Номер 38.15, страница 193 - гдз по алгебре 7-9 класс сборник задач Арефьева, Пирютко

Алгебра, 7-9 класс Сборник задач, авторы: Арефьева Ирина Глебовна, Пирютко Ольга Николаевна, издательство Народная асвета, Минск, 2020

Авторы: Арефьева И. Г., Пирютко О. Н.

Тип: Сборник задач

Издательство: Народная асвета

Год издания: 2020 - 2025

Цвет обложки: синий с графиками

Допущено Министерством образования Республики Беларусь

Популярные ГДЗ в 7 классе

9 класс. Параграф 38. Дробно-рациональные неравенства. Метод интервалов для решения рациональных неравенств - номер 38.15, страница 193.

№38.15 (с. 193)
Условие. №38.15 (с. 193)
скриншот условия
Алгебра, 7-9 класс Сборник задач, авторы: Арефьева Ирина Глебовна, Пирютко Ольга Николаевна, издательство Народная асвета, Минск, 2020, страница 193, номер 38.15, Условие

38.15. Найдите область определения функции:

а) $y = \sqrt{(x^2 - 5x + 4)(x - 1)};$

б) $y = \sqrt{(x^2 - 6x + 8)(4 - x^2)};$

в) $y = \sqrt{\frac{x^2 - 2x - 3}{x^2 - 9}};$

г) $y = \sqrt{\frac{x^2 - 7x + 6}{x^2 - 8x + 12}}.$

Решение. №38.15 (с. 193)
Алгебра, 7-9 класс Сборник задач, авторы: Арефьева Ирина Глебовна, Пирютко Ольга Николаевна, издательство Народная асвета, Минск, 2020, страница 193, номер 38.15, Решение Алгебра, 7-9 класс Сборник задач, авторы: Арефьева Ирина Глебовна, Пирютко Ольга Николаевна, издательство Народная асвета, Минск, 2020, страница 193, номер 38.15, Решение (продолжение 2) Алгебра, 7-9 класс Сборник задач, авторы: Арефьева Ирина Глебовна, Пирютко Ольга Николаевна, издательство Народная асвета, Минск, 2020, страница 193, номер 38.15, Решение (продолжение 3) Алгебра, 7-9 класс Сборник задач, авторы: Арефьева Ирина Глебовна, Пирютко Ольга Николаевна, издательство Народная асвета, Минск, 2020, страница 193, номер 38.15, Решение (продолжение 4)
Решение 2. №38.15 (с. 193)

а) Область определения функции $y = \sqrt{(x^2 - 5x + 4)(x - 1)}$ находится из условия, что подкоренное выражение должно быть неотрицательным:

$(x^2 - 5x + 4)(x - 1) \geq 0$

Разложим квадратный трехчлен $x^2 - 5x + 4$ на множители. Найдем его корни, решив уравнение $x^2 - 5x + 4 = 0$. По теореме Виета, сумма корней равна 5, а произведение равно 4. Корни: $x_1 = 1, x_2 = 4$.

Таким образом, $x^2 - 5x + 4 = (x - 1)(x - 4)$.

Подставим разложение в неравенство:

$(x - 1)(x - 4)(x - 1) \geq 0$

$(x - 1)^2(x - 4) \geq 0$

Множитель $(x - 1)^2$ всегда неотрицателен (т.е. $\geq 0$).

1. Если $x = 1$, то $(1 - 1)^2(1 - 4) = 0 \cdot (-3) = 0$. Неравенство $0 \geq 0$ выполняется, значит, $x = 1$ является решением.

2. Если $x \neq 1$, то $(x - 1)^2 > 0$. Можно разделить обе части неравенства на $(x - 1)^2$, не меняя знака:

$x - 4 \geq 0$

$x \geq 4$

Объединяя оба случая, получаем, что область определения функции состоит из точки $x=1$ и промежутка $[4, +\infty)$.

Ответ: $x \in \{1\} \cup [4, +\infty)$.

