Номер 23.23, страница 108 - гдз по алгебре 7-9 класс сборник задач Арефьева, Пирютко

Алгебра, 7-9 класс Сборник задач, авторы: Арефьева Ирина Глебовна, Пирютко Ольга Николаевна, издательство Народная асвета, Минск, 2020

Авторы: Арефьева И. Г., Пирютко О. Н.

Тип: Сборник задач

Издательство: Народная асвета

Год издания: 2020 - 2025

Цвет обложки: синий с графиками

Допущено Министерством образования Республики Беларусь

Популярные ГДЗ в 7 классе

8 класс. Параграф 23. Применение свойств квадратных корней - номер 23.23, страница 108.

№23.23 (с. 108)
Условие. №23.23 (с. 108)
скриншот условия
Алгебра, 7-9 класс Сборник задач, авторы: Арефьева Ирина Глебовна, Пирютко Ольга Николаевна, издательство Народная асвета, Минск, 2020, страница 108, номер 23.23, Условие

23.23. Упростите выражение:

а)

$(\sqrt{3} - 1)^2 - 4;$

б)

$(3 + 5\sqrt{2})^2 - 59;$

в)

$9 - (\sqrt{6} - \sqrt{3})^2;$

г)

$13 - (2\sqrt{3} + 1)^2.$

Решение. №23.23 (с. 108)
Алгебра, 7-9 класс Сборник задач, авторы: Арефьева Ирина Глебовна, Пирютко Ольга Николаевна, издательство Народная асвета, Минск, 2020, страница 108, номер 23.23, Решение Алгебра, 7-9 класс Сборник задач, авторы: Арефьева Ирина Глебовна, Пирютко Ольга Николаевна, издательство Народная асвета, Минск, 2020, страница 108, номер 23.23, Решение (продолжение 2)
Решение 2. №23.23 (с. 108)

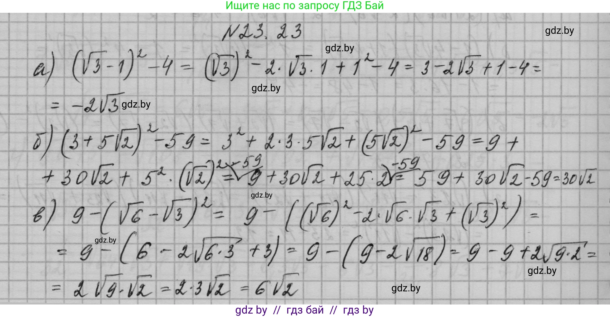
а) Чтобы упростить выражение $(\sqrt{3}-1)^2 - 4$, сначала раскроем скобки, используя формулу квадрата разности $(a-b)^2=a^2-2ab+b^2$.
$(\sqrt{3}-1)^2 - 4 = ((\sqrt{3})^2 - 2 \cdot \sqrt{3} \cdot 1 + 1^2) - 4 = (3 - 2\sqrt{3} + 1) - 4 = (4 - 2\sqrt{3}) - 4 = 4 - 2\sqrt{3} - 4 = -2\sqrt{3}$.
Ответ: $-2\sqrt{3}$

б) Упростим выражение $(3+5\sqrt{2})^2 - 59$. Раскроем скобки по формуле квадрата суммы $(a+b)^2=a^2+2ab+b^2$.
$(3+5\sqrt{2})^2 - 59 = (3^2 + 2 \cdot 3 \cdot 5\sqrt{2} + (5\sqrt{2})^2) - 59 = (9 + 30\sqrt{2} + 25 \cdot 2) - 59 = (9 + 30\sqrt{2} + 50) - 59 = (59 + 30\sqrt{2}) - 59 = 59 + 30\sqrt{2} - 59 = 30\sqrt{2}$.
Ответ: $30\sqrt{2}$

в) Упростим выражение $9 - (\sqrt{6}-\sqrt{3})^2$. Сначала возведем в квадрат выражение в скобках по формуле квадрата разности $(a-b)^2=a^2-2ab+b^2$.
$9 - (\sqrt{6}-\sqrt{3})^2 = 9 - ((\sqrt{6})^2 - 2 \cdot \sqrt{6} \cdot \sqrt{3} + (\sqrt{3})^2) = 9 - (6 - 2\sqrt{18} + 3) = 9 - (9 - 2\sqrt{9 \cdot 2}) = 9 - (9 - 2 \cdot 3\sqrt{2}) = 9 - (9 - 6\sqrt{2}) = 9 - 9 + 6\sqrt{2} = 6\sqrt{2}$.
Ответ: $6\sqrt{2}$

г) Упростим выражение $13 - (2\sqrt{3}+1)^2$. Раскроем скобки, используя формулу квадрата суммы $(a+b)^2=