Номер 3.251, страница 159 - гдз по алгебре 11 класс учебник Арефьева, Пирютко

Алгебра, 11 класс Учебник, авторы: Арефьева Ирина Глебовна, Пирютко Ольга Николаевна, издательство Народная асвета, Минск, 2020, бирюзового цвета

Авторы: Арефьева И. Г., Пирютко О. Н.

Тип: Учебник

Издательство: Народная асвета

Год издания: 2020 - 2025

Цвет обложки: бирюзовый, зелёный с графиком

ISBN: 978-985-03-3165-6

Популярные ГДЗ в 11 классе

Глава 3. Логарифмическая функция. Параграф 10. Логарифмические неравенства - номер 3.251, страница 159.

№3.251 (с. 159)
Условие. №3.251 (с. 159)
скриншот условия
Алгебра, 11 класс Учебник, авторы: Арефьева Ирина Глебовна, Пирютко Ольга Николаевна, издательство Народная асвета, Минск, 2020, бирюзового цвета, страница 159, номер 3.251, Условие

3.251. Выполните замену переменной и решите неравенство:

а) $\log_{3}^{2} x - 9 < 0;$

б) $\log_{2}^{2} x - 3\log_{2} x \le 4;$

в) $\log_{3}^{2} x - 5\log_{3} x + 6 > 0;$

г) $6 \le \log_{3}^{2} x + \log_{3} x.$

Решение. №3.251 (с. 159)
Алгебра, 11 класс Учебник, авторы: Арефьева Ирина Глебовна, Пирютко Ольга Николаевна, издательство Народная асвета, Минск, 2020, бирюзового цвета, страница 159, номер 3.251, Решение Алгебра, 11 класс Учебник, авторы: Арефьева Ирина Глебовна, Пирютко Ольга Николаевна, издательство Народная асвета, Минск, 2020, бирюзового цвета, страница 159, номер 3.251, Решение (продолжение 2)
Решение 2. №3.251 (с. 159)

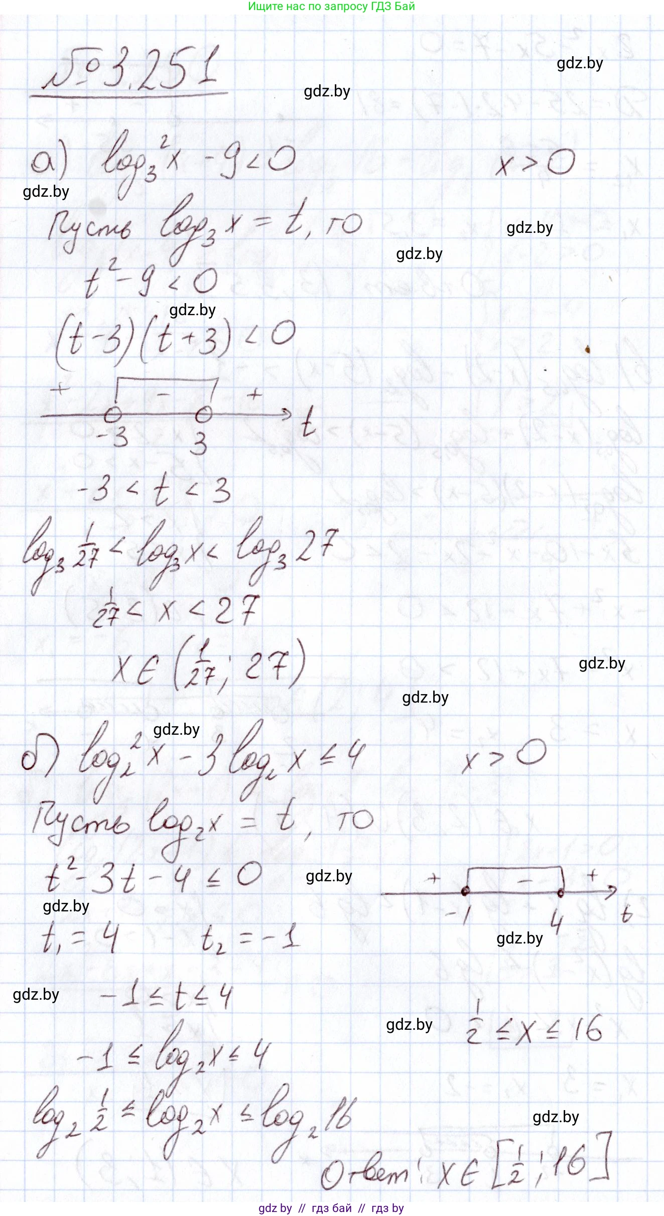
а) Исходное неравенство: $ \log_3^2 x - 9 < 0 $.
Область допустимых значений (ОДЗ): аргумент логарифма должен быть строго положительным, следовательно, $x > 0$.
Сделаем замену переменной. Пусть $t = \log_3 x$. Неравенство примет вид:
$t^2 - 9 < 0$
Разложим левую часть на множители по формуле разности квадратов:
$(t - 3)(t + 3) < 0$
Решая это квадратное неравенство методом интервалов, находим, что оно выполняется при $t \in (-3, 3)$.
Таким образом, $-3 < t < 3$.
Выполним обратную замену:
$-3 < \log_3 x < 3$
Представим $-3$ и $3$ в виде логарифмов по основанию 3:
$\log_3 (3^{-3}) < \log_3 x < \log_3 (3^3)$
$\log_3 (\frac{1}{27}) < \log_3 x < \log_3 27$
Так как основание логарифма $3 > 1$, функция является возрастающей, поэтому при переходе к аргументам знак неравенства сохраняется:
$\frac{1}{27} < x < 27$
Полученный интервал удовлетворяет ОДЗ ($x > 0$).
Ответ: $x \in (\frac{1}{27}, 27)$.

