Номер 23.14, страница 106 - гдз по алгебре 7-9 класс сборник задач Арефьева, Пирютко

Алгебра, 7-9 класс Сборник задач, авторы: Арефьева Ирина Глебовна, Пирютко Ольга Николаевна, издательство Народная асвета, Минск, 2020

Авторы: Арефьева И. Г., Пирютко О. Н.

Тип: Сборник задач

Издательство: Народная асвета

Год издания: 2020 - 2025

Цвет обложки: синий с графиками

Допущено Министерством образования Республики Беларусь

Популярные ГДЗ в 7 классе

8 класс. Параграф 23. Применение свойств квадратных корней - номер 23.14, страница 106.

№23.14 (с. 106)
Условие. №23.14 (с. 106)
скриншот условия
Алгебра, 7-9 класс Сборник задач, авторы: Арефьева Ирина Глебовна, Пирютко Ольга Николаевна, издательство Народная асвета, Минск, 2020, страница 106, номер 23.14, Условие

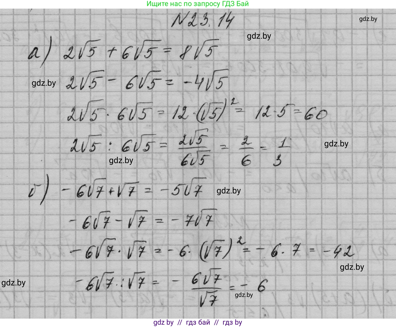
23.14. Найдите сумму, разность, произведение и частное чисел:

а) $2\sqrt{5}$ и $6\sqrt{5}$;

б) $-6\sqrt{7}$ и $\sqrt{7}$;

в) $-5\sqrt{3}$ и $5\sqrt{3}$.

Решение. №23.14 (с. 106)
Алгебра, 7-9 класс Сборник задач, авторы: Арефьева Ирина Глебовна, Пирютко Ольга Николаевна, издательство Народная асвета, Минск, 2020, страница 106, номер 23.14, Решение Алгебра, 7-9 класс Сборник задач, авторы: Арефьева Ирина Глебовна, Пирютко Ольга Николаевна, издательство Народная асвета, Минск, 2020, страница 106, номер 23.14, Решение (продолжение 2)
Решение 2. №23.14 (с. 106)

а) Даны числа $2\sqrt{5}$ и $6\sqrt{5}$.

1. Сумма: Складываем коэффициенты при одинаковом подкоренном выражении.
$2\sqrt{5} + 6\sqrt{5} = (2+6)\sqrt{5} = 8\sqrt{5}$.

2. Разность: Вычитаем коэффициенты при одинаковом подкоренном выражении.
$2\sqrt{5} - 6\sqrt{5} = (2-6)\sqrt{5} = -4\sqrt{5}$.

3. Произведение: Перемножаем коэффициенты и подкоренные выражения отдельно.
$2\sqrt{5} \cdot 6\sqrt{5} = (2 \cdot 6) \cdot (\sqrt{5} \cdot \sqrt{5}) = 12 \cdot 5 = 60$.

4. Частное: Делим коэффициенты и подкоренные выражения отдельно.
$\frac{2\sqrt{5}}{6\sqrt{5}} = \frac{2}{6} = \frac{1}{3}$.

Ответ: сумма $8\sqrt{5}$, разность $-4\sqrt{5}$, произведение $60$, частное $\frac{1}{3}$.

б) Даны числа $-6\sqrt{7}$ и $\sqrt{7}$.

1. Сумма: Складываем коэффициенты ($\sqrt{7}$ имеет коэффициент 1).
$-6\sqrt{7} + \sqrt{7} = (-6+1)\sqrt{7} = -5\sqrt{7}$.

2. Разность: Вычитаем коэффициенты.
$-6\sqrt{7} - \sqrt{7} = (-6-1)\sqrt{7} = -7\sqrt{7}$.

3. Произведение: Перемножаем числа.
$-6\sqrt{7} \cdot \sqrt{7} = -6 \cdot (\sqrt{7})^2 = -6 \cdot 7 = -42$.

4. Частное: Делим одно число на другое.
$\frac{-6\sqrt{7}}{\sqrt{7}} = -6$.

Ответ: сумма $-5\sqrt{7}$, разность $-7\sqrt{7}$, произведение $-42$, частное $-6$.

в) Даны числа $-5\sqrt{3}$ и $5\sqrt{3}$.

1. Сумма: Складываем числа, являющиеся противоположными.
$-5\sqrt{3} + 5\sqrt{3} = (-5+5)\sqrt{3} = 0 \cdot \sqrt{3} = 0$.

2. Разность: Вычитаем одно число из другого.
$-5\sqrt{3} - 5\sqrt{3} = (-5-5)\sqrt{3} = -10\sqrt{3}$.

3. Произведение: Перемножаем числа.
$-5\sqrt{3} \cdot 5\sqrt{3} = (-5 \cdot 5) \cdot (\sqrt{3} \cdot \sqrt{3}) = -25 \cdot 3 = -75$.

4. Частное: Делим одно число на другое.
$\frac{-5\sqrt{3}}{5\sqrt{3}} = \frac{-5}{5} = -1$.

Ответ: сумма $0$, разность $-10\sqrt{3}$, произведение $-75$, частное $-1$.

Помогло решение? Оставьте отзыв в комментариях ниже.

Присоединяйтесь к Телеграм-группе @gdz_by_belarus

Присоединиться

Мы подготовили для вас ответ c подробным объяснением домашего задания по алгебре за 7-9 класс, для упражнения номер 23.14 расположенного на странице 106 к сборнику задач 2020 года издания для учащихся школ и гимназий.

Теперь на нашем сайте ГДЗ.ТОП вы всегда легко и бесплатно найдёте условие с правильным ответом на вопрос «Как решить ДЗ» и «Как сделать» задание по алгебре к упражнению №23.14 (с. 106), авторов: Арефьева (Ирина Глебовна), Пирютко (Ольга Николаевна), учебного пособия издательства Народная асвета.