Номер 3.248, страница 159 - гдз по алгебре 11 класс учебник Арефьева, Пирютко

Алгебра, 11 класс Учебник, авторы: Арефьева Ирина Глебовна, Пирютко Ольга Николаевна, издательство Народная асвета, Минск, 2020, бирюзового цвета

Авторы: Арефьева И. Г., Пирютко О. Н.

Тип: Учебник

Издательство: Народная асвета

Год издания: 2020 - 2025

Цвет обложки: бирюзовый, зелёный с графиком

ISBN: 978-985-03-3165-6

Популярные ГДЗ в 11 классе

Глава 3. Логарифмическая функция. Параграф 10. Логарифмические неравенства - номер 3.248, страница 159.

№3.248 (с. 159)
Условие. №3.248 (с. 159)
скриншот условия
Алгебра, 11 класс Учебник, авторы: Арефьева Ирина Глебовна, Пирютко Ольга Николаевна, издательство Народная асвета, Минск, 2020, бирюзового цвета, страница 159, номер 3.248, Условие

3.248. Перейдите от данного неравенства к равносильной системе для решения неравенства:

а) $\log_{0,1} (x^2 + 1) < \log_{0,1} (2x - 5);$

б) $\log_{\frac{1}{7}} (x^2 + 3x) < \log_{\frac{1}{7}} (5x - 1);$

в) $\log_{4,3} (x^2 - 9x) > \log_{4,3} (x - 21);$

г) $\log_{5,7} (x^2 - 5x) \le \log_{5,7} (2x - 12).$

Решение. №3.248 (с. 159)
Алгебра, 11 класс Учебник, авторы: Арефьева Ирина Глебовна, Пирютко Ольга Николаевна, издательство Народная асвета, Минск, 2020, бирюзового цвета, страница 159, номер 3.248, Решение Алгебра, 11 класс Учебник, авторы: Арефьева Ирина Глебовна, Пирютко Ольга Николаевна, издательство Народная асвета, Минск, 2020, бирюзового цвета, страница 159, номер 3.248, Решение (продолжение 2)
Решение 2. №3.248 (с. 159)

а) Данное неравенство $ \log_{0.1}(x^2 + 1) < \log_{0.1}(2x - 5) $ равносильно системе неравенств. Так как основание логарифма $ a = 0.1 < 1 $, логарифмическая функция является убывающей, и при переходе к неравенству для подлогарифмических выражений знак неравенства меняется на противоположный. Также необходимо потребовать, чтобы оба подлогарифмических выражения были положительны. Условие положительности для $ x^2+1 $ выполняется всегда. Условие положительности для $ 2x-5 $ должно быть включено в систему. Таким образом, неравенство равносильно системе, в которой мы требуем, чтобы аргумент $ 2x-5 $ был положителен и чтобы выполнялось неравенство для аргументов с измененным знаком.

Ответ: $ \begin{cases} x^2 + 1 > 2x - 5 \\ 2x - 5 > 0 \end{cases} $

б) В неравенстве $ \log_{\frac{1}{7}}(x^2 + 3x) < \log_{\frac{1}{7}}(5x - 1) $ основание логарифма $ a = \frac{1}{7} < 1 $, следовательно, логарифмическая функция — убывающая. Знак неравенства при переходе к аргументам меняется на противоположный. Область определения логарифма требует, чтобы оба аргумента были положительны. Неравенство равносильно системе, где мы требуем, чтобы меньший аргумент ($ 5x-1 $, согласно новому неравенству) был положителен, что автоматически обеспечит положительность и второго аргумента.

