Номер 38.19, страница 193 - гдз по алгебре 7-9 класс сборник задач Арефьева, Пирютко

Алгебра, 7-9 класс Сборник задач, авторы: Арефьева Ирина Глебовна, Пирютко Ольга Николаевна, издательство Народная асвета, Минск, 2020

Авторы: Арефьева И. Г., Пирютко О. Н.

Тип: Сборник задач

Издательство: Народная асвета

Год издания: 2020 - 2025

Цвет обложки: синий с графиками

Допущено Министерством образования Республики Беларусь

Популярные ГДЗ в 7 классе

9 класс. Параграф 38. Дробно-рациональные неравенства. Метод интервалов для решения рациональных неравенств - номер 38.19, страница 193.

№38.19 (с. 193)
Условие. №38.19 (с. 193)
скриншот условия
Алгебра, 7-9 класс Сборник задач, авторы: Арефьева Ирина Глебовна, Пирютко Ольга Николаевна, издательство Народная асвета, Минск, 2020, страница 193, номер 38.19, Условие

38.19. Решите неравенство:

a) $ \frac{2x^2 + 12x + 17}{x^2 + 4x} \ge \frac{x + 2}{x}; $

б) $ \frac{4}{(3x + 4)^2} - \frac{16}{3x + 4} + 15 < 0. $

Решение. №38.19 (с. 193)
Алгебра, 7-9 класс Сборник задач, авторы: Арефьева Ирина Глебовна, Пирютко Ольга Николаевна, издательство Народная асвета, Минск, 2020, страница 193, номер 38.19, Решение Алгебра, 7-9 класс Сборник задач, авторы: Арефьева Ирина Глебовна, Пирютко Ольга Николаевна, издательство Народная асвета, Минск, 2020, страница 193, номер 38.19, Решение (продолжение 2) Алгебра, 7-9 класс Сборник задач, авторы: Арефьева Ирина Глебовна, Пирютко Ольга Николаевна, издательство Народная асвета, Минск, 2020, страница 193, номер 38.19, Решение (продолжение 3)
Решение 2. №38.19 (с. 193)

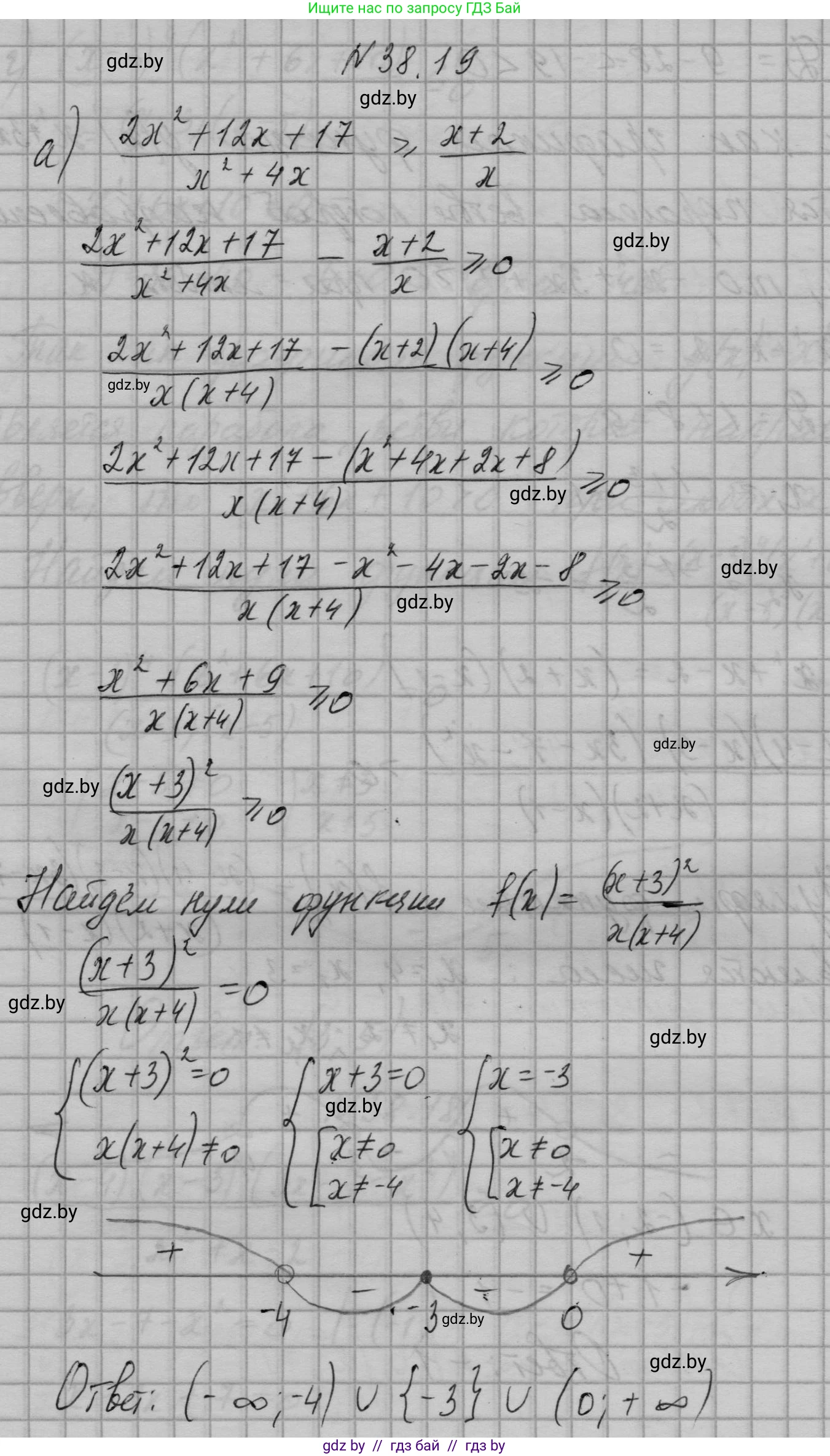
а)

