Номер 3.245, страница 158 - гдз по алгебре 11 класс учебник Арефьева, Пирютко

Алгебра, 11 класс Учебник, авторы: Арефьева Ирина Глебовна, Пирютко Ольга Николаевна, издательство Народная асвета, Минск, 2020, бирюзового цвета

Авторы: Арефьева И. Г., Пирютко О. Н.

Тип: Учебник

Издательство: Народная асвета

Год издания: 2020 - 2025

Цвет обложки: бирюзовый, зелёный с графиком

ISBN: 978-985-03-3165-6

Популярные ГДЗ в 11 классе

Глава 3. Логарифмическая функция. Параграф 10. Логарифмические неравенства - номер 3.245, страница 158.

№3.245 (с. 158)
Условие. №3.245 (с. 158)
скриншот условия
Алгебра, 11 класс Учебник, авторы: Арефьева Ирина Глебовна, Пирютко Ольга Николаевна, издательство Народная асвета, Минск, 2020, бирюзового цвета, страница 158, номер 3.245, Условие

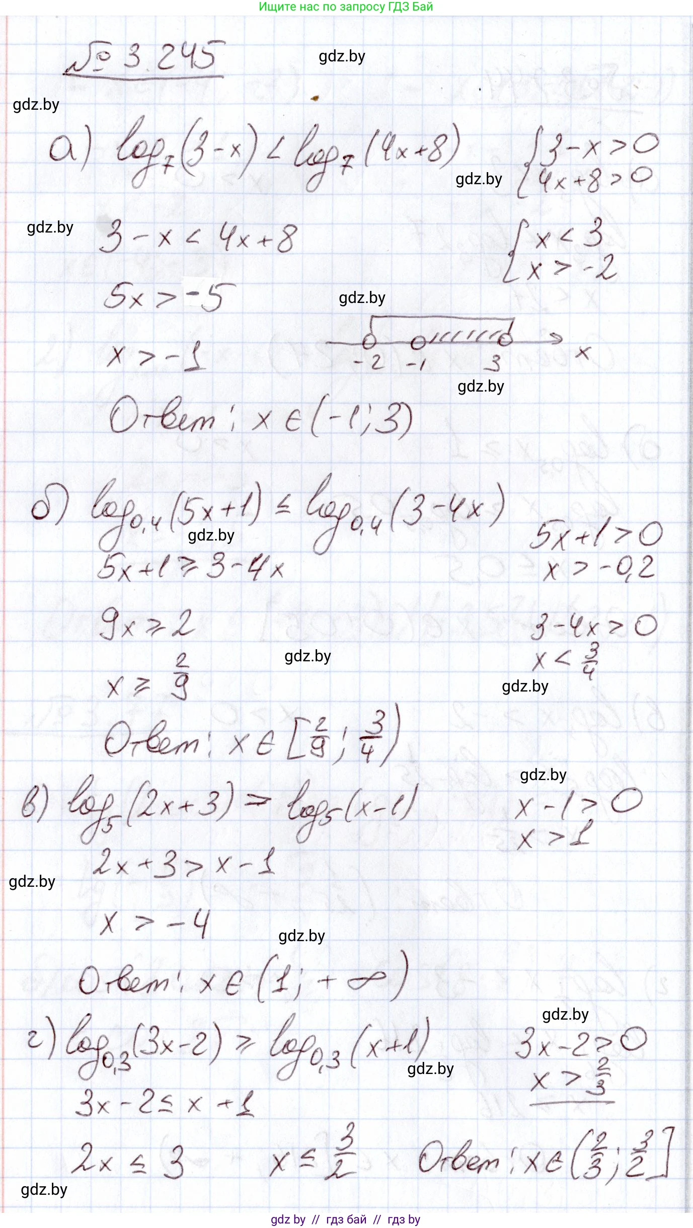
3.245. Решите неравенство, учитывая область определения и свойство монотонности логарифмической функции:

a) $ \log_7(3 - x) < \log_7(4x + 8) $;

б) $ \log_{0.4}(5x + 1) \le \log_{0.4}(3 - 4x) $;

в) $ \log_5(2x + 3) > \log_5(x - 1) $;

г) $ \log_{0.3}(3x - 2) \ge \log_{0.3}(x + 1) $.

Решение. №3.245 (с. 158)
Алгебра, 11 класс Учебник, авторы: Арефьева Ирина Глебовна, Пирютко Ольга Николаевна, издательство Народная асвета, Минск, 2020, бирюзового цвета, страница 158, номер 3.245, Решение
Решение 2. №3.245 (с. 158)

а) $\log_7(3 - x) < \log_7(4x + 8)$

1. Найдем область определения (ОДЗ). Аргументы логарифмов должны быть строго положительными:

$\begin{cases} 3 - x > 0 \\ 4x + 8 > 0 \end{cases} \implies \begin{cases} x < 3 \\ 4x > -8 \end{cases} \implies \begin{cases} x < 3 \\ x > -2 \end{cases}$

Таким образом, ОДЗ: $x \in (-2, 3)$.