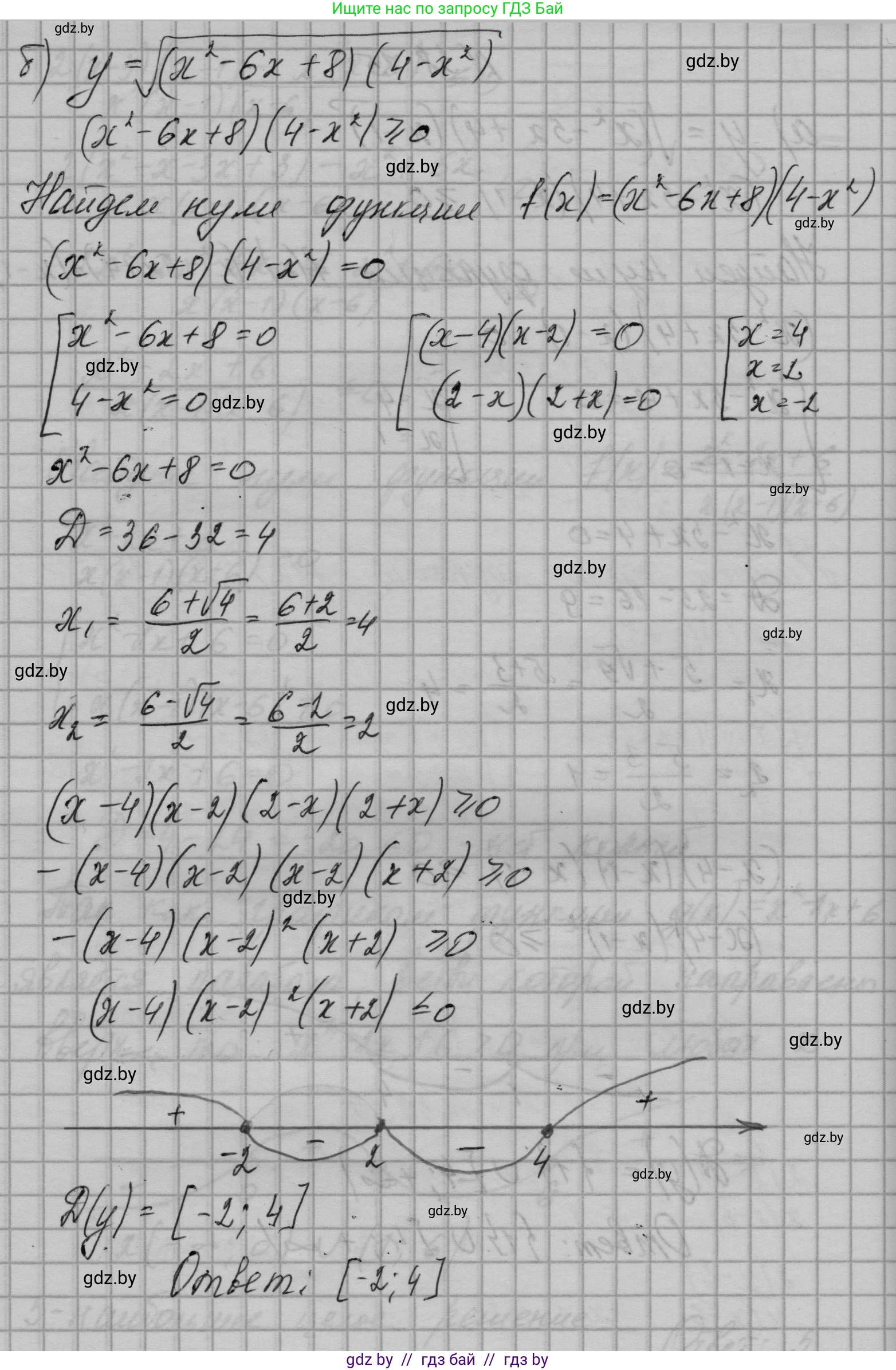
б) Область определения функции $y = \sqrt{(x^2 - 6x + 8)(4 - x^2)}$ находится из условия:

$(x^2 - 6x + 8)(4 - x^2) \geq 0$

Разложим на множители каждую скобку.

Для $x^2 - 6x + 8 = 0$, по теореме Виета, корни $x_1 = 2, x_2 = 4$. Значит, $x^2 - 6x + 8 = (x - 2)(x - 4)$.

Для $4 - x^2$, используя формулу разности квадратов, получаем $4 - x^2 = (2 - x)(2 + x)$.

Подставим в неравенство:

$(x - 2)(x - 4)(2 - x)(2 + x) \geq 0$

Заметим, что $(2 - x) = -(x - 2)$. Перепишем неравенство:

$(x - 2)(x - 4)(-(x - 2))(x + 2) \geq 0$

$-(x - 2)^2(x - 4)(x + 2) \geq 0$

Умножим обе части на -1, изменив знак неравенства на противоположный:

$(x - 2)^2(x - 4)(x + 2) \leq 0$

Множитель $(x - 2)^2$ всегда неотрицателен.

1. Если $x = 2$, то $(2 - 2)^2(2 - 4)(2 + 2) = 0$. Неравенство $0 \leq 0$ выполняется, значит, $x = 2$ является решением.

2. Если $x \neq 2$, то $(x - 2)^2 > 0$. Разделим неравенство на этот множитель:

$(x - 4)(x + 2) \leq 0$

Решим это неравенство методом интервалов. Корни: $x = -2$ и $x = 4$. Отметим их на числовой оси. Ветви параболы $f(x) = (x - 4)(x + 2)$ направлены вверх, значит, значения $f(x) \leq 0$ находятся между корнями.

Получаем $-2 \leq x \leq 4$.

