Номер 10, страница 257 - гдз по алгебре 11 класс учебник Арефьева, Пирютко

Алгебра, 11 класс Учебник, авторы: Арефьева Ирина Глебовна, Пирютко Ольга Николаевна, издательство Народная асвета, Минск, 2020, бирюзового цвета

Авторы: Арефьева И. Г., Пирютко О. Н.

Тип: Учебник

Издательство: Народная асвета

Год издания: 2020 - 2025

Цвет обложки: бирюзовый, зелёный с графиком

ISBN: 978-985-03-3165-6

Популярные ГДЗ в 11 классе

Тематические тесты. Тест 10. Логарифмические уравнения - номер 10, страница 257.

№10 (с. 257)
Условие. №10 (с. 257)
скриншот условия
Алгебра, 11 класс Учебник, авторы: Арефьева Ирина Глебовна, Пирютко Ольга Николаевна, издательство Народная асвета, Минск, 2020, бирюзового цвета, страница 257, номер 10, Условие

10. Найдите сумму корней (корень, если он единственный) уравнения

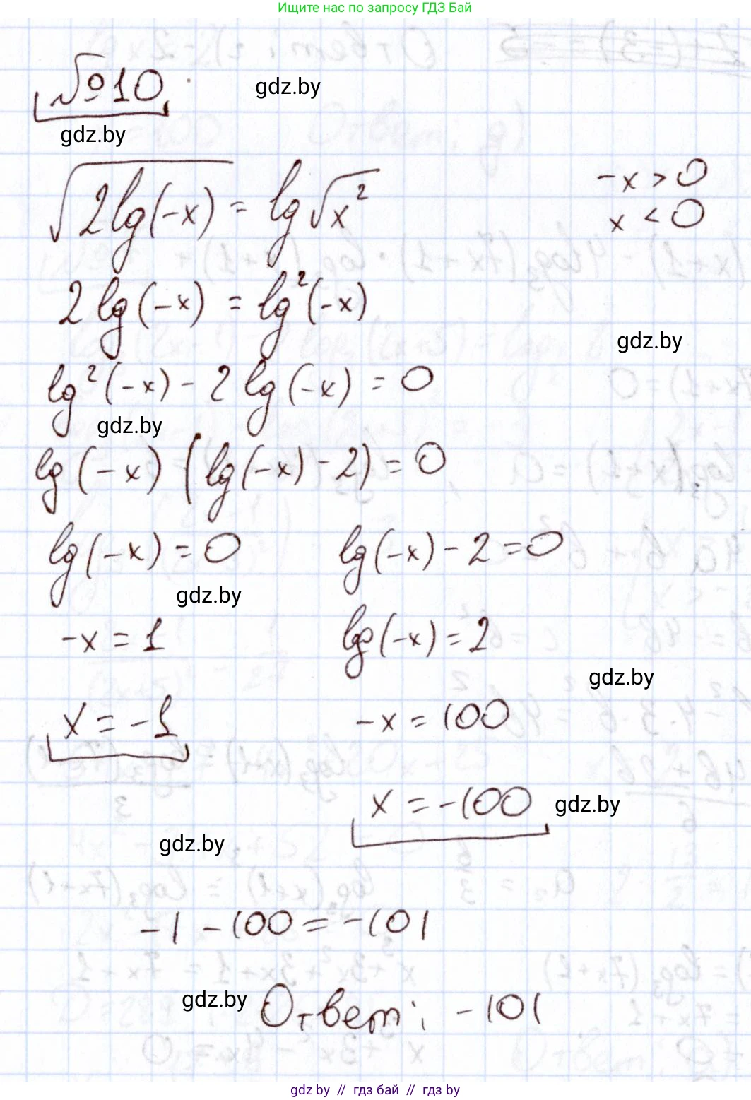
$\sqrt{2\lg(-x)} = \lg\sqrt{x^2}$

Решение. №10 (с. 257)
Алгебра, 11 класс Учебник, авторы: Арефьева Ирина Глебовна, Пирютко Ольга Николаевна, издательство Народная асвета, Минск, 2020, бирюзового цвета, страница 257, номер 10, Решение
Решение 2. №10 (с. 257)

Исходное уравнение:

$ \sqrt{2\lg(-x)} = \lg\sqrt{x^2} $

1. Найдём область допустимых значений (ОДЗ).

