Номер 2, страница 258 - гдз по алгебре 11 класс учебник Арефьева, Пирютко

Алгебра, 11 класс Учебник, авторы: Арефьева Ирина Глебовна, Пирютко Ольга Николаевна, издательство Народная асвета, Минск, 2020, бирюзового цвета

Авторы: Арефьева И. Г., Пирютко О. Н.

Тип: Учебник

Издательство: Народная асвета

Год издания: 2020 - 2025

Цвет обложки: бирюзовый, зелёный с графиком

ISBN: 978-985-03-3165-6

Популярные ГДЗ в 11 классе

Тематические тесты. Тест 11. Логарифмические неравенства - номер 2, страница 258.

№2 (с. 258)
Условие. №2 (с. 258)
скриншот условия
Алгебра, 11 класс Учебник, авторы: Арефьева Ирина Глебовна, Пирютко Ольга Николаевна, издательство Народная асвета, Минск, 2020, бирюзового цвета, страница 258, номер 2, Условие

2. Решите неравенство

$\log_{\sqrt{3}}(x+1) - \log_{\sqrt{3}}(x-1) > \log_3 4.$

а) $(3; +\infty)$

б) $(1; +\infty)$

в) $(-\infty; 3)$

г) $(1; 3)$

д) $(-3; -1)$

Решение. №2 (с. 258)
Алгебра, 11 класс Учебник, авторы: Арефьева Ирина Глебовна, Пирютко Ольга Николаевна, издательство Народная асвета, Минск, 2020, бирюзового цвета, страница 258, номер 2, Решение
Решение 2. №2 (с. 258)

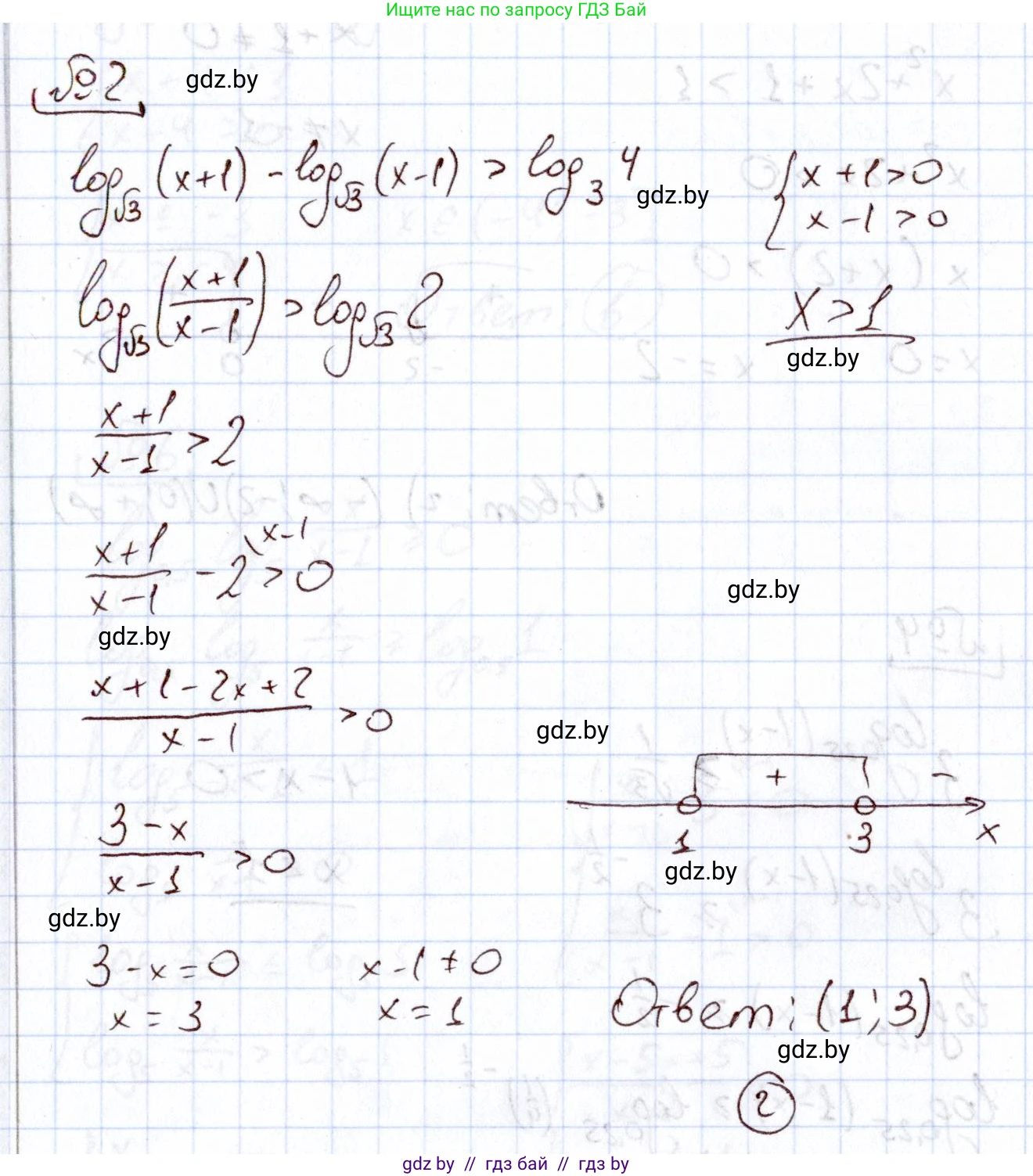
Для решения неравенства $\log_{\sqrt{3}}(x + 1) - \log_{\sqrt{3}}(x - 1) > \log_{3} 4$ выполним следующие шаги.

