Номер 23.21, страница 107 - гдз по алгебре 7-9 класс сборник задач Арефьева, Пирютко
Авторы: Арефьева И. Г., Пирютко О. Н.
Тип: Сборник задач
Издательство: Народная асвета
Год издания: 2020 - 2025
Цвет обложки: синий с графиками
Допущено Министерством образования Республики Беларусь
Популярные ГДЗ в 7 классе
8 класс. Параграф 23. Применение свойств квадратных корней - номер 23.21, страница 107.
№23.21 (с. 107)
Условие. №23.21 (с. 107)
скриншот условия
23.21. Примените формулу разности квадратов и вычислите:
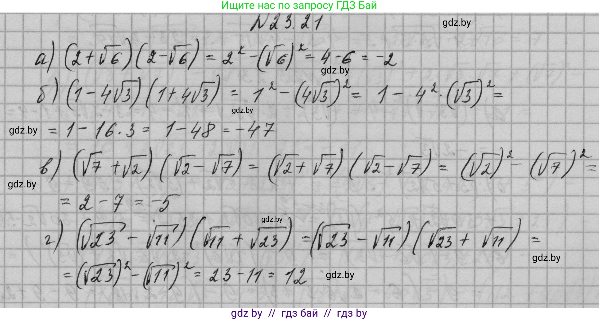
а) $(2 + \sqrt{6})(2 - \sqrt{6});$
б) $(1 - 4\sqrt{3})(1 + 4\sqrt{3});$
в) $(\sqrt{7} + \sqrt{2})(\sqrt{2} - \sqrt{7});$
г) $(\sqrt{23} - \sqrt{11})(\sqrt{11} + \sqrt{23});$
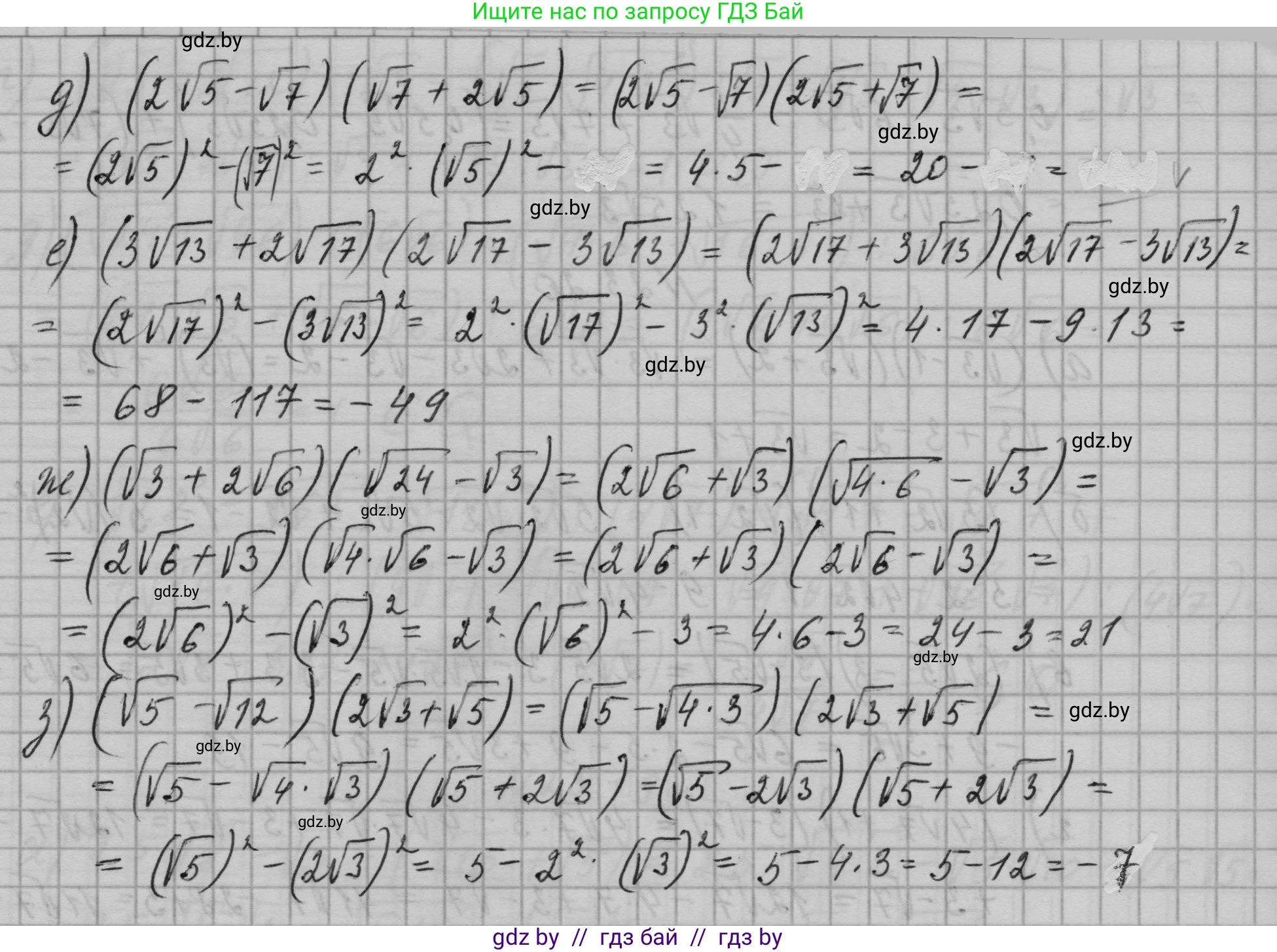
д) $(2\sqrt{5} - \sqrt{7})(\sqrt{7} + 2\sqrt{5});$
е) $(3\sqrt{13} + 2\sqrt{17})(2\sqrt{17} - 3\sqrt{13});$
ж) $(\sqrt{3} + 2\sqrt{6})(\sqrt{24} - \sqrt{3});$
з) $(\sqrt{5} - \sqrt{12})(2\sqrt{3} + \sqrt{5}).$
Решение. №23.21 (с. 107)
Решение 2. №23.21 (с. 107)
В данном задании используется формула разности квадратов: $(a-b)(a+b) = a^2 - b^2$.
