Номер 23.25, страница 108 - гдз по алгебре 7-9 класс сборник задач Арефьева, Пирютко
Авторы: Арефьева И. Г., Пирютко О. Н.
Тип: Сборник задач
Издательство: Народная асвета
Год издания: 2020 - 2025
Цвет обложки: синий с графиками
Допущено Министерством образования Республики Беларусь
Популярные ГДЗ в 7 классе
8 класс. Параграф 23. Применение свойств квадратных корней - номер 23.25, страница 108.
№23.25 (с. 108)
Условие. №23.25 (с. 108)
скриншот условия
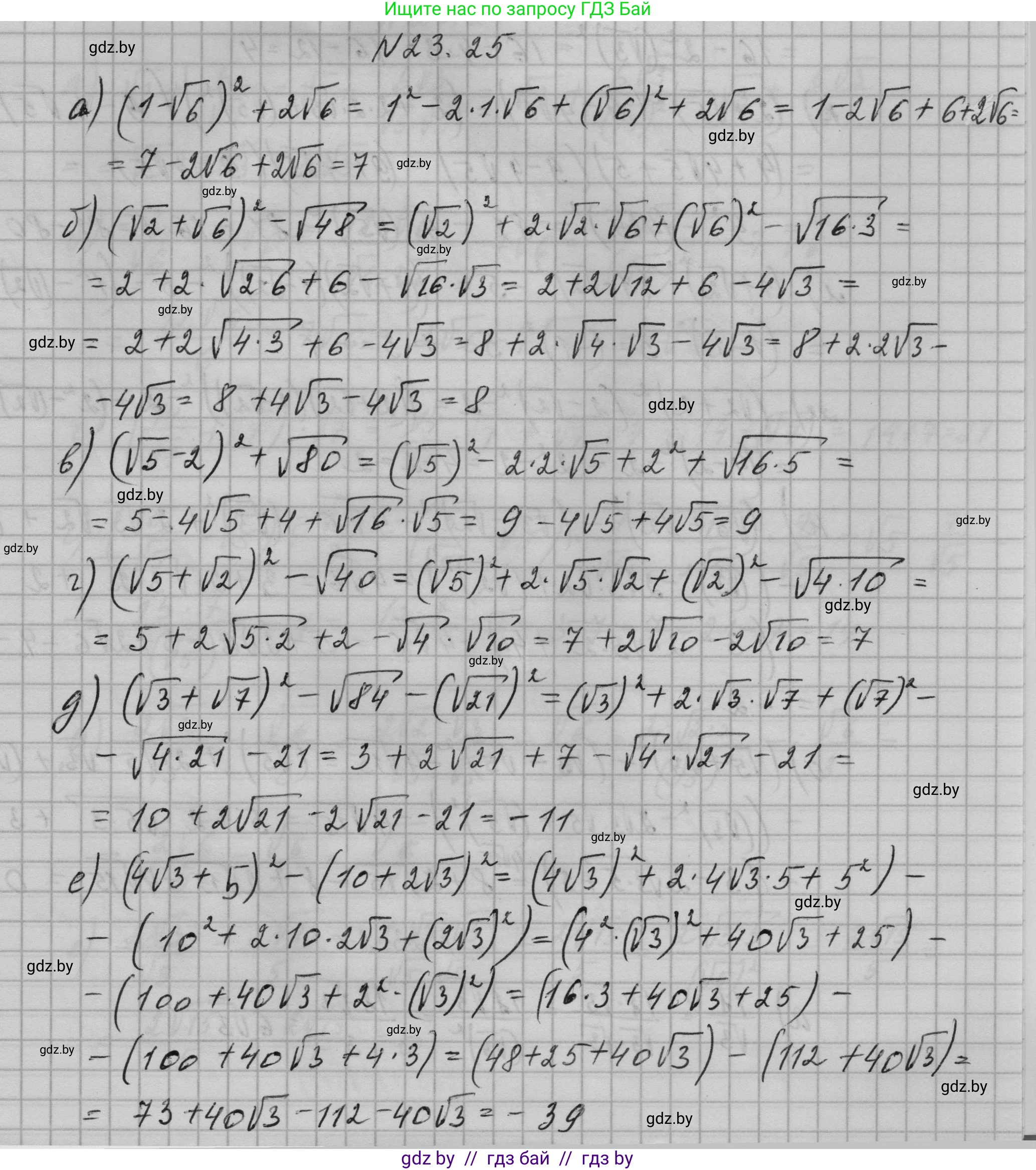
23.25. Найдите значение выражения:
а) $(1-\sqrt{6})^2 + 2\sqrt{6};$
б) $(\sqrt{2} + \sqrt{6})^2 - \sqrt{48};$
в) $(\sqrt{5} - 2)^2 + \sqrt{80};$
г) $(\sqrt{5} + \sqrt{2})^2 - \sqrt{40};$
д) $(\sqrt{3} + \sqrt{7})^2 - \sqrt{84} - (\sqrt{21})^2;
е) $(4\sqrt{3} + 5)^2 - (10 + 2\sqrt{3})^2;
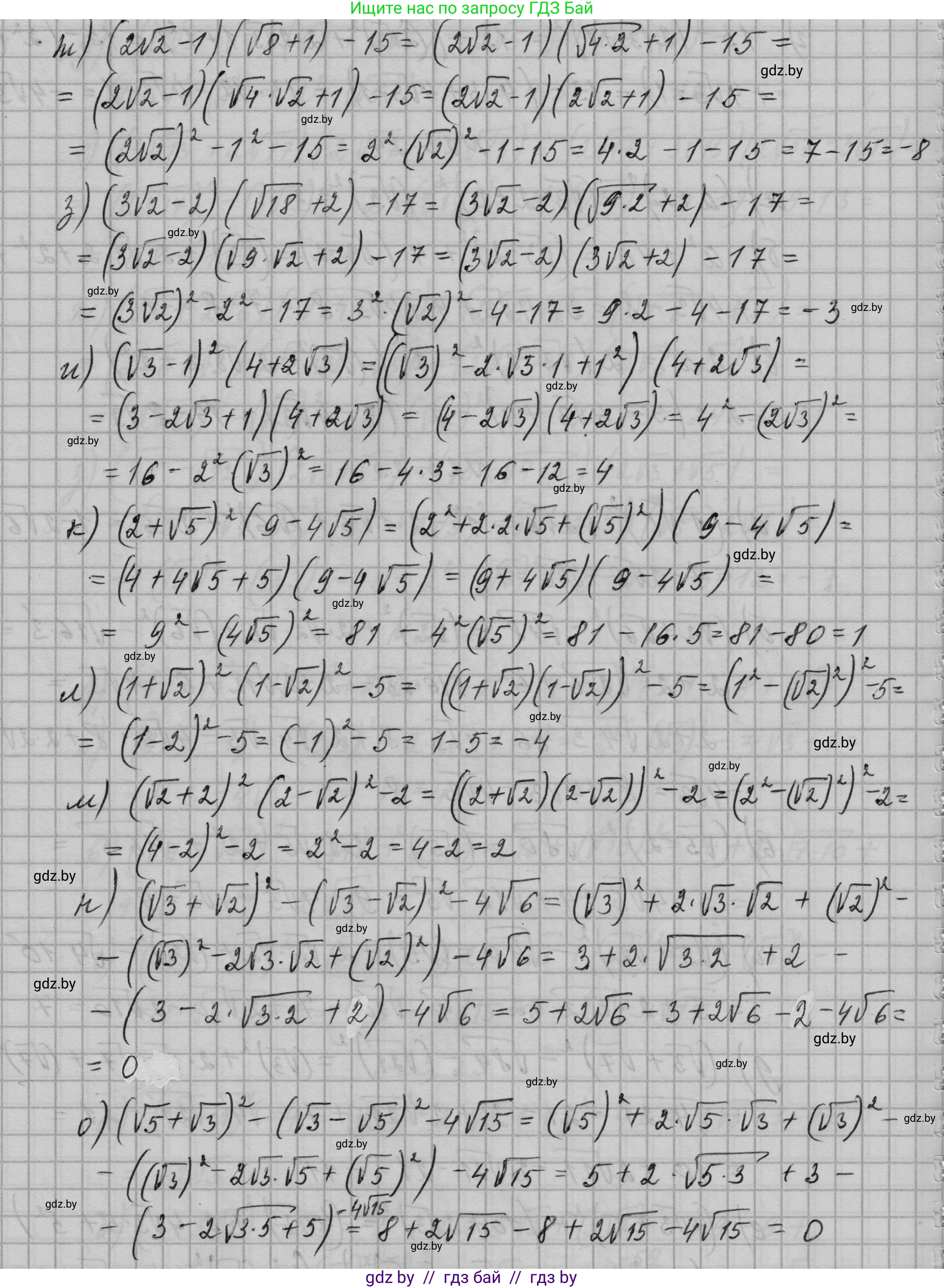
ж) $(2\sqrt{2} - 1)(\sqrt{8} + 1) - 15;
з) $(3\sqrt{2} - 2)(\sqrt{18} + 2) - 17;
и) $(\sqrt{3} - 1)^2 (4 + 2\sqrt{3});$
к) $(2 + \sqrt{5})^2 (9 - 4\sqrt{5});$
л) $(1 + \sqrt{2})^2 (1 - \sqrt{2})^2 - 5;
м) $(\sqrt{2} + 2)^2 (2 - \sqrt{2})^2 - 2;
н) $(\sqrt{3} + \sqrt{2})^2 - (\sqrt{3} - \sqrt{2})^2 - 4\sqrt{6};$
о) $(\sqrt{5} + \sqrt{3})^2 - (\sqrt{3} - \sqrt{5})^2 - 4\sqrt{15}.$
Решение. №23.25 (с. 108)
Решение 2. №23.25 (с. 108)
а)Для решения используем формулу квадрата разности $(a-b)^2 = a^2 - 2ab + b^2$.$(1-\sqrt{6})^2 + 2\sqrt{6} = (1^2 - 2 \cdot 1 \cdot \sqrt{6} + (\sqrt{6})^2) + 2\sqrt{6} = (1 - 2\sqrt{6} + 6) + 2\sqrt{6} = 7 - 2\sqrt{6} + 2\sqrt{6} = 7$. Ответ: 7
