Номер 23.16, страница 106 - гдз по алгебре 7-9 класс сборник задач Арефьева, Пирютко

Алгебра, 7-9 класс Сборник задач, авторы: Арефьева Ирина Глебовна, Пирютко Ольга Николаевна, издательство Народная асвета, Минск, 2020

Авторы: Арефьева И. Г., Пирютко О. Н.

Тип: Сборник задач

Издательство: Народная асвета

Год издания: 2020 - 2025

Цвет обложки: синий с графиками

Допущено Министерством образования Республики Беларусь

Популярные ГДЗ в 7 классе

8 класс. Параграф 23. Применение свойств квадратных корней - номер 23.16, страница 106.

№23.16 (с. 106)
Условие. №23.16 (с. 106)
скриншот условия
Алгебра, 7-9 класс Сборник задач, авторы: Арефьева Ирина Глебовна, Пирютко Ольга Николаевна, издательство Народная асвета, Минск, 2020, страница 106, номер 23.16, Условие Алгебра, 7-9 класс Сборник задач, авторы: Арефьева Ирина Глебовна, Пирютко Ольга Николаевна, издательство Народная асвета, Минск, 2020, страница 106, номер 23.16, Условие (продолжение 2)

23.16. Рациональным или иррациональным числом является значение выражения:

а) $\frac{\sqrt{32} + \sqrt{45} - \sqrt{98}}{\sqrt{50} - \sqrt{125}};$

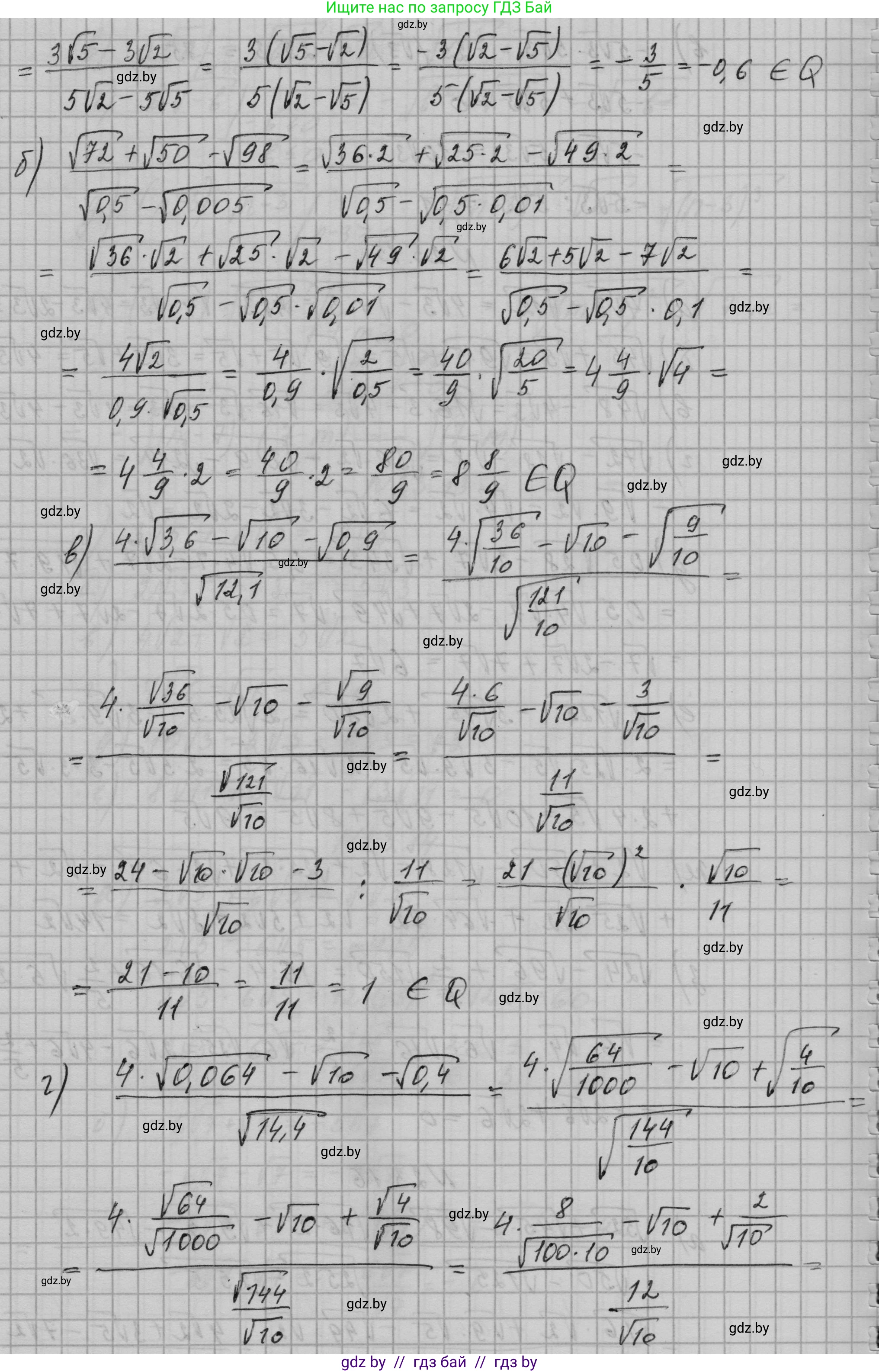
б) $\frac{\sqrt{72} + \sqrt{50} - \sqrt{98}}{\sqrt{0.5} - \sqrt{0.005}};$