а) Выражение $(2+\sqrt{6})(2-\sqrt{6})$ имеет вид $(a+b)(a-b)$, где $a=2$ и $b=\sqrt{6}$.
Применяем формулу разности квадратов:
$(2+\sqrt{6})(2-\sqrt{6}) = 2^2 - (\sqrt{6})^2 = 4 - 6 = -2$.
Ответ: -2.
б) Выражение $(1-4\sqrt{3})(1+4\sqrt{3})$ имеет вид $(a-b)(a+b)$, где $a=1$ и $b=4\sqrt{3}$.
Применяем формулу:
$(1-4\sqrt{3})(1+4\sqrt{3}) = 1^2 - (4\sqrt{3})^2 = 1 - (4^2 \cdot (\sqrt{3})^2) = 1 - (16 \cdot 3) = 1 - 48 = -47$.
Ответ: -47.
в) В выражении $(\sqrt{7}+\sqrt{2})(\sqrt{2}-\sqrt{7})$ поменяем местами слагаемые в первой скобке: $(\sqrt{2}+\sqrt{7})(\sqrt{2}-\sqrt{7})$.
Теперь выражение имеет вид $(a+b)(a-b)$, где $a=\sqrt{2}$ и $b=\sqrt{7}$.
Применяем формулу:
$(\sqrt{2}+\sqrt{7})(\sqrt{2}-\sqrt{7}) = (\sqrt{2})^2 - (\sqrt{7})^2 = 2 - 7 = -5$.
Ответ: -5.
г) В выражении $(\sqrt{23}-\sqrt{11})(\sqrt{11}+\sqrt{23})$ поменяем местами слагаемые во второй скобке: $(\sqrt{23}-\sqrt{11})(\sqrt{23}+\sqrt{11})$.
Теперь выражение имеет вид $(a-b)(a+b)$, где $a=\sqrt{23}$ и $b=\sqrt{11}$.
Применяем формулу:
$(\sqrt{23}-\sqrt{11})(\sqrt{23}+\sqrt{11}) = (\sqrt{23})^2 - (\sqrt{11})^2 = 23 - 11 = 12$.