б)Используем формулу квадрата суммы $(a+b)^2 = a^2 + 2ab + b^2$ и упрощаем корень $\sqrt{48}$.$(\sqrt{2}+\sqrt{6})^2 - \sqrt{48} = ((\sqrt{2})^2 + 2\sqrt{2}\sqrt{6} + (\sqrt{6})^2) - \sqrt{16 \cdot 3} = (2 + 2\sqrt{12} + 6) - 4\sqrt{3} = 8 + 2\sqrt{4 \cdot 3} - 4\sqrt{3} = 8 + 2 \cdot 2\sqrt{3} - 4\sqrt{3} = 8 + 4\sqrt{3} - 4\sqrt{3} = 8$. Ответ: 8
в)Используем формулу квадрата разности $(a-b)^2 = a^2 - 2ab + b^2$ и упрощаем корень $\sqrt{80}$.$(\sqrt{5}-2)^2 + \sqrt{80} = ((\sqrt{5})^2 - 2 \cdot \sqrt{5} \cdot 2 + 2^2) + \sqrt{16 \cdot 5} = (5 - 4\sqrt{5} + 4) + 4\sqrt{5} = 9 - 4\sqrt{5} + 4\sqrt{5} = 9$. Ответ: 9
г)Используем формулу квадрата суммы $(a+b)^2 = a^2 + 2ab + b^2$ и упрощаем корень $\sqrt{40}$.$(\sqrt{5}+\sqrt{2})^2 - \sqrt{40} = ((\sqrt{5})^2 + 2\sqrt{5}\sqrt{2} + (\sqrt{2})^2) - \sqrt{4 \cdot 10} = (5 + 2\sqrt{10} + 2) - 2\sqrt{10} = 7 + 2\sqrt{10} - 2\sqrt{10} = 7$. Ответ: 7
д)Раскрываем скобки и упрощаем корни.$(\sqrt{3}+\sqrt{7})^2 - \sqrt{84} - (\sqrt{21})^2 = ((\sqrt{3})^2 + 2\sqrt{3}\sqrt{7} + (\sqrt{7})^2) - \sqrt{4 \cdot 21} - 21 = (3 + 2\sqrt{21} + 7) - 2\sqrt{21} - 21 = 10 + 2\sqrt{21} - 2\sqrt{21} - 21 = -11$. Ответ: -11
е)Применяем формулу разности квадратов $a^2 - b^2 = (a-b)(a+b)$.$(4\sqrt{3}+5)^2 - (10+2\sqrt{3})^2 = ((4\sqrt{3}+5) - (10+2\sqrt{3}))((4\sqrt{3}+5) + (10+2\sqrt{3})) = (4\sqrt{3}+5-10-2\sqrt{3})(4\sqrt{3}+5+10+2\sqrt{3}) = (2\sqrt{3}-5)(6\sqrt{3}+15)$. Вынесем общий множитель 3 из второй скобки: $(2\sqrt{3}-5) \cdot 3(2\sqrt{3}+5) = 3(2\sqrt{3}-5)(2\sqrt{3}+5)$. Снова применяем формулу разности квадратов: $3((2\sqrt{3})^2 - 5^2) = 3(4 \cdot 3 - 25) = 3(12-25) = 3(-13) = -39$. Ответ: -39
