Номер 6, страница 258 - гдз по алгебре 11 класс учебник Арефьева, Пирютко

Алгебра, 11 класс Учебник, авторы: Арефьева Ирина Глебовна, Пирютко Ольга Николаевна, издательство Народная асвета, Минск, 2020, бирюзового цвета

Авторы: Арефьева И. Г., Пирютко О. Н.

Тип: Учебник

Издательство: Народная асвета

Год издания: 2020 - 2025

Цвет обложки: бирюзовый, зелёный с графиком

ISBN: 978-985-03-3165-6

Популярные ГДЗ в 11 классе

Тематические тесты. Тест 11. Логарифмические неравенства - номер 6, страница 258.

№6 (с. 258)
Условие. №6 (с. 258)
скриншот условия
Алгебра, 11 класс Учебник, авторы: Арефьева Ирина Глебовна, Пирютко Ольга Николаевна, издательство Народная асвета, Минск, 2020, бирюзового цвета, страница 258, номер 6, Условие

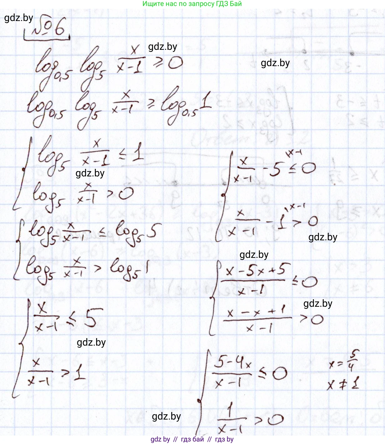
6. Решите неравенство $\log_{0,5} \log_5 \frac{x}{x-1} \ge 0$.

а) $[1,25; +\infty)$;

б) $(-\infty; 1) \cup [1,25; +\infty)$;

в) $[1; 1,25)$;

г) $(-\infty; -0,5) \cup [2; +\infty)$;

д) $(-\infty; 1 \frac{2}{3}]$;

Решение. №6 (с. 258)
Алгебра, 11 класс Учебник, авторы: Арефьева Ирина Глебовна, Пирютко Ольга Николаевна, издательство Народная асвета, Минск, 2020, бирюзового цвета, страница 258, номер 6, Решение Алгебра, 11 класс Учебник, авторы: Арефьева Ирина Глебовна, Пирютко Ольга Николаевна, издательство Народная асвета, Минск, 2020, бирюзового цвета, страница 258, номер 6, Решение (продолжение 2)
Решение 2. №6 (с. 258)

Решение:

Исходное неравенство: $ \log_{0,5} \log_{5} \frac{x}{x-1} \ge 0 $.

Для решения неравенства сначала определим область допустимых значений (ОДЗ). Аргумент каждого логарифма должен быть строго положительным. Это приводит к системе из двух неравенств:

$ \begin{cases} \frac{x}{x-1} > 0 & \text{(1)} \\ \log_{5} \frac{x}{x-1} > 0 & \text{(2)} \end{cases} $

Решим второе неравенство (2), так как оно является более строгим. Если $ \log_{5} A > 0 $, то $ A > 1 $, что автоматически означает, что $ A > 0 $. Таким образом, достаточно решить только второе неравенство.

$ \log_{5} \frac{x}{x-1} > 0 $

Представим 0 в виде логарифма с основанием 5: $ 0 = \log_{5} 1 $.

$ \log_{5} \frac{x}{x-1} > \log_{5} 1 $

Так как основание логарифма $ 5 > 1 $ (функция возрастающая), мы можем убрать логарифмы, сохранив знак неравенства:

$ \frac{x}{x-1} > 1 $

Перенесем 1 в левую часть и приведем к общему знаменателю:

$ \frac{x}{x-1} - 1 > 0 $

$ \frac{x - (x-1)}{x-1} > 0 $

$ \frac{1}{x-1} > 0 $

Дробь положительна, когда ее знаменатель положителен: $ x - 1 > 0 \implies x > 1 $.
Итак, ОДЗ: $ x \in (1; +\infty) $.

Теперь решаем исходное неравенство на найденной ОДЗ.

$ \log_{0,5} \left( \log_{5} \frac{x}{x-1} \right) \ge 0 $

Представим 0 в виде логарифма с основанием 0,5: $ 0 = \log_{0,5} 1 $.

$ \log_{0,5} \left( \log_{5} \frac{x}{x-1} \right) \ge \log_{0,5} 1 $

Так как основание логарифма $ 0,5 < 1 $ (функция убывающая), при переходе к аргументам знак неравенства меняется на противоположный:

$ \log_{5} \frac{x}{x-1} \le 1 $

Представим 1 в виде логарифма с основанием 5: $ 1 = \log_{5} 5 $.

$ \log_{5} \frac{x}{x-1} \le \log_{5} 5 $

Так как основание $ 5 > 1 $, знак неравенства сохраняется:

$ \frac{x}{x-1} \le 5 $

$ \frac{x}{x-1} - 5 \le 0 $

$ \frac{x - 5(x-1)}{x-1} \le 0 $

$ \frac{x - 5x + 5}{x-1} \le 0 $

$ \frac{5 - 4x}{x-1} \le 0 $

Умножим неравенство на -1 и поменяем знак на противоположный:

$ \frac{4x - 5}{x-1} \ge 0 $

Решим это неравенство методом интервалов.
Корень числителя: $ 4x - 5 = 0 \implies x = \frac{5}{4} = 1,25 $. Точка включается ($ \ge $).
Корень знаменателя: $ x - 1 = 0 \implies x = 1 $. Точка исключается (знаменатель).
Нанеся точки на числовую ось, получаем интервалы. Проверка знаков показывает, что неравенство выполняется при $ x \in (-\infty; 1) \cup [1,25; +\infty) $.

Наконец, найдем пересечение полученного решения с ОДЗ ($ x \in (1; +\infty) $):

$ \left( (-\infty; 1) \cup [1,25; +\infty) \right) \cap (1; +\infty) = [1,25; +\infty) $

Полученный интервал соответствует варианту ответа а).

Ответ: а) $ [1,25; +\infty) $.

Помогло решение? Оставьте отзыв в комментариях ниже.

Присоединяйтесь к Телеграм-группе @gdz_by_belarus

Присоединиться

Мы подготовили для вас ответ c подробным объяснением домашего задания по алгебре за 11 класс, для упражнения номер 6 расположенного на странице 258 к учебнику 2020 года издания для учащихся школ и гимназий.

Теперь на нашем сайте ГДЗ.ТОП вы всегда легко и бесплатно найдёте условие с правильным ответом на вопрос «Как решить ДЗ» и «Как сделать» задание по алгебре к упражнению №6 (с. 258), авторов: Арефьева (Ирина Глебовна), Пирютко (Ольга Николаевна), учебного пособия издательства Народная асвета.