Номер 13, страница 257 - гдз по алгебре 11 класс учебник Арефьева, Пирютко

Алгебра, 11 класс Учебник, авторы: Арефьева Ирина Глебовна, Пирютко Ольга Николаевна, издательство Народная асвета, Минск, 2020, бирюзового цвета

Авторы: Арефьева И. Г., Пирютко О. Н.

Тип: Учебник

Издательство: Народная асвета

Год издания: 2020 - 2025

Цвет обложки: бирюзовый, зелёный с графиком

ISBN: 978-985-03-3165-6

Популярные ГДЗ в 11 классе

Тематические тесты. Тест 10. Логарифмические уравнения - номер 13, страница 257.

№13 (с. 257)
Условие. №13 (с. 257)
скриншот условия
Алгебра, 11 класс Учебник, авторы: Арефьева Ирина Глебовна, Пирютко Ольга Николаевна, издательство Народная асвета, Минск, 2020, бирюзового цвета, страница 257, номер 13, Условие

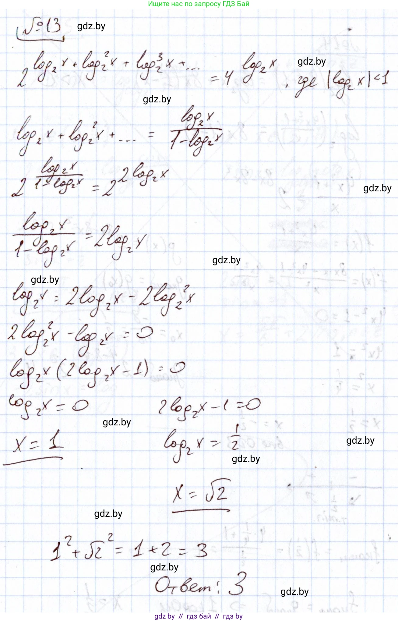
13. Найдите сумму квадратов корней уравнения

$2^{\log_2 x + \log_2^2 x + \log_2^3 x + \dots} = 4^{\log_2 x}, \text{ где } |\log_2 x|<1.$

Решение. №13 (с. 257)
Алгебра, 11 класс Учебник, авторы: Арефьева Ирина Глебовна, Пирютко Ольга Николаевна, издательство Народная асвета, Минск, 2020, бирюзового цвета, страница 257, номер 13, Решение
Решение 2. №13 (с. 257)

Данное уравнение: $2^{\log_2 x + \log_2^2 x + \log_2^3 x + \dots} = 4^{\log_2 x}$, где $|\log_2 x| < 1$.

Показатель степени в левой части уравнения представляет собой сумму членов бесконечно убывающей геометрической прогрессии. Сделаем замену $t = \log_2 x$. Тогда показатель степени можно записать в виде ряда: $t + t^2 + t^3 + \dots$.

Это геометрическая прогрессия с первым членом $b_1 = t$ и знаменателем $q = t$. Условие $|\log_2 x| < 1$ гарантирует сходимость этой прогрессии, так как $|q| < 1$.

Сумма такой бесконечной геометрической прогрессии находится по формуле $S = \frac{b_1}{1-q}$. В нашем случае сумма равна $S = \frac{t}{1-t} = \frac{\log_2 x}{1 - \log_2 x}$.

Подставим найденную сумму в исходное уравнение. Левая часть примет вид $2^{\frac{\log_2 x}{1 - \log_2 x}}$.

Правую часть уравнения преобразуем, приведя к основанию 2: $4^{\log_2 x} = (2^2)^{\log_2 x} = 2^{2 \log_2 x}$.

Теперь уравнение можно записать как:$2^{\frac{\log_2 x}{1 - \log_2 x}} = 2^{2 \log_2 x}$.

Поскольку основания степеней равны, мы можем приравнять их показатели:$\frac{\log_2 x}{1 - \log_2 x} = 2 \log_2 x$.

Снова используя замену $t = \log_2 x$ (с условием $|t| < 1$), получаем:$\frac{t}{1 - t} = 2t$.

Решим это уравнение. Перенесем все члены в левую часть и вынесем общий множитель $t$ за скобки:$\frac{t}{1 - t} - 2t = 0$$t \left( \frac{1}{1-t} - 2 \right) = 0$.

Произведение равно нулю, когда один из множителей равен нулю. Рассмотрим два случая.

Первый случай: $t = 0$.
Возвращаясь к переменной $x$, получаем $\log_2 x = 0$. Отсюда первый корень $x_1 = 2^0 = 1$. Это значение удовлетворяет условию $|t|<1$, поскольку $|0|<1$.

Второй случай: $\frac{1}{1-t} - 2 = 0$.
Решаем уравнение:$\frac{1}{1-t} = 2$
$1 = 2(1-t)$
$1 = 2 - 2t$
$2t = 1$
$t = \frac{1}{2}$.
Возвращаясь к переменной $x$, получаем $\log_2 x = \frac{1}{2}$. Отсюда второй корень $x_2 = 2^{1/2} = \sqrt{2}$. Это значение также удовлетворяет условию $|t|<1$, поскольку $|\frac{1}{2}|<1$.

Итак, мы нашли два корня уравнения: $x_1 = 1$ и $x_2 = \sqrt{2}$.

В соответствии с заданием, найдем сумму квадратов этих корней:$x_1^2 + x_2^2 = 1^2 + (\sqrt{2})^2 = 1 + 2 = 3$.

Ответ: 3

Помогло решение? Оставьте отзыв в комментариях ниже.

Присоединяйтесь к Телеграм-группе @gdz_by_belarus

Присоединиться

Мы подготовили для вас ответ c подробным объяснением домашего задания по алгебре за 11 класс, для упражнения номер 13 расположенного на странице 257 к учебнику 2020 года издания для учащихся школ и гимназий.

Теперь на нашем сайте ГДЗ.ТОП вы всегда легко и бесплатно найдёте условие с правильным ответом на вопрос «Как решить ДЗ» и «Как сделать» задание по алгебре к упражнению №13 (с. 257), авторов: Арефьева (Ирина Глебовна), Пирютко (Ольга Николаевна), учебного пособия издательства Народная асвета.