ж)Упрощаем $\sqrt{8} = \sqrt{4 \cdot 2} = 2\sqrt{2}$ и применяем формулу разности квадратов.$(2\sqrt{2}-1)(\sqrt{8}+1)-15 = (2\sqrt{2}-1)(2\sqrt{2}+1)-15 = ((2\sqrt{2})^2 - 1^2) - 15 = (4 \cdot 2 - 1) - 15 = (8-1) - 15 = 7 - 15 = -8$. Ответ: -8
з)Упрощаем $\sqrt{18} = \sqrt{9 \cdot 2} = 3\sqrt{2}$ и применяем формулу разности квадратов.$(3\sqrt{2}-2)(\sqrt{18}+2)-17 = (3\sqrt{2}-2)(3\sqrt{2}+2)-17 = ((3\sqrt{2})^2 - 2^2) - 17 = (9 \cdot 2 - 4) - 17 = (18-4) - 17 = 14 - 17 = -3$. Ответ: -3
и)Раскрываем квадрат разности, а затем применяем формулу разности квадратов.$(\sqrt{3}-1)^2(4+2\sqrt{3}) = ((\sqrt{3})^2 - 2\sqrt{3} + 1^2)(4+2\sqrt{3}) = (3-2\sqrt{3}+1)(4+2\sqrt{3}) = (4-2\sqrt{3})(4+2\sqrt{3}) = 4^2 - (2\sqrt{3})^2 = 16 - 4 \cdot 3 = 16 - 12 = 4$. Ответ: 4
к)Раскрываем квадрат суммы, а затем применяем формулу разности квадратов.$(2+\sqrt{5})^2(9-4\sqrt{5}) = (2^2 + 2 \cdot 2\sqrt{5} + (\sqrt{5})^2)(9-4\sqrt{5}) = (4+4\sqrt{5}+5)(9-4\sqrt{5}) = (9+4\sqrt{5})(9-4\sqrt{5}) = 9^2 - (4\sqrt{5})^2 = 81 - 16 \cdot 5 = 81 - 80 = 1$. Ответ: 1
л)Используем свойство степеней $(ab)^n = a^n b^n$, а затем формулу разности квадратов.$(1+\sqrt{2})^2(1-\sqrt{2})^2 - 5 = ((1+\sqrt{2})(1-\sqrt{2}))^2 - 5 = (1^2 - (\sqrt{2})^2)^2 - 5 = (1-2)^2 - 5 = (-1)^2 - 5 = 1 - 5 = -4$. Ответ: -4
м)Используем свойство степеней $(ab)^n = a^n b^n$, а затем формулу разности квадратов.$(\sqrt{2}+2)^2(2-\sqrt{2})^2 - 2 = ((2+\sqrt{2})(2-\sqrt{2}))^2 - 2 = (2^2 - (\sqrt{2})^2)^2 - 2 = (4-2)^2 - 2 = 2^2 - 2 = 4 - 2 = 2$. Ответ: 2
