Номер 12.32, страница 52 - гдз по алгебре 7-9 класс сборник задач Арефьева, Пирютко

Алгебра, 7-9 класс Сборник задач, авторы: Арефьева Ирина Глебовна, Пирютко Ольга Николаевна, издательство Народная асвета, Минск, 2020

Авторы: Арефьева И. Г., Пирютко О. Н.

Тип: Сборник задач

Издательство: Народная асвета

Год издания: 2020 - 2025

Цвет обложки: синий с графиками

Допущено Министерством образования Республики Беларусь

Популярные ГДЗ в 7 классе

7 класс. Параграф 12. Формулы сокращенного умножения - номер 12.32, страница 52.

№12.32 (с. 52)
Условие. №12.32 (с. 52)
скриншот условия
Алгебра, 7-9 класс Сборник задач, авторы: Арефьева Ирина Глебовна, Пирютко Ольга Николаевна, издательство Народная асвета, Минск, 2020, страница 52, номер 12.32, Условие

12.32. Представьте в виде произведения выражение:

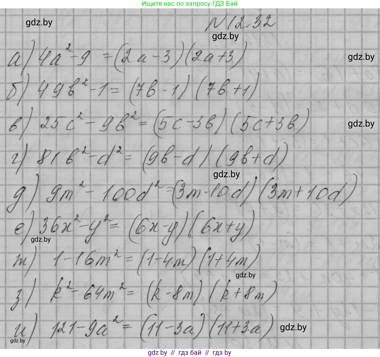
а) $4a^2 - 9;$

б) $49b^2 - 1;$

в) $25c^2 - 9b^2;$

г) $81b^2 - d^2;$

д) $9m^2 - 100d^2;$

е) $36x^2 - y^2;$

ж) $1 - 16m^2;$

з) $k^2 - 64m^2;$

и) $121 - 9a^2.$

Решение. №12.32 (с. 52)
Алгебра, 7-9 класс Сборник задач, авторы: Арефьева Ирина Глебовна, Пирютко Ольга Николаевна, издательство Народная асвета, Минск, 2020, страница 52, номер 12.32, Решение
Решение 2. №12.32 (с. 52)

Для решения всех примеров используется формула сокращенного умножения, а именно формула разности квадратов: $x^2 - y^2 = (x - y)(x + y)$.

а) Представим выражение $4a^2 - 9$ в виде разности квадратов. Для этого заметим, что $4a^2$ является квадратом выражения $2a$, так как $(2a)^2 = 2^2 \cdot a^2 = 4a^2$. Число $9$ является квадратом числа $3$, так как $3^2=9$.
Таким образом, исходное выражение можно переписать в виде:$4a^2 - 9 = (2a)^2 - 3^2$.
Теперь применим формулу разности квадратов, где $x = 2a$ и $y = 3$:$(2a)^2 - 3^2 = (2a - 3)(2a + 3)$.
Ответ: $(2a - 3)(2a + 3)$.

б) Представим выражение $49b^2 - 1$ в виде разности квадратов. $49b^2$ это квадрат выражения $7b$, а $1$ это квадрат $1$.
$49b^2 - 1 = (7b)^2 - 1^2$.
Применим формулу разности квадратов, где $x = 7b$ и $y = 1$:$(7b)^2 - 1^2 = (7b - 1)(7b + 1)$.
Ответ: $(7b - 1)(7b + 1)$.

в) Представим выражение $25c^2 - 9b^2$ в виде разности квадратов. $25c^2$ это квадрат $5c$, а $9b^2$ это квадрат $3b$.
$25c^2 - 9b^2 = (5c)^2 - (3b)^2$.
Применим формулу разности квадратов, где $x = 5c$ и $y = 3b$:$(5c)^2 - (3b)^2 = (5c - 3b)(5c + 3b)$.
Ответ: $(5c - 3b)(5c + 3b)$.

г) Представим выражение $81b^2 - d^2$ в виде разности квадратов. $81b^2$ это квадрат $9b$, а $d^2$ это квадрат $d$.
$81b^2 - d^2 = (9b)^2 - d^2$.
Применим формулу разности квадратов, где $x = 9b$ и $y = d$:$(9b)^2 - d^2 = (9b - d)(9b + d)$.
Ответ: $(9b - d)(9b + d)$.

д) Представим выражение $9m^2 - 100d^2$ в виде разности квадратов. $9m^2$ это квадрат $3m$, а $100d^2$ это квадрат $10d$.
$9m^2 - 100d^2 = (3m)^2 - (10d)^2$.
Применим формулу разности квадратов, где $x = 3m$ и $y = 10d$:$(3m)^2 - (10d)^2 = (3m - 10d)(3m + 10d)$.
Ответ: $(3m - 10d)(3m + 10d)$.

е) Представим выражение $36x^2 - y^2$ в виде разности квадратов. $36x^2$ это квадрат $6x$, а $y^2$ это квадрат $y$.
$36x^2 - y^2 = (6x)^2 - y^2$.
Применим формулу разности квадратов, где $x = 6x$ и $y = y$:$(6x)^2 - y^2 = (6x - y)(6x + y)$.
Ответ: $(6x - y)(6x + y)$.

ж) Представим выражение $1 - 16m^2$ в виде разности квадратов. $1$ это квадрат $1$, а $16m^2$ это квадрат $4m$.
$1 - 16m^2 = 1^2 - (4m)^2$.
Применим формулу разности квадратов, где $x = 1$ и $y = 4m$:$1^2 - (4m)^2 = (1 - 4m)(1 + 4m)$.
Ответ: $(1 - 4m)(1 + 4m)$.

з) Представим выражение $k^2 - 64m^2$ в виде разности квадратов. $k^2$ это квадрат $k$, а $64m^2$ это квадрат $8m$.
$k^2 - 64m^2 = k^2 - (8m)^2$.
Применим формулу разности квадратов, где $x = k$ и $y = 8m$:$k^2 - (8m)^2 = (k - 8m)(k + 8m)$.
Ответ: $(k - 8m)(k + 8m)$.

и) Представим выражение $121 - 9a^2$ в виде разности квадратов. $121$ это квадрат $11$, а $9a^2$ это квадрат $3a$.
$121 - 9a^2 = 11^2 - (3a)^2$.
Применим формулу разности квадратов, где $x = 11$ и $y = 3a$:$11^2 - (3a)^2 = (11 - 3a)(11 + 3a)$.
Ответ: $(11 - 3a)(11 + 3a)$.

Помогло решение? Оставьте отзыв в комментариях ниже.

Присоединяйтесь к Телеграм-группе @gdz_by_belarus

Присоединиться

Мы подготовили для вас ответ c подробным объяснением домашего задания по алгебре за 7-9 класс, для упражнения номер 12.32 расположенного на странице 52 к сборнику задач 2020 года издания для учащихся школ и гимназий.

Теперь на нашем сайте ГДЗ.ТОП вы всегда легко и бесплатно найдёте условие с правильным ответом на вопрос «Как решить ДЗ» и «Как сделать» задание по алгебре к упражнению №12.32 (с. 52), авторов: Арефьева (Ирина Глебовна), Пирютко (Ольга Николаевна), учебного пособия издательства Народная асвета.