Номер 12, страница 257 - гдз по алгебре 11 класс учебник Арефьева, Пирютко

Алгебра, 11 класс Учебник, авторы: Арефьева Ирина Глебовна, Пирютко Ольга Николаевна, издательство Народная асвета, Минск, 2020, бирюзового цвета

Авторы: Арефьева И. Г., Пирютко О. Н.

Тип: Учебник

Издательство: Народная асвета

Год издания: 2020 - 2025

Цвет обложки: бирюзовый, зелёный с графиком

ISBN: 978-985-03-3165-6

Популярные ГДЗ в 11 классе

Тематические тесты. Тест 10. Логарифмические уравнения - номер 12, страница 257.

№12 (с. 257)
Условие. №12 (с. 257)
скриншот условия
Алгебра, 11 класс Учебник, авторы: Арефьева Ирина Глебовна, Пирютко Ольга Николаевна, издательство Народная асвета, Минск, 2020, бирюзового цвета, страница 257, номер 12, Условие

12. Найдите сумму последовательных целых чисел, между которыми заключена сумма корней (корень, если он единственный) уравнения

$0.5\log_{2-x} (x^2+x-6)^2=2$.

Решение. №12 (с. 257)
Алгебра, 11 класс Учебник, авторы: Арефьева Ирина Глебовна, Пирютко Ольга Николаевна, издательство Народная асвета, Минск, 2020, бирюзового цвета, страница 257, номер 12, Решение
Решение 2. №12 (с. 257)

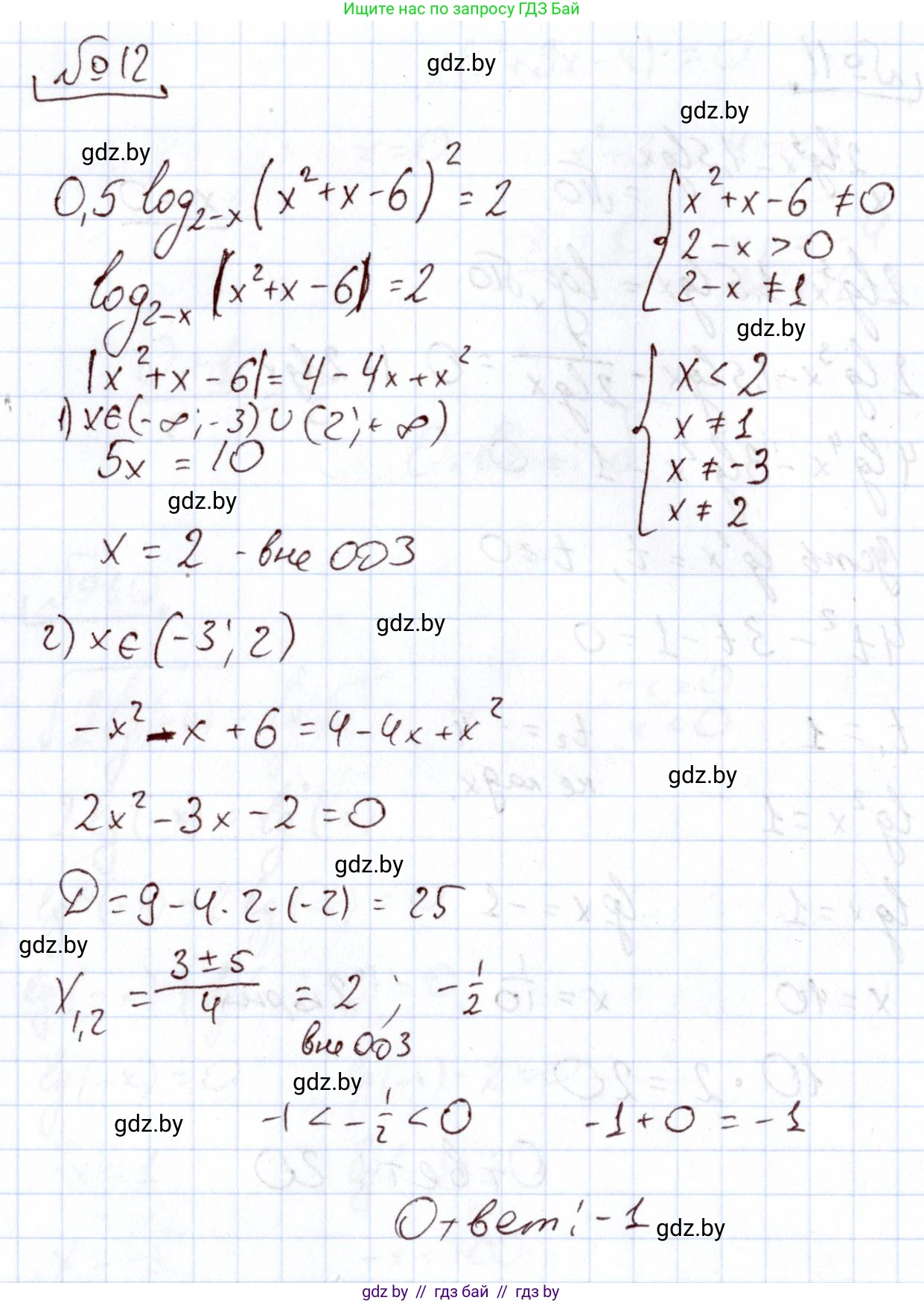
Исходное уравнение: $0,5 \log_{2-x} (x^2 + x - 6)^2 = 2$.