в) $\frac{4 \cdot \sqrt{3.6} - \sqrt{10} - \sqrt{0.9}}{\sqrt{12.1}};$

г) $\frac{4 \cdot \sqrt{0.064} - \sqrt{10} - \sqrt{0.4}}{\sqrt{14.4}}?$

Решение. №23.16 (с. 106)
Алгебра, 7-9 класс Сборник задач, авторы: Арефьева Ирина Глебовна, Пирютко Ольга Николаевна, издательство Народная асвета, Минск, 2020, страница 106, номер 23.16, Решение Алгебра, 7-9 класс Сборник задач, авторы: Арефьева Ирина Глебовна, Пирютко Ольга Николаевна, издательство Народная асвета, Минск, 2020, страница 106, номер 23.16, Решение (продолжение 2) Алгебра, 7-9 класс Сборник задач, авторы: Арефьева Ирина Глебовна, Пирютко Ольга Николаевна, издательство Народная асвета, Минск, 2020, страница 106, номер 23.16, Решение (продолжение 3)
Решение 2. №23.16 (с. 106)

а) Чтобы определить, является ли значение выражения рациональным или иррациональным числом, необходимо его упростить. Для этого вынесем множители из-под знака корня в числителе и знаменателе дроби.

Упростим каждый корень по отдельности:

$\sqrt{32} = \sqrt{16 \cdot 2} = 4\sqrt{2}$

$\sqrt{45} = \sqrt{9 \cdot 5} = 3\sqrt{5}$

$\sqrt{98} = \sqrt{49 \cdot 2} = 7\sqrt{2}$

$\sqrt{50} = \sqrt{25 \cdot 2} = 5\sqrt{2}$

$\sqrt{125} = \sqrt{25 \cdot 5} = 5\sqrt{5}$

Подставим полученные значения обратно в выражение:

$\frac{\sqrt{32} + \sqrt{45} - \sqrt{98}}{\sqrt{50} - \sqrt{125}} = \frac{4\sqrt{2} + 3\sqrt{5} - 7\sqrt{2}}{5\sqrt{2} - 5\sqrt{5}}$

Сгруппируем и приведем подобные слагаемые в числителе:

$\frac{(4\sqrt{2} - 7\sqrt{2}) + 3\sqrt{5}}{5\sqrt{2} - 5\sqrt{5}} = \frac{-3\sqrt{2} + 3\sqrt{5}}{5\sqrt{2} - 5\sqrt{5}}$

Вынесем общие множители за скобки в числителе и знаменателе:

$\frac{3(\sqrt{5} - \sqrt{2})}{5(\sqrt{2} - \sqrt{5})} = \frac{3(\sqrt{5} - \sqrt{2})}{-5(\sqrt{5} - \sqrt{2})}$

Сократим дробь на общий множитель $(\sqrt{5} - \sqrt{2})$:

$-\frac{3}{5} = -0,6$

Полученное число $-0,6$ является конечной десятичной дробью, которую можно представить в виде отношения двух целых чисел $(-\frac{3}{5})$, следовательно, это рациональное число.

Ответ: рациональное число.

б) Упростим данное выражение. Сначала преобразуем подкоренные выражения в числителе:

$\sqrt{72} = \sqrt{36 \cdot 2} = 6\sqrt{2}$

$\sqrt{50} = \sqrt{25 \cdot 2} = 5\sqrt{2}$

$\sqrt{98} = \sqrt{49 \cdot 2} = 7\sqrt{2}$

Числитель примет вид:

$6\sqrt{2} + 5\sqrt{2} - 7\sqrt{2} = (6 + 5 - 7)\sqrt{2} = 4\sqrt{2}$

Теперь преобразуем подкоренные выражения в знаменателе:

$\sqrt{0,5} = \sqrt{\frac{1}{2}} = \frac{1}{\sqrt{2}} = \frac{\sqrt{2}}{2}$

$\sqrt{0,005} = \sqrt{\frac{5}{1000}} = \sqrt{\frac{1}{200}} = \sqrt{\frac{1}{100 \cdot 2}} = \frac{1}{10\sqrt{2}} = \frac{\sqrt{2}}{20}$

Знаменатель примет вид:

$\frac{\sqrt{2}}{2} - \frac{\sqrt{2}}{20} = \frac{10\sqrt{2}}{20} - \frac{\sqrt{2}}{20} = \frac{9\sqrt{2}}{20}$

Теперь разделим числитель на знаменатель:

$\frac{4\sqrt{2}}{\frac{9\sqrt{2}}{20}} = 4\sqrt{2} \cdot \frac{20}{9\sqrt{2}} = \frac{4 \cdot 20}{9} = \frac{80}{9}$

Число $\frac{80}{9}$ является отношением двух целых чисел, следовательно, это рациональное число.

