Номер 3, страница 258 - гдз по алгебре 11 класс учебник Арефьева, Пирютко

Алгебра, 11 класс Учебник, авторы: Арефьева Ирина Глебовна, Пирютко Ольга Николаевна, издательство Народная асвета, Минск, 2020, бирюзового цвета

Авторы: Арефьева И. Г., Пирютко О. Н.

Тип: Учебник

Издательство: Народная асвета

Год издания: 2020 - 2025

Цвет обложки: бирюзовый, зелёный с графиком

ISBN: 978-985-03-3165-6

Популярные ГДЗ в 11 классе

Тематические тесты. Тест 11. Логарифмические неравенства - номер 3, страница 258.

№3 (с. 258)
Условие. №3 (с. 258)
скриншот условия
Алгебра, 11 класс Учебник, авторы: Арефьева Ирина Глебовна, Пирютко Ольга Николаевна, издательство Народная асвета, Минск, 2020, бирюзового цвета, страница 258, номер 3, Условие

3. Решите неравенство

$log_{\frac{1}{3}} (x^2 + 2x + 1) < 0.$

а) $(-\infty; 0) \cup (2; +\infty);$

б) $(-\infty; -1) \cup (-1; +\infty);$

в) $(-2; 0);$

г) $(-\infty; -2) \cup (0; +\infty);$

д) $(\frac{1}{3}; +\infty).$

Решение. №3 (с. 258)
Алгебра, 11 класс Учебник, авторы: Арефьева Ирина Глебовна, Пирютко Ольга Николаевна, издательство Народная асвета, Минск, 2020, бирюзового цвета, страница 258, номер 3, Решение
Решение 2. №3 (с. 258)

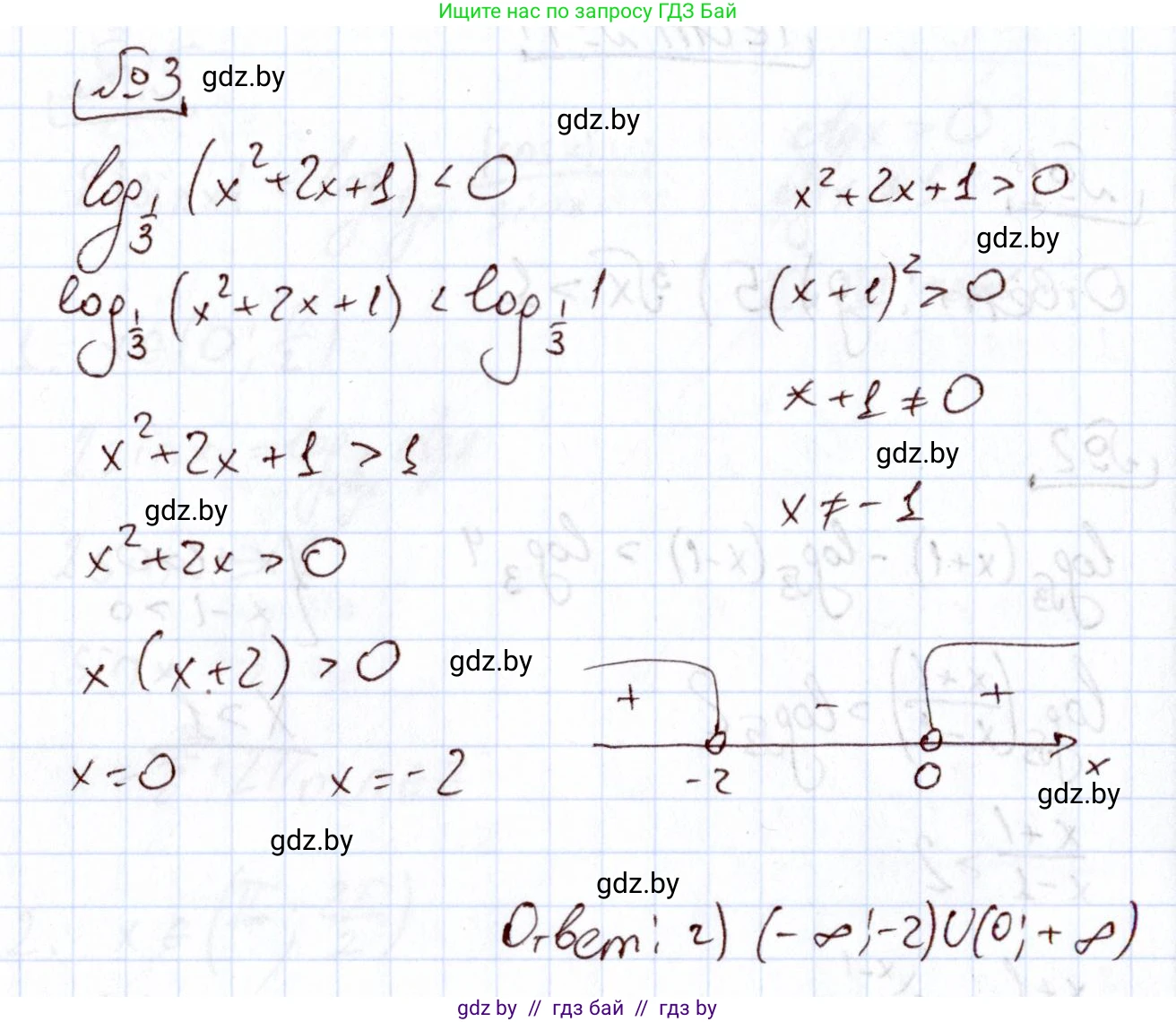
Для решения неравенства $\log_{\frac{1}{3}}(x^2 + 2x + 1) < 0$ выполним следующие шаги:

