.

Присоединяйтесь к Телеграм-группе @gdz_by_belarus

Присоединиться

Мы подготовили для вас ответ c подробным объяснением домашего задания по алгебре за 11 класс, для упражнения номер 3.241 расположенного на странице 158 к учебнику 2020 года издания для учащихся школ и гимназий.

Теперь на нашем сайте ГДЗ.ТОП вы всегда легко и бесплатно найдёте условие с правильным ответом на вопрос «Как решить ДЗ» и «Как сделать» задание по алгебре к упражнению №3.241 (с. 158), авторов: Арефьева (Ирина Глебовна), Пирютко (Ольга Николаевна), учебного пособия издательства Народная асвета.