б) Исходное неравенство: $ \log_2^2 x - 3\log_2 x \le 4 $.
ОДЗ: $x > 0$.
Перенесем все члены в левую часть:
$\log_2^2 x - 3\log_2 x - 4 \le 0$
Сделаем замену переменной. Пусть $t = \log_2 x$. Неравенство примет вид:
$t^2 - 3t - 4 \le 0$
Найдем корни квадратного уравнения $t^2 - 3t - 4 = 0$. По теореме Виета, $t_1 = -1$ и $t_2 = 4$.
Неравенство можно записать как $(t + 1)(t - 4) \le 0$.
Решением этого неравенства является отрезок $[-1, 4]$.
Таким образом, $-1 \le t \le 4$.
Выполним обратную замену:
$-1 \le \log_2 x \le 4$
Представим $-1$ и $4$ в виде логарифмов по основанию 2:
$\log_2 (2^{-1}) \le \log_2 x \le \log_2 (2^4)$
$\log_2 (\frac{1}{2}) \le \log_2 x \le \log_2 16$
Так как основание логарифма $2 > 1$, функция является возрастающей, поэтому знаки неравенств сохраняются:
$\frac{1}{2} \le x \le 16$
Полученный отрезок удовлетворяет ОДЗ ($x > 0$).
Ответ: $x \in [\frac{1}{2}, 16]$.

в) Исходное неравенство: $ \log_3^2 x - 5\log_3 x + 6 > 0 $.
ОДЗ: $x > 0$.
Сделаем замену переменной. Пусть $t = \log_3 x$. Неравенство примет вид:
$t^2 - 5t + 6 > 0$
Найдем корни квадратного уравнения $t^2 - 5t + 6 = 0$. По теореме Виета, $t_1 = 2$ и $t_2 = 3$.
Неравенство можно записать как $(t - 2)(t - 3) > 0$.
Решением этого неравенства является объединение интервалов $(-\infty, 2) \cup (3, \infty)$.
Таким образом, $t < 2$ или $t > 3$.
Выполним обратную замену:
1) $\log_3 x < 2 \implies \log_3 x < \log_3 (3^2) \implies x < 9$.
2) $\log_3 x > 3 \implies \log_3 x > \log_3 (3^3) \implies x > 27$.
Объединим полученные решения с учетом ОДЗ ($x > 0$):
Из $x < 9$ и $x > 0$ следует $0 < x < 9$.
Решение $x > 27$ уже удовлетворяет ОДЗ.
Итоговое решение: $x \in (0, 9) \cup (27, \infty)$.
Ответ: $x \in (0, 9) \cup (27, \infty)$.

г) Исходное неравенство: $ 6 \le \log_3^2 x + \log_3 x $.
ОДЗ: $x > 0$.
Перепишем неравенство в стандартном виде:
$\log_3^2 x + \log_3 x - 6 \ge 0$
Сделаем замену переменной. Пусть $t = \log_3 x$. Неравенство примет вид:
$t^2 + t - 6 \ge 0$
Найдем корни квадратного уравнения $t^2 + t - 6 = 0$. По теореме Виета, $t_1 = -3$ и $t_2 = 2$.
Неравенство можно записать как $(t + 3)(t - 2) \ge 0$.
Решением этого неравенства является объединение интервалов $(-\infty, -3] \cup [2, \infty)$.
Таким образом, $t \le -3$ или $t \ge 2$.
Выполним обратную замену:
1) $\log_3 x \le -3 \implies \log_3 x \le \log_3 (3^{-3}) \implies x \le \frac{1}{27}$.
2) $\log_3 x \ge 2 \implies \log_3 x \ge \log_3 (3^2) \implies x \ge 9$.
Объединим полученные решения с учетом ОДЗ ($x > 0$):
Из $x \le \frac{1}{27}$ и $x > 0$ следует $0 < x \le \frac{1}{27}$.
Решение $x \ge 9$ уже удовлетворяет ОДЗ.
Итоговое решение: $x \in (0, \frac{1}{27}] \cup [9, \infty)$.
Ответ: $x \in (0, \frac{1}{27}] \cup [9, \infty)$.

Помогло решение? Оставьте отзыв в комментариях ниже.

Присоединяйтесь к Телеграм-группе @gdz_by_belarus

Присоединиться

Мы подготовили для вас ответ c подробным объяснением домашего задания по алгебре за 11 класс, для упражнения номер 3.251 расположенного на странице 159 к учебнику 2020 года издания для учащихся школ и гимназий.

Теперь на нашем сайте ГДЗ.ТОП вы всегда легко и бесплатно найдёте условие с правильным ответом на вопрос «Как решить ДЗ» и «Как сделать» задание по алгебре к упражнению №3.251 (с. 159), авторов: Арефьева (Ирина Глебовна), Пирютко (Ольга Николаевна), учебного пособия издательства Народная асвета.