Номер 13, страница 260 - гдз по алгебре 11 класс учебник Арефьева, Пирютко

Алгебра, 11 класс Учебник, авторы: Арефьева Ирина Глебовна, Пирютко Ольга Николаевна, издательство Народная асвета, Минск, 2020, бирюзового цвета

Авторы: Арефьева И. Г., Пирютко О. Н.

Тип: Учебник

Издательство: Народная асвета

Год издания: 2020 - 2025

Цвет обложки: бирюзовый, зелёный с графиком

ISBN: 978-985-03-3165-6

Популярные ГДЗ в 11 классе

Тематические тесты. Тест 11. Логарифмические неравенства - номер 13, страница 260.

№13 (с. 260)
Условие. №13 (с. 260)
скриншот условия
Алгебра, 11 класс Учебник, авторы: Арефьева Ирина Глебовна, Пирютко Ольга Николаевна, издательство Народная асвета, Минск, 2020, бирюзового цвета, страница 260, номер 13, Условие

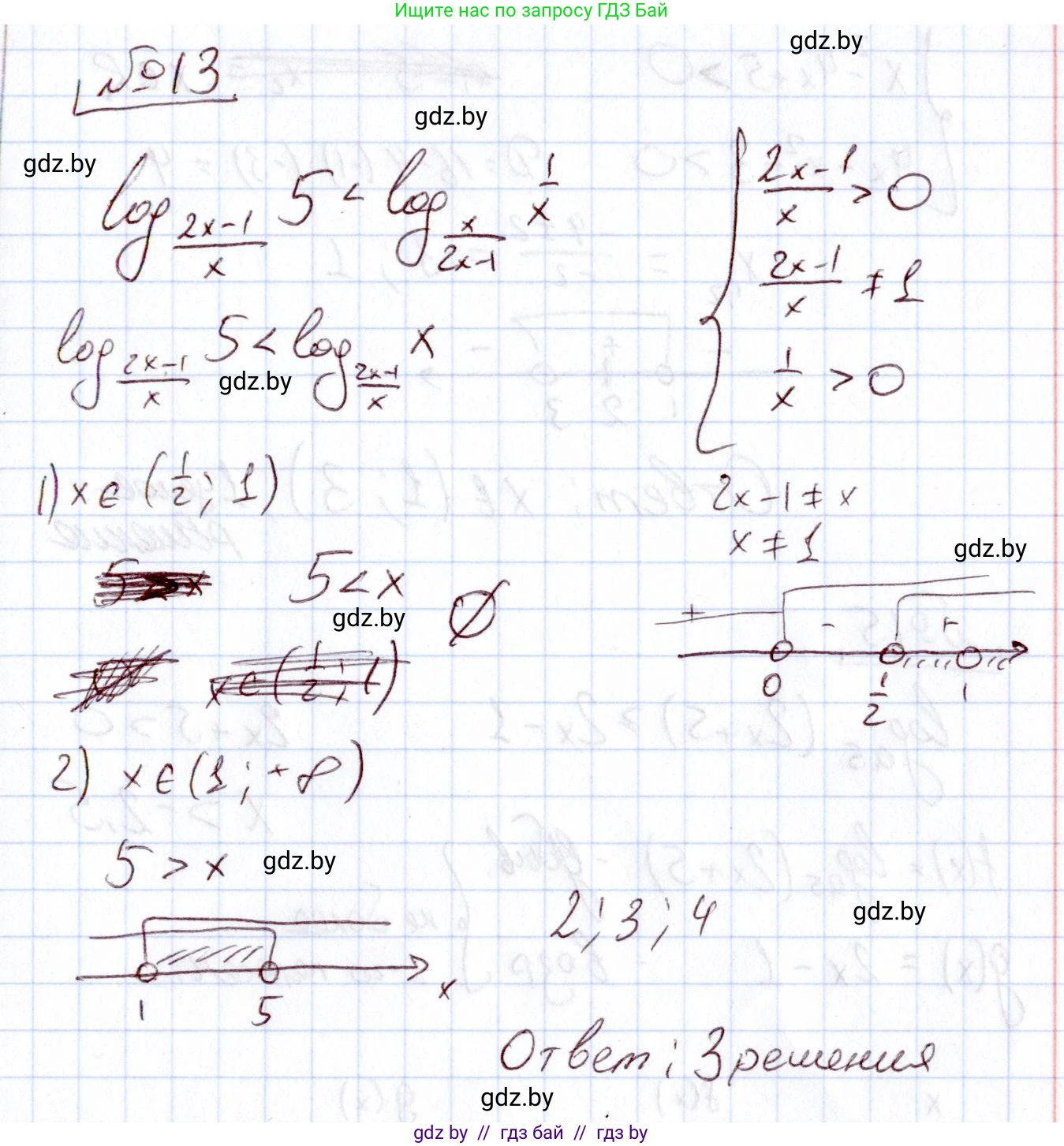
13. Найдите число целых решений неравенства

$\log_{\frac{2x-1}{x}} 5 < \log_{\frac{x}{2x-1}} \frac{1}{x}$ на промежутке $[-1; 11]$.

Решение. №13 (с. 260)
Алгебра, 11 класс Учебник, авторы: Арефьева Ирина Глебовна, Пирютко Ольга Николаевна, издательство Народная асвета, Минск, 2020, бирюзового цвета, страница 260, номер 13, Решение
Решение 2. №13 (с. 260)

Для начала найдем область допустимых значений (ОДЗ) переменной $x$ для данного неравенства.