Исходное неравенство:

$$ \frac{2x^2 + 12x + 17}{x^2 + 4x} \ge \frac{x + 2}{x} $$

Сначала определим область допустимых значений (ОДЗ). Знаменатели дробей не должны обращаться в нуль:

$x^2 + 4x \ne 0 \Rightarrow x(x+4) \ne 0 \Rightarrow x \ne 0$ и $x \ne -4$.

Таким образом, ОДЗ: $x \in (-\infty; -4) \cup (-4; 0) \cup (0; +\infty)$.

Перенесем все слагаемые в левую часть неравенства и приведем их к общему знаменателю:

$$ \frac{2x^2 + 12x + 17}{x(x+4)} - \frac{x + 2}{x} \ge 0 $$

$$ \frac{2x^2 + 12x + 17 - (x+2)(x+4)}{x(x+4)} \ge 0 $$

Раскроем скобки в числителе и приведем подобные слагаемые:

$$ \frac{2x^2 + 12x + 17 - (x^2 + 6x + 8)}{x(x+4)} \ge 0 $$

$$ \frac{2x^2 + 12x + 17 - x^2 - 6x - 8}{x(x+4)} \ge 0 $$

$$ \frac{x^2 + 6x + 9}{x(x+4)} \ge 0 $$

Заметим, что числитель является полным квадратом:

$$ \frac{(x+3)^2}{x(x+4)} \ge 0 $$

Для решения этого неравенства воспользуемся методом интервалов. Найдем нули числителя и знаменателя.

Нуль числителя: $(x+3)^2 = 0 \Rightarrow x = -3$. Так как неравенство нестрогое ($\ge$), эта точка является решением. Следует отметить, что это корень четной кратности (2), поэтому при переходе через эту точку знак выражения на числовой прямой меняться не будет.

Нули знаменателя: $x(x+4) = 0 \Rightarrow x = 0$ и $x = -4$. Эти точки не входят в ОДЗ, поэтому они будут выколотыми на числовой прямой.

Расположим точки на числовой оси в порядке возрастания: -4, -3, 0. Определим знак выражения на каждом из полученных интервалов.

  • При $x > 0$ (например, $x=1$): $\frac{(1+3)^2}{1(1+4)} = \frac{16}{5} > 0$. Знак "+".
  • При переходе через $x=0$ (корень нечетной кратности) знак меняется: $(-3, 0)$ — знак "-".
  • При переходе через $x=-3$ (корень четной кратности) знак не меняется: $(-4, -3)$ — знак "-".
  • При переходе через $x=-4$ (корень нечетной кратности) знак меняется: $(-\infty, -4)$ — знак "+".

Нам нужно, чтобы выражение было больше или равно нулю. Это соответствует интервалам со знаком "+" и точке, где выражение равно нулю.

Таким образом, решением являются интервалы $(-\infty; -4)$ и $(0; +\infty)$, а также точка $x=-3$.

Ответ: $x \in (-\infty; -4) \cup \{-3\} \cup (0; +\infty)$.