Объединяя оба случая, получаем, что решение - это отрезок $[-2, 4]$, так как точка $x=2$ уже входит в этот отрезок.

Ответ: $x \in [-2, 4]$.

в) Область определения функции $y = \sqrt{\frac{x^2 - 2x - 3}{x^2 - 9}}$ определяется системой неравенств:

$\begin{cases} \frac{x^2 - 2x - 3}{x^2 - 9} \geq 0 \\ x^2 - 9 \neq 0 \end{cases}$

Разложим числитель и знаменатель на множители.

Числитель: $x^2 - 2x - 3 = 0$. Корни: $x_1 = 3, x_2 = -1$. Значит, $x^2 - 2x - 3 = (x - 3)(x + 1)$.

Знаменатель: $x^2 - 9 = (x - 3)(x + 3)$.

Подставим в неравенство:

$\frac{(x - 3)(x + 1)}{(x - 3)(x + 3)} \geq 0$

Условие $x^2 - 9 \neq 0$ дает $x \neq 3$ и $x \neq -3$.

Решим неравенство методом интервалов. Корни числителя: $x=-1, x=3$. Корни знаменателя: $x=-3, x=3$. Отметим на числовой оси точки -3, -1, 3. Точка -1 будет закрашенной (нестрогое неравенство), точки -3 и 3 - выколотыми (знаменатель не может быть равен нулю).

Проверим знаки на интервалах:

  • $(3, +\infty)$: $\frac{(+)(+)}{(+)(+)} > 0$. Подходит.
  • $(-1, 3)$: $\frac{(-)(+)}{(-)(+)} > 0$. Подходит.
  • $(-3, -1)$: $\frac{(-)(-)}{(-)(+)} < 0$. Не подходит.
  • $(-\infty, -3)$: $\frac{(-)(-)}{(-)(-)} > 0$. Подходит.

Объединяя подходящие интервалы и учитывая, что точка $x=-1$ является решением ($0 \geq 0$), а точки $x=3$ и $x=-3$ - нет, получаем:

Ответ: $x \in (-\infty, -3) \cup [-1, 3) \cup (3, +\infty)$.

г) Область определения функции $y = \sqrt{\frac{x^2 - 7x + 6}{x^2 - 8x + 12}}$ определяется системой:

$\begin{cases} \frac{x^2 - 7x + 6}{x^2 - 8x + 12} \geq 0 \\ x^2 - 8x + 12 \neq 0 \end{cases}$

Разложим числитель и знаменатель на множители.

Числитель: $x^2 - 7x + 6 = 0$. Корни: $x_1 = 1, x_2 = 6$. Значит, $x^2 - 7x + 6 = (x - 1)(x - 6)$.

Знаменатель: $x^2 - 8x + 12 = 0$. Корни: $x_1 = 2, x_2 = 6$. Значит, $x^2 - 8x + 12 = (x - 2)(x - 6)$.

Подставим в неравенство:

$\frac{(x - 1)(x - 6)}{(x - 2)(x - 6)} \geq 0$

Условие $x^2 - 8x + 12 \neq 0$ дает $x \neq 2$ и $x \neq 6$.

Так как $x \neq 6$, мы можем сократить дробь на $(x - 6)$:

$\frac{x - 1}{x - 2} \geq 0$

Решим методом интервалов. Нули числителя: $x = 1$. Нули знаменателя: $x = 2$.

Отметим точки 1 и 2 на числовой оси. Точка 1 будет закрашенной, точка 2 - выколотой.

Интервалы знакопостоянства:

  • При $x > 2$, выражение положительно.
  • При $1 < x < 2$, выражение отрицательно.
  • При $x < 1$, выражение положительно.

Решение неравенства: $x \in (-\infty, 1] \cup (2, +\infty)$.

Теперь учтем первоначальное ограничение $x \neq 6$. Точка $x=6$ входит в промежуток $(2, +\infty)$, поэтому ее нужно исключить.

Окончательное решение: $(-\infty, 1] \cup (2, 6) \cup (6, +\infty)$.

Ответ: $x \in (-\infty, 1] \cup (2, 6) \cup (6, +\infty)$.

Помогло решение? Оставьте отзыв в комментариях ниже.

Присоединяйтесь к Телеграм-группе @gdz_by_belarus

Присоединиться

Мы подготовили для вас ответ c подробным объяснением домашего задания по алгебре за 7-9 класс, для упражнения номер 38.15 расположенного на странице 193 к сборнику задач 2020 года издания для учащихся школ и гимназий.

Теперь на нашем сайте ГДЗ.ТОП вы всегда легко и бесплатно найдёте условие с правильным ответом на вопрос «Как решить ДЗ» и «Как сделать» задание по алгебре к упражнению №38.15 (с. 193), авторов: Арефьева (Ирина Глебовна), Пирютко (Ольга Николаевна), учебного пособия издательства Народная асвета.