н)Используем формулу разности квадратов $a^2-b^2 = (a-b)(a+b)$, где $a = \sqrt{3}+\sqrt{2}$ и $b = \sqrt{3}-\sqrt{2}$.$(\sqrt{3}+\sqrt{2})^2 - (\sqrt{3}-\sqrt{2})^2 - 4\sqrt{6} = ((\sqrt{3}+\sqrt{2}) - (\sqrt{3}-\sqrt{2}))((\sqrt{3}+\sqrt{2}) + (\sqrt{3}-\sqrt{2})) - 4\sqrt{6} = (\sqrt{3}+\sqrt{2}-\sqrt{3}+\sqrt{2})(\sqrt{3}+\sqrt{2}+\sqrt{3}-\sqrt{2}) - 4\sqrt{6} = (2\sqrt{2})(2\sqrt{3}) - 4\sqrt{6} = 4\sqrt{6} - 4\sqrt{6} = 0$. Ответ: 0
о)Заметим, что $(\sqrt{3}-\sqrt{5})^2 = (-1 \cdot (\sqrt{5}-\sqrt{3}))^2 = (\sqrt{5}-\sqrt{3})^2$. Выражение принимает вид $(\sqrt{5}+\sqrt{3})^2 - (\sqrt{5}-\sqrt{3})^2 - 4\sqrt{15}$. Используем тождество $(a+b)^2 - (a-b)^2 = 4ab$, где $a=\sqrt{5}$ и $b=\sqrt{3}$.$(\sqrt{5}+\sqrt{3})^2 - (\sqrt{5}-\sqrt{3})^2 - 4\sqrt{15} = 4\sqrt{5}\sqrt{3} - 4\sqrt{15} = 4\sqrt{15} - 4\sqrt{15} = 0$. Ответ: 0
Другие задания:
Помогло решение? Оставьте отзыв в комментариях ниже.
Присоединяйтесь к Телеграм-группе @gdz_by_belarus
ПрисоединитьсяМы подготовили для вас ответ c подробным объяснением домашего задания по алгебре за 7-9 класс, для упражнения номер 23.25 расположенного на странице 108 к сборнику задач 2020 года издания для учащихся школ и гимназий.
Теперь на нашем сайте ГДЗ.ТОП вы всегда легко и бесплатно найдёте условие с правильным ответом на вопрос «Как решить ДЗ» и «Как сделать» задание по алгебре к упражнению №23.25 (с. 108), авторов: Арефьева (Ирина Глебовна), Пирютко (Ольга Николаевна), учебного пособия издательства Народная асвета.