Ответ: рациональное число.

в) Для упрощения выражения преобразуем десятичные дроби под корнями в обыкновенные:

$4\sqrt{3,6} = 4\sqrt{\frac{36}{10}} = 4 \frac{\sqrt{36}}{\sqrt{10}} = 4 \frac{6}{\sqrt{10}} = \frac{24}{\sqrt{10}}$

$\sqrt{0,9} = \sqrt{\frac{9}{10}} = \frac{\sqrt{9}}{\sqrt{10}} = \frac{3}{\sqrt{10}}$

$\sqrt{12,1} = \sqrt{\frac{121}{10}} = \frac{\sqrt{121}}{\sqrt{10}} = \frac{11}{\sqrt{10}}$

Подставим полученные значения в исходное выражение:

$\frac{\frac{24}{\sqrt{10}} - \sqrt{10} - \frac{3}{\sqrt{10}}}{\frac{11}{\sqrt{10}}}$

Приведем слагаемые в числителе к общему знаменателю $\sqrt{10}$:

$\frac{\frac{24}{\sqrt{10}} - \frac{10}{\sqrt{10}} - \frac{3}{\sqrt{10}}}{\frac{11}{\sqrt{10}}} = \frac{\frac{24 - 10 - 3}{\sqrt{10}}}{\frac{11}{\sqrt{10}}} = \frac{\frac{11}{\sqrt{10}}}{\frac{11}{\sqrt{10}}}$

Выражение представляет собой дробь, в которой числитель равен знаменателю. Такое выражение равно 1.

Число 1 является рациональным, так как его можно представить в виде дроби $\frac{1}{1}$.

Ответ: рациональное число.

г) Упростим данное выражение, представив десятичные дроби под корнями в виде частного, где знаменатель равен $\sqrt{10}$:

$4\sqrt{0,064} = 4\sqrt{\frac{0,64}{10}} = 4 \frac{\sqrt{0,64}}{\sqrt{10}} = 4 \frac{0,8}{\sqrt{10}} = \frac{3,2}{\sqrt{10}}$

$\sqrt{0,4} = \sqrt{\frac{4}{10}} = \frac{\sqrt{4}}{\sqrt{10}} = \frac{2}{\sqrt{10}}$

$\sqrt{14,4} = \sqrt{\frac{144}{10}} = \frac{\sqrt{144}}{\sqrt{10}} = \frac{12}{\sqrt{10}}$

Подставим преобразованные значения в исходное выражение:

$\frac{\frac{3,2}{\sqrt{10}} - \sqrt{10} - \frac{2}{\sqrt{10}}}{\frac{12}{\sqrt{10}}}$

Приведем все слагаемые в числителе к общему знаменателю $\sqrt{10}$:

$\frac{\frac{3,2}{\sqrt{10}} - \frac{10}{\sqrt{10}} - \frac{2}{\sqrt{10}}}{\frac{12}{\sqrt{10}}} = \frac{\frac{3,2 - 10 - 2}{\sqrt{10}}}{\frac{12}{\sqrt{10}}} = \frac{\frac{-8,8}{\sqrt{10}}}{\frac{12}{\sqrt{10}}}$

Сократим дробь на $\sqrt{10}$:

$\frac{-8,8}{12} = -\frac{88}{120}$

Сократим полученную дробь, разделив числитель и знаменатель на 8:

$-\frac{88 \div 8}{120 \div 8} = -\frac{11}{15}$

Число $-\frac{11}{15}$ является отношением двух целых чисел, следовательно, это рациональное число.

Ответ: рациональное число.

Помогло решение? Оставьте отзыв в комментариях ниже.

Присоединяйтесь к Телеграм-группе @gdz_by_belarus

Присоединиться

Мы подготовили для вас ответ c подробным объяснением домашего задания по алгебре за 7-9 класс, для упражнения номер 23.16 расположенного на странице 106 к сборнику задач 2020 года издания для учащихся школ и гимназий.

Теперь на нашем сайте ГДЗ.ТОП вы всегда легко и бесплатно найдёте условие с правильным ответом на вопрос «Как решить ДЗ» и «Как сделать» задание по алгебре к упражнению №23.16 (с. 106), авторов: Арефьева (Ирина Глебовна), Пирютко (Ольга Николаевна), учебного пособия издательства Народная асвета.