Сначала найдем область допустимых значений (ОДЗ) для этого логарифмического уравнения.

1. Основание логарифма $2 - x$ должно быть положительным и не равняться единице:
$2 - x > 0 \implies x < 2$
$2 - x \neq 1 \implies x \neq 1$

2. Аргумент логарифма $(x^2 + x - 6)^2$ должен быть строго больше нуля. Так как выражение находится в квадрате, оно всегда неотрицательно. Нам нужно исключить случай, когда оно равно нулю:
$x^2 + x - 6 \neq 0$
Найдем корни квадратного трехчлена $x^2 + x - 6 = 0$. По теореме Виета, произведение корней равно $-6$, а их сумма равна $-1$. Корни: $x_1 = -3$ и $x_2 = 2$.
Следовательно, $x \neq -3$ и $x \neq 2$.

Объединяя все условия, получаем ОДЗ: $x \in (-\infty; -3) \cup (-3; 1) \cup (1; 2)$.

Теперь приступим к решению уравнения. Умножим обе части уравнения на 2:
$\log_{2-x} (x^2 + x - 6)^2 = 4$

Используем свойство логарифма $\log_a (b^2) = 2 \log_a |b|$:
$2 \log_{2-x} |x^2 + x - 6| = 4$
Разделим обе части на 2:
$\log_{2-x} |x^2 + x - 6| = 2$

По определению логарифма ($\log_b a = c \iff a = b^c$):
$|x^2 + x - 6| = (2 - x)^2$

Раскроем квадрат в правой части:
$|x^2 + x - 6| = 4 - 4x + x^2$

Это уравнение с модулем равносильно совокупности двух систем.
Первый случай: $x^2 + x - 6 > 0$. Тогда $|x^2 + x - 6| = x^2 + x - 6$.
$x^2 + x - 6 = 4 - 4x + x^2$
$x + 6 = 4 - 4x$
$5x = 10$
$x = 2$
Этот корень не входит в ОДЗ, так как $x < 2$.

Второй случай: $x^2 + x - 6 < 0$. Тогда $|x^2 + x - 6| = -(x^2 + x - 6)$.
$-(x^2 + x - 6) = 4 - 4x + x^2$
$-x^2 - x + 6 = 4 - 4x + x^2$
$2x^2 - 3x - 2 = 0$

Решим полученное квадратное уравнение. Найдем дискриминант:
$D = b^2 - 4ac = (-3)^2 - 4 \cdot 2 \cdot (-2) = 9 + 16 = 25$
Найдем корни:
$x_1 = \frac{-b + \sqrt{D}}{2a} = \frac{3 + 5}{2 \cdot 2} = \frac{8}{4} = 2$
$x_2 = \frac{-b - \sqrt{D}}{2a} = \frac{3 - 5}{2 \cdot 2} = \frac{-2}{4} = -0,5$

Проверим найденные корни на соответствие ОДЗ и условию $x^2 + x - 6 < 0$.
Корень $x_1 = 2$ не входит в ОДЗ.
Корень $x_2 = -0,5$. Он входит в ОДЗ, так как $-0,5 \in (-3; 1)$. Проверим для него условие $x^2 + x - 6 < 0$:
$(-0,5)^2 + (-0,5) - 6 = 0,25 - 0,5 - 6 = -6,25 < 0$. Условие выполняется.
Таким образом, уравнение имеет единственный корень $x = -0,5$.

По условию задачи, нужно найти сумму последовательных целых чисел, между которыми заключена сумма корней. Поскольку корень единственный, то сумма корней равна этому корню, то есть $-0,5$.

Найдем два последовательных целых числа $n$ и $n+1$, которые удовлетворяют неравенству:
$n < -0,5 < n+1$
Этому неравенству удовлетворяют целые числа $n = -1$ и $n+1 = 0$, так как $-1 < -0,5 < 0$.

Сумма этих последовательных целых чисел равна:
$-1 + 0 = -1$.

Ответ: $-1$

Помогло решение? Оставьте отзыв в комментариях ниже.

Присоединяйтесь к Телеграм-группе @gdz_by_belarus

Присоединиться

Мы подготовили для вас ответ c подробным объяснением домашего задания по алгебре за 11 класс, для упражнения номер 12 расположенного на странице 257 к учебнику 2020 года издания для учащихся школ и гимназий.

Теперь на нашем сайте ГДЗ.ТОП вы всегда легко и бесплатно найдёте условие с правильным ответом на вопрос «Как решить ДЗ» и «Как сделать» задание по алгебре к упражнению №12 (с. 257), авторов: Арефьева (Ирина Глебовна), Пирютко (Ольга Николаевна), учебного пособия издательства Народная асвета.