Ответ: $ \begin{cases} x^2 + 3x > 5x - 1 \\ 5x - 1 > 0 \end{cases} $

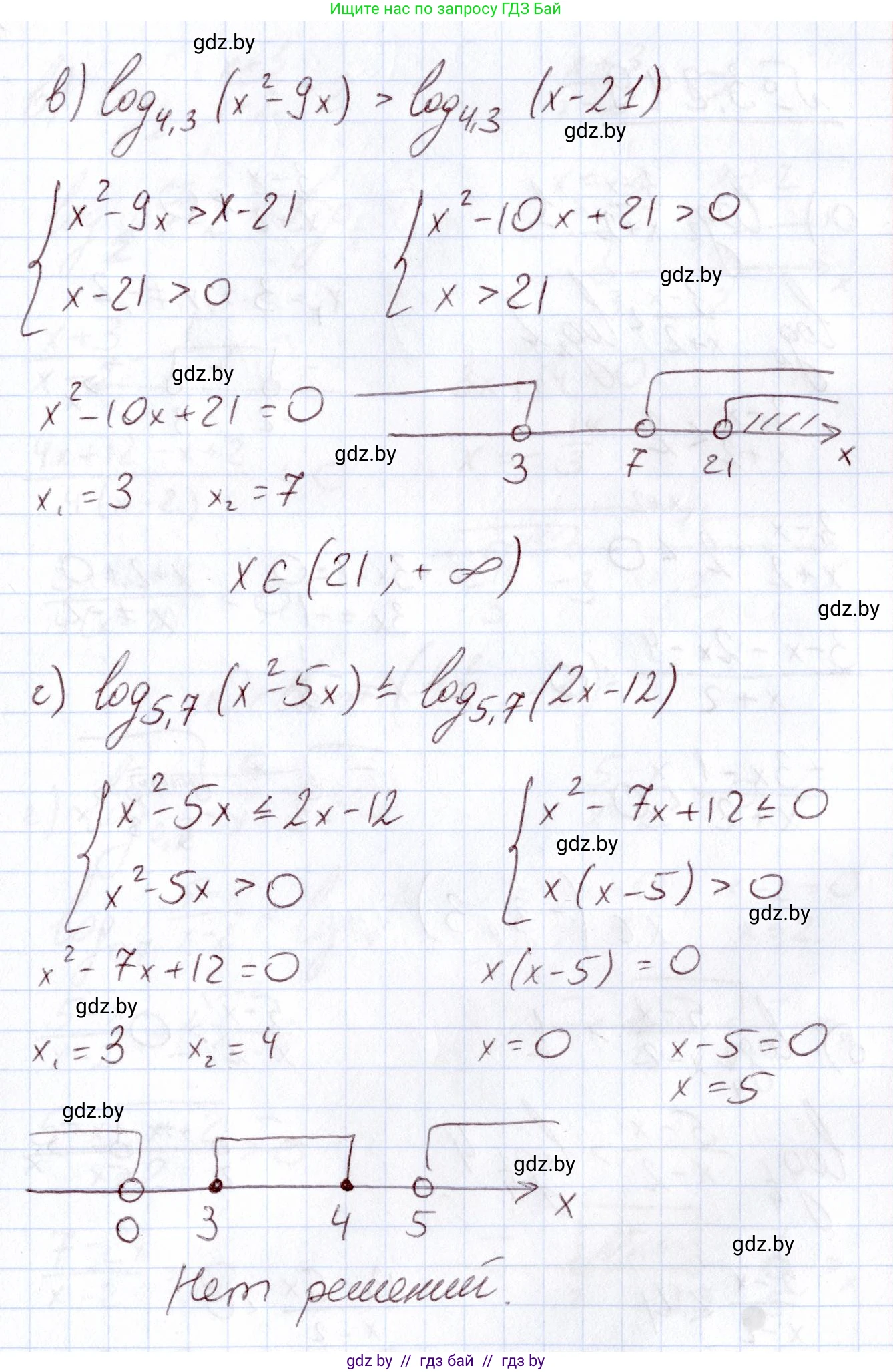
в) В неравенстве $ \log_{4.3}(x^2 - 9x) > \log_{4.3}(x - 21) $ основание логарифма $ a = 4.3 > 1 $, поэтому логарифмическая функция является возрастающей. При переходе к неравенству для подлогарифмических выражений знак неравенства сохраняется. Оба аргумента должны быть положительны. Таким образом, неравенство равносильно системе, в которой мы требуем, чтобы меньший аргумент ($ x-21 $) был положителен, из чего будет следовать и положительность большего аргумента.

Ответ: $ \begin{cases} x^2 - 9x > x - 21 \\ x - 21 > 0 \end{cases} $

г) В неравенстве $ \log_{5.7}(x^2 - 5x) \le \log_{5.7}(2x - 12) $ основание логарифма $ a = 5.7 > 1 $, значит, логарифмическая функция — возрастающая, и знак неравенства для аргументов сохраняется. Необходимо, чтобы оба аргумента были положительны. Неравенство равносильно системе, в которой мы требуем, чтобы меньший по знаку аргумент ($ x^2-5x $) был положителен. Это автоматически гарантирует, что и больший аргумент ($ 2x-12 $) также будет положителен.

Ответ: $ \begin{cases} x^2 - 5x \le 2x - 12 \\ x^2 - 5x > 0 \end{cases} $

Помогло решение? Оставьте отзыв в комментариях ниже.

Присоединяйтесь к Телеграм-группе @gdz_by_belarus

Присоединиться

Мы подготовили для вас ответ c подробным объяснением домашего задания по алгебре за 11 класс, для упражнения номер 3.248 расположенного на странице 159 к учебнику 2020 года издания для учащихся школ и гимназий.

Теперь на нашем сайте ГДЗ.ТОП вы всегда легко и бесплатно найдёте условие с правильным ответом на вопрос «Как решить ДЗ» и «Как сделать» задание по алгебре к упражнению №3.248 (с. 159), авторов: Арефьева (Ирина Глебовна), Пирютко (Ольга Николаевна), учебного пособия издательства Народная асвета.