Неравенство: $\log_{\frac{2x-1}{x}} 5 < \log_{\frac{x}{2x-1}} \frac{1}{x}$

Условия для существования логарифмов:

  1. Основания логарифмов должны быть положительными и не равными единице: $\frac{2x-1}{x} > 0$ и $\frac{2x-1}{x} \neq 1$.
  2. Аргументы логарифмов должны быть положительными: $5 > 0$ (верно всегда) и $\frac{1}{x} > 0$.

Решим систему этих условий:

Из условия $\frac{1}{x} > 0$ следует, что $x > 0$.

При условии $x > 0$, неравенство $\frac{2x-1}{x} > 0$ равносильно неравенству $2x-1 > 0$, откуда $x > \frac{1}{2}$.

Решим условие $\frac{2x-1}{x} \neq 1$:

$2x-1 \neq x \implies x \neq 1$.

Объединяя все условия, получаем ОДЗ: $x \in (\frac{1}{2}, 1) \cup (1, \infty)$.

Теперь преобразуем правую часть неравенства, используя свойство логарифма $\log_{1/a} b = -\log_a b$ и свойство $\log_a (c^p) = p \log_a c$:

$\log_{\frac{x}{2x-1}} \frac{1}{x} = \log_{(\frac{2x-1}{x})^{-1}} x^{-1} = \frac{\ln(x^{-1})}{\ln((\frac{2x-1}{x})^{-1})} = \frac{-1 \cdot \ln x}{-1 \cdot \ln(\frac{2x-1}{x})} = \log_{\frac{2x-1}{x}} x$.

Таким образом, исходное неравенство принимает вид:

$\log_{\frac{2x-1}{x}} 5 < \log_{\frac{2x-1}{x}} x$

Для решения этого неравенства рассмотрим два случая в зависимости от значения основания логарифма $a = \frac{2x-1}{x}$.

Случай 1: Основание $0 < a < 1$, то есть $0 < \frac{2x-1}{x} < 1$.

Решим систему неравенств:

$\frac{2x-1}{x} > 0$ (что с учетом $x > 0$ из ОДЗ дает $x > 1/2$)

$\frac{2x-1}{x} < 1 \implies \frac{2x-1}{x} - 1 < 0 \implies \frac{2x-1-x}{x} < 0 \implies \frac{x-1}{x} < 0$.

Так как из ОДЗ мы знаем, что $x > 0$, то для выполнения $\frac{x-1}{x} < 0$ необходимо, чтобы $x-1 < 0$, то есть $x < 1$.

Следовательно, этот случай соответствует значениям $x \in (\frac{1}{2}, 1)$.

Для основания $0 < a < 1$ логарифмическая функция является убывающей, поэтому при переходе от логарифмов к их аргументам знак неравенства меняется на противоположный:

$5 > x$

Пересекая полученное решение $x < 5$ с условием данного случая $x \in (\frac{1}{2}, 1)$, получаем итоговое решение для этого случая: $x \in (\frac{1}{2}, 1)$.

Случай 2: Основание $a > 1$, то есть $\frac{2x-1}{x} > 1$.

Решим неравенство:

$\frac{2x-1}{x} - 1 > 0 \implies \frac{2x-1-x}{x} > 0 \implies \frac{x-1}{x} > 0$.

Так как из ОДЗ мы знаем, что $x>0$, то для выполнения $\frac{x-1}{x} > 0$ необходимо, чтобы $x-1 > 0$, то есть $x > 1$.

Следовательно, этот случай соответствует значениям $x \in (1, \infty)$.

Для основания $a > 1$ логарифмическая функция является возрастающей, поэтому при переходе от логарифмов к их аргументам знак неравенства сохраняется:

$5 < x$

Пересекая полученное решение $x > 5$ с условием данного случая $x \in (1, \infty)$, получаем итоговое решение для этого случая: $x \in (5, \infty)$.

Общее решение неравенства является объединением решений, полученных в обоих случаях:

$x \in (\frac{1}{2}, 1) \cup (5, \infty)$.

Теперь найдем количество целых решений, принадлежащих заданному промежутку $[-1, 11]$. Для этого найдем пересечение множества решений неравенства с заданным промежутком:

$((\frac{1}{2}, 1) \cup (5, \infty)) \cap [-1, 11] = (\frac{1}{2}, 1) \cup (5, 11]$.

В интервале $(\frac{1}{2}, 1)$ целых чисел нет.

В интервале $(5, 11]$ содержатся следующие целые числа: $6, 7, 8, 9, 10, 11$.

Подсчитаем количество этих целых чисел: их 6.

Ответ: 6

Помогло решение? Оставьте отзыв в комментариях ниже.

Присоединяйтесь к Телеграм-группе @gdz_by_belarus

Присоединиться

Мы подготовили для вас ответ c подробным объяснением домашего задания по алгебре за 11 класс, для упражнения номер 13 расположенного на странице 260 к учебнику 2020 года издания для учащихся школ и гимназий.

Теперь на нашем сайте ГДЗ.ТОП вы всегда легко и бесплатно найдёте условие с правильным ответом на вопрос «Как решить ДЗ» и «Как сделать» задание по алгебре к упражнению №13 (с. 260), авторов: Арефьева (Ирина Глебовна), Пирютко (Ольга Николаевна), учебного пособия издательства Народная асвета.