Для того чтобы уравнение имело смысл, должны выполняться следующие условия:

а) Выражения под знаком логарифма должны быть строго положительными. Из $ \lg(-x) $ следует, что $ -x > 0 $, то есть $ x < 0 $. Из $ \lg\sqrt{x^2} $ следует, что $ \sqrt{x^2} > 0 $. Поскольку $ \sqrt{x^2} = |x| $, то $ |x| > 0 $, что верно для всех $ x \neq 0 $.

б) Выражение под знаком квадратного корня должно быть неотрицательным. Из $ \sqrt{2\lg(-x)} $ следует, что $ 2\lg(-x) \geq 0 $, что эквивалентно $ \lg(-x) \geq 0 $.

в) Решим неравенство $ \lg(-x) \geq 0 $. Используя свойство логарифма (основание 10 > 1), получаем:

$ -x \geq 10^0 $

$ -x \geq 1 $

$ x \leq -1 $

Объединяя все условия ($ x < 0 $, $ x \neq 0 $ и $ x \leq -1 $), получаем окончательную ОДЗ: $ x \in (-\infty, -1] $.

2. Упростим и решим уравнение.

Используем свойство $ \sqrt{x^2} = |x| $. Так как из ОДЗ следует, что $ x < 0 $, то $ |x| = -x $. Подставим это в исходное уравнение:

$ \sqrt{2\lg(-x)} = \lg(-x) $

Сделаем замену переменной. Пусть $ t = \lg(-x) $. Уравнение примет вид:

$ \sqrt{2t} = t $

Правая часть уравнения $ t $ должна быть неотрицательной, так как она равна значению арифметического квадратного корня, то есть $ t \ge 0 $. Это условие совпадает с ранее полученным $ \lg(-x) \ge 0 $.

Возведём обе части уравнения в квадрат, чтобы избавиться от корня:

$ (\sqrt{2t})^2 = t^2 $

$ 2t = t^2 $

Перенесём все члены в одну сторону:

$ t^2 - 2t = 0 $

Вынесем общий множитель $t$:

$ t(t - 2) = 0 $

Это уравнение имеет два решения: $ t_1 = 0 $ и $ t_2 = 2 $. Оба решения удовлетворяют условию $ t \ge 0 $.

3. Выполним обратную замену и найдём корни $x$.

Подставим найденные значения $t$ обратно в $ t = \lg(-x) $.

а) При $ t_1 = 0 $:

$ \lg(-x) = 0 $

$ -x = 10^0 $

$ -x = 1 $

$ x_1 = -1 $

б) При $ t_2 = 2 $:

$ \lg(-x) = 2 $

$ -x = 10^2 $

$ -x = 100 $

$ x_2 = -100 $

4. Проверим, принадлежат ли корни ОДЗ.

ОДЗ уравнения: $ x \leq -1 $.

Корень $ x_1 = -1 $ удовлетворяет ОДЗ, так как $ -1 \leq -1 $.

Корень $ x_2 = -100 $ удовлетворяет ОДЗ, так как $ -100 \leq -1 $.

Оба корня являются решениями уравнения.

5. Найдём сумму корней.

Сумма найденных корней равна:

$ x_1 + x_2 = -1 + (-100) = -101 $

Ответ: -101

Помогло решение? Оставьте отзыв в комментариях ниже.

Присоединяйтесь к Телеграм-группе @gdz_by_belarus

Присоединиться

Мы подготовили для вас ответ c подробным объяснением домашего задания по алгебре за 11 класс, для упражнения номер 10 расположенного на странице 257 к учебнику 2020 года издания для учащихся школ и гимназий.

Теперь на нашем сайте ГДЗ.ТОП вы всегда легко и бесплатно найдёте условие с правильным ответом на вопрос «Как решить ДЗ» и «Как сделать» задание по алгебре к упражнению №10 (с. 257), авторов: Арефьева (Ирина Глебовна), Пирютко (Ольга Николаевна), учебного пособия издательства Народная асвета.