Ответ: 12.
д) В выражении $(2\sqrt{5}-\sqrt{7})(\sqrt{7}+2\sqrt{5})$ поменяем местами слагаемые во второй скобке: $(2\sqrt{5}-\sqrt{7})(2\sqrt{5}+\sqrt{7})$.
Теперь выражение имеет вид $(a-b)(a+b)$, где $a=2\sqrt{5}$ и $b=\sqrt{7}$.
Применяем формулу:
$(2\sqrt{5}-\sqrt{7})(2\sqrt{5}+\sqrt{7}) = (2\sqrt{5})^2 - (\sqrt{7})^2 = (2^2 \cdot (\sqrt{5})^2) - 7 = (4 \cdot 5) - 7 = 20 - 7 = 13$.
Ответ: 13.
е) В выражении $(3\sqrt{13}+2\sqrt{17})(2\sqrt{17}-3\sqrt{13})$ поменяем местами слагаемые в первой скобке: $(2\sqrt{17}+3\sqrt{13})(2\sqrt{17}-3\sqrt{13})$.
Теперь выражение имеет вид $(a+b)(a-b)$, где $a=2\sqrt{17}$ и $b=3\sqrt{13}$.
Применяем формулу:
$(2\sqrt{17}+3\sqrt{13})(2\sqrt{17}-3\sqrt{13}) = (2\sqrt{17})^2 - (3\sqrt{13})^2 = (4 \cdot 17) - (9 \cdot 13) = 68 - 117 = -49$.
Ответ: -49.
ж) В выражении $(\sqrt{3}+2\sqrt{6})(\sqrt{24}-\sqrt{3})$ сначала упростим $\sqrt{24}$.
$\sqrt{24} = \sqrt{4 \cdot 6} = 2\sqrt{6}$.
Подставим в исходное выражение: $(\sqrt{3}+2\sqrt{6})(2\sqrt{6}-\sqrt{3})$.
Поменяем местами слагаемые в первой скобке: $(2\sqrt{6}+\sqrt{3})(2\sqrt{6}-\sqrt{3})$.
Теперь выражение имеет вид $(a+b)(a-b)$, где $a=2\sqrt{6}$ и $b=\sqrt{3}$.
Применяем формулу:
$(2\sqrt{6})^2 - (\sqrt{3})^2 = (4 \cdot 6) - 3 = 24 - 3 = 21$.
Ответ: 21.
з) В выражении $(\sqrt{5}-\sqrt{12})(2\sqrt{3}+\sqrt{5})$ сначала упростим $\sqrt{12}$.
$\sqrt{12} = \sqrt{4 \cdot 3} = 2\sqrt{3}$.
Подставим в исходное выражение: $(\sqrt{5}-2\sqrt{3})(2\sqrt{3}+\sqrt{5})$.
Поменяем местами слагаемые во второй скобке: $(\sqrt{5}-2\sqrt{3})(\sqrt{5}+2\sqrt{3})$.
Теперь выражение имеет вид $(a-b)(a+b)$, где $a=\sqrt{5}$ и $b=2\sqrt{3}$.
Применяем формулу:
$(\sqrt{5})^2 - (2\sqrt{3})^2 = 5 - (4 \cdot 3) = 5 - 12 = -7$.
Ответ: -7.
Другие задания:
Помогло решение? Оставьте отзыв в комментариях ниже.
Присоединяйтесь к Телеграм-группе @gdz_by_belarus
ПрисоединитьсяМы подготовили для вас ответ c подробным объяснением домашего задания по алгебре за 7-9 класс, для упражнения номер 23.21 расположенного на странице 107 к сборнику задач 2020 года издания для учащихся школ и гимназий.
Теперь на нашем сайте ГДЗ.ТОП вы всегда легко и бесплатно найдёте условие с правильным ответом на вопрос «Как решить ДЗ» и «Как сделать» задание по алгебре к упражнению №23.21 (с. 107), авторов: Арефьева (Ирина Глебовна), Пирютко (Ольга Николаевна), учебного пособия издательства Народная асвета.