1. Нахождение Области Допустимых Значений (ОДЗ)
Выражение под знаком логарифма должно быть строго положительным:
$x^2 + 2x + 1 > 0$
Левая часть является полным квадратом:
$(x + 1)^2 > 0$
Квадрат любого действительного числа всегда больше или равен нулю. Равенство нулю достигается только в том случае, когда выражение в скобках равно нулю, то есть при $x = -1$.
Следовательно, неравенство справедливо для всех действительных чисел $x$, кроме $x = -1$.
ОДЗ: $x \in (-\infty; -1) \cup (-1; +\infty)$.

2. Решение логарифмического неравенства
Представим 0 в правой части как логарифм с основанием $\frac{1}{3}$:
$0 = \log_{\frac{1}{3}}(1)$
Неравенство принимает вид:
$\log_{\frac{1}{3}}(x^2 + 2x + 1) < \log_{\frac{1}{3}}(1)$
Поскольку основание логарифма $a = \frac{1}{3}$ меньше 1 ($0 < a < 1$), логарифмическая функция является убывающей. Это означает, что при переходе от логарифмов к их аргументам знак неравенства необходимо изменить на противоположный:
$x^2 + 2x + 1 > 1$

3. Решение полученного квадратного неравенства
Вычтем 1 из обеих частей неравенства:
$x^2 + 2x > 0$
Разложим левую часть на множители, вынеся $x$ за скобки:
$x(x + 2) > 0$
Решим это неравенство методом интервалов. Корни соответствующего уравнения $x(x + 2) = 0$ равны $x_1 = 0$ и $x_2 = -2$. Эти точки разбивают числовую прямую на три интервала: $(-\infty; -2)$, $(-2; 0)$ и $(0; +\infty)$.
Определив знаки выражения $x(x+2)$ на каждом интервале, получаем, что неравенство выполняется при $x \in (-\infty; -2) \cup (0; +\infty)$.

4. Учет ОДЗ и формирование окончательного ответа
Теперь необходимо найти пересечение найденного решения с ОДЗ:
Решение: $x \in (-\infty; -2) \cup (0; +\infty)$
ОДЗ: $x \in (-\infty; -1) \cup (-1; +\infty)$
Пересечение этих двух множеств дает нам итоговый ответ. Так как точка $x = -1$ не принадлежит интервалам $(-\infty; -2)$ и $(0; +\infty)$, ОДЗ не накладывает дополнительных ограничений на полученное решение.
Таким образом, решение неравенства: $x \in (-\infty; -2) \cup (0; +\infty)$.
Этот результат соответствует варианту ответа г).

Ответ: г) $(-\infty; -2) \cup (0; +\infty);$

Помогло решение? Оставьте отзыв в комментариях ниже.

Присоединяйтесь к Телеграм-группе @gdz_by_belarus

Присоединиться

Мы подготовили для вас ответ c подробным объяснением домашего задания по алгебре за 11 класс, для упражнения номер 3 расположенного на странице 258 к учебнику 2020 года издания для учащихся школ и гимназий.

Теперь на нашем сайте ГДЗ.ТОП вы всегда легко и бесплатно найдёте условие с правильным ответом на вопрос «Как решить ДЗ» и «Как сделать» задание по алгебре к упражнению №3 (с. 258), авторов: Арефьева (Ирина Глебовна), Пирютко (Ольга Николаевна), учебного пособия издательства Народная асвета.