1. Найдем область допустимых значений (ОДЗ)
Аргументы логарифмов должны быть строго больше нуля, поэтому составим систему неравенств:$$ \begin{cases} x + 1 > 0 \\ x - 1 > 0 \end{cases} $$Решая систему, получаем:$$ \begin{cases} x > -1 \\ x > 1 \end{cases} $$Пересечением этих условий является $x > 1$. Таким образом, ОДЗ: $x \in (1; +\infty)$.

2. Преобразуем логарифмическое неравенство
Приведем все логарифмы к одному основанию 3. Воспользуемся формулой смены основания логарифма: $\log_{a^k} b = \frac{1}{k}\log_a b$.
Поскольку $\sqrt{3} = 3^{1/2}$, левую часть неравенства можно преобразовать:$$ \log_{\sqrt{3}}(x+1) = \log_{3^{1/2}}(x+1) = \frac{1}{1/2}\log_3(x+1) = 2\log_3(x+1) $$$$ \log_{\sqrt{3}}(x-1) = \log_{3^{1/2}}(x-1) = \frac{1}{1/2}\log_3(x-1) = 2\log_3(x-1) $$Подставим преобразованные выражения в исходное неравенство:$$ 2\log_3(x+1) - 2\log_3(x-1) > \log_3 4 $$Вынесем общий множитель 2 за скобки и используем свойство разности логарифмов $\log_a M - \log_a N = \log_a \frac{M}{N}$:$$ 2(\log_3(x+1) - \log_3(x-1)) > \log_3 4 $$$$ 2\log_3\left(\frac{x+1}{x-1}\right) > \log_3 4 $$Теперь используем свойство степени логарифма $k\log_a M = \log_a M^k$:$$ \log_3\left(\left(\frac{x+1}{x-1}\right)^2\right) > \log_3 4 $$

3. Решим полученное рациональное неравенство
Так как основание логарифма $3 > 1$, логарифмическая функция является монотонно возрастающей. Следовательно, мы можем перейти от неравенства логарифмов к неравенству их аргументов, сохраняя знак неравенства:$$ \left(\frac{x+1}{x-1}\right)^2 > 4 $$Перенесем 4 в левую часть и применим формулу разности квадратов $a^2-b^2 = (a-b)(a+b)$:$$ \left(\frac{x+1}{x-1}\right)^2 - 2^2 > 0 $$$$ \left(\frac{x+1}{x-1} - 2\right)\left(\frac{x+1}{x-1} + 2\right) > 0 $$Приведем дроби в скобках к общему знаменателю:$$ \left(\frac{x+1 - 2(x-1)}{x-1}\right)\left(\frac{x+1 + 2(x-1)}{x-1}\right) > 0 $$$$ \left(\frac{x+1 - 2x + 2}{x-1}\right)\left(\frac{x+1 + 2x - 2}{x-1}\right) > 0 $$$$ \left(\frac{3-x}{x-1}\right)\left(\frac{3x-1}{x-1}\right) > 0 $$$$ \frac{(3-x)(3x-1)}{(x-1)^2} > 0 $$Знаменатель $(x-1)^2$ положителен для всех $x$ из ОДЗ (где $x \neq 1$). Поэтому знак дроби зависит только от знака числителя:$$ (3-x)(3x-1) > 0 $$Решим это квадратное неравенство методом интервалов. Корни числителя: $3-x=0 \Rightarrow x=3$ и $3x-1=0 \Rightarrow x=1/3$. Графиком функции $y=(3-x)(3x-1)$ является парабола, ветви которой направлены вниз (коэффициент при $x^2$ отрицателен). Значит, функция положительна между корнями. Решение этого неравенства: $x \in (1/3; 3)$.

4. Учтем ОДЗ и сформируем окончательный ответ
Необходимо найти пересечение полученного решения $x \in (1/3; 3)$ с областью допустимых значений $x \in (1; +\infty)$.$$ (1/3; 3) \cap (1; +\infty) = (1; 3) $$Решением исходного неравенства является интервал $(1; 3)$, что соответствует варианту ответа г).

Ответ: г) $(1; 3)

Помогло решение? Оставьте отзыв в комментариях ниже.

Присоединяйтесь к Телеграм-группе @gdz_by_belarus

Присоединиться

Мы подготовили для вас ответ c подробным объяснением домашего задания по алгебре за 11 класс, для упражнения номер 2 расположенного на странице 258 к учебнику 2020 года издания для учащихся школ и гимназий.

Теперь на нашем сайте ГДЗ.ТОП вы всегда легко и бесплатно найдёте условие с правильным ответом на вопрос «Как решить ДЗ» и «Как сделать» задание по алгебре к упражнению №2 (с. 258), авторов: Арефьева (Ирина Глебовна), Пирютко (Ольга Николаевна), учебного пособия издательства Народная асвета.