б)

Исходное неравенство:

$$ \frac{4}{(3x+4)^2} - \frac{16}{3x+4} + 15 < 0 $$

ОДЗ: знаменатель не должен быть равен нулю, т.е. $3x+4 \ne 0$, откуда $x \ne -\frac{4}{3}$.

Это неравенство является квадратным относительно выражения $\frac{1}{3x+4}$. Сделаем замену переменной: пусть $t = \frac{1}{3x+4}$.

Неравенство принимает вид:

$$ 4t^2 - 16t + 15 < 0 $$

Найдем корни квадратного трехчлена $4t^2 - 16t + 15 = 0$.

Дискриминант $D = (-16)^2 - 4 \cdot 4 \cdot 15 = 256 - 240 = 16 = 4^2$.

Корни уравнения:

$t_1 = \frac{16 - 4}{2 \cdot 4} = \frac{12}{8} = \frac{3}{2}$

$t_2 = \frac{16 + 4}{2 \cdot 4} = \frac{20}{8} = \frac{5}{2}$

Так как ветви параболы $y = 4t^2 - 16t + 15$ направлены вверх, неравенство $4t^2 - 16t + 15 < 0$ выполняется, когда $t$ находится между корнями:

$$ \frac{3}{2} < t < \frac{5}{2} $$

Произведем обратную замену:

$$ \frac{3}{2} < \frac{1}{3x+4} < \frac{5}{2} $$

Это двойное неравенство эквивалентно системе двух неравенств:

$$ \begin{cases} \frac{1}{3x+4} > \frac{3}{2} \\ \frac{1}{3x+4} < \frac{5}{2} \end{cases} $$

Решим первое неравенство системы:

$\frac{1}{3x+4} - \frac{3}{2} > 0 \Rightarrow \frac{2 - 3(3x+4)}{2(3x+4)} > 0 \Rightarrow \frac{2 - 9x - 12}{2(3x+4)} > 0 \Rightarrow \frac{-9x - 10}{2(3x+4)} > 0$.

Умножим на -1, изменив знак неравенства: $\frac{9x + 10}{3x+4} < 0$. Корни числителя и знаменателя: $x = -10/9$ и $x = -4/3$. Методом интервалов получаем решение: $x \in (-\frac{4}{3}; -\frac{10}{9})$.

Решим второе неравенство системы:

$\frac{1}{3x+4} - \frac{5}{2} < 0 \Rightarrow \frac{2 - 5(3x+4)}{2(3x+4)} < 0 \Rightarrow \frac{2 - 15x - 20}{2(3x+4)} < 0 \Rightarrow \frac{-15x - 18}{2(3x+4)} < 0$.

Умножим на -1, изменив знак неравенства: $\frac{15x + 18}{3x+4} > 0 \Rightarrow \frac{3(5x+6)}{3x+4} > 0$. Корни числителя и знаменателя: $x = -6/5$ и $x = -4/3$. Методом интервалов получаем решение: $x \in (-\infty; -\frac{4}{3}) \cup (-\frac{6}{5}; +\infty)$.

Найдем пересечение решений обоих неравенств. Сравним граничные точки: $-\frac{4}{3} \approx -1.333...$; $-\frac{6}{5} = -1.2$; $-\frac{10}{9} \approx -1.111...$. Таким образом, $-\frac{4}{3} < -\frac{6}{5} < -\frac{10}{9}$.

Пересечение множеств $x \in (-\frac{4}{3}; -\frac{10}{9})$ и $x \in ((-\infty; -\frac{4}{3}) \cup (-\frac{6}{5}; +\infty))$ дает нам итоговый интервал.

Искомое решение: $x \in (-\frac{6}{5}; -\frac{10}{9})$.

Ответ: $x \in (-\frac{6}{5}; -\frac{10}{9})$.

Помогло решение? Оставьте отзыв в комментариях ниже.

Присоединяйтесь к Телеграм-группе @gdz_by_belarus

Присоединиться

Мы подготовили для вас ответ c подробным объяснением домашего задания по алгебре за 7-9 класс, для упражнения номер 38.19 расположенного на странице 193 к сборнику задач 2020 года издания для учащихся школ и гимназий.

Теперь на нашем сайте ГДЗ.ТОП вы всегда легко и бесплатно найдёте условие с правильным ответом на вопрос «Как решить ДЗ» и «Как сделать» задание по алгебре к упражнению №38.19 (с. 193), авторов: Арефьева (Ирина Глебовна), Пирютко (Ольга Николаевна), учебного пособия издательства Народная асвета.