2. Решим неравенство. Основание логарифма $a = 7 > 1$, следовательно, логарифмическая функция является возрастающей. При переходе к неравенству для аргументов знак неравенства сохраняется:

$3 - x < 4x + 8$

$3 - 8 < 4x + x$

$-5 < 5x$

$x > -1$

3. Найдем пересечение решения с ОДЗ. Мы должны удовлетворить обоим условиям:

$\begin{cases} x \in (-2, 3) \\ x > -1 \end{cases}$

Пересечением этих множеств является интервал $(-1, 3)$.

Ответ: $x \in (-1, 3)$.

б) $\log_{0,4}(5x + 1) \le \log_{0,4}(3 - 4x)$

1. Найдем ОДЗ. Аргументы логарифмов должны быть строго положительными:

$\begin{cases} 5x + 1 > 0 \\ 3 - 4x > 0 \end{cases} \implies \begin{cases} 5x > -1 \\ 3 > 4x \end{cases} \implies \begin{cases} x > -1/5 \\ x < 3/4 \end{cases}$

Таким образом, ОДЗ: $x \in (-1/5, 3/4)$.

2. Решим неравенство. Основание логарифма $a = 0,4$, так как $0 < 0,4 < 1$, логарифмическая функция является убывающей. При переходе к неравенству для аргументов знак неравенства меняется на противоположный:

$5x + 1 \ge 3 - 4x$

$5x + 4x \ge 3 - 1$

$9x \ge 2$

$x \ge 2/9$

3. Найдем пересечение решения с ОДЗ.

$\begin{cases} x \in (-1/5, 3/4) \\ x \ge 2/9 \end{cases}$

Пересечением этих множеств является полуинтервал $[2/9, 3/4)$.

Ответ: $x \in [2/9, 3/4)$.

в) $\log_5(2x + 3) > \log_5(x - 1)$

1. Найдем ОДЗ. Аргументы логарифмов должны быть строго положительными:

$\begin{cases} 2x + 3 > 0 \\ x - 1 > 0 \end{cases} \implies \begin{cases} 2x > -3 \\ x > 1 \end{cases} \implies \begin{cases} x > -1,5 \\ x > 1 \end{cases}$

Более сильным условием является $x > 1$, следовательно, ОДЗ: $x \in (1, +\infty)$.

2. Решим неравенство. Основание логарифма $a = 5 > 1$, функция возрастающая, знак неравенства сохраняется:

$2x + 3 > x - 1$

$2x - x > -1 - 3$

$x > -4$

3. Найдем пересечение решения с ОДЗ.

$\begin{cases} x \in (1, +\infty) \\ x > -4 \end{cases}$

Пересечением является интервал $(1, +\infty)$.

Ответ: $x \in (1, +\infty)$.

г) $\log_{0,3}(3x - 2) \ge \log_{0,3}(x + 1)$

1. Найдем ОДЗ. Аргументы логарифмов должны быть строго положительными:

$\begin{cases} 3x - 2 > 0 \\ x + 1 > 0 \end{cases} \implies \begin{cases} 3x > 2 \\ x > -1 \end{cases} \implies \begin{cases} x > 2/3 \\ x > -1 \end{cases}$

Более сильным условием является $x > 2/3$, следовательно, ОДЗ: $x \in (2/3, +\infty)$.

2. Решим неравенство. Основание логарифма $a = 0,3$, так как $0 < 0,3 < 1$, функция убывающая, знак неравенства меняется на противоположный:

$3x - 2 \le x + 1$

$3x - x \le 1 + 2$

$2x \le 3$

$x \le 3/2$

3. Найдем пересечение решения с ОДЗ.

$\begin{cases} x \in (2/3, +\infty) \\ x \le 3/2 \end{cases}$

Пересечением является полуинтервал $(2/3, 3/2]$.

Ответ: $x \in (2/3, 3/2]$.

Помогло решение? Оставьте отзыв в комментариях ниже.

Присоединяйтесь к Телеграм-группе @gdz_by_belarus

Присоединиться

Мы подготовили для вас ответ c подробным объяснением домашего задания по алгебре за 11 класс, для упражнения номер 3.245 расположенного на странице 158 к учебнику 2020 года издания для учащихся школ и гимназий.

Теперь на нашем сайте ГДЗ.ТОП вы всегда легко и бесплатно найдёте условие с правильным ответом на вопрос «Как решить ДЗ» и «Как сделать» задание по алгебре к упражнению №3.245 (с. 158), авторов: Арефьева (Ирина Глебовна), Пирютко (Ольга Николаевна), учебного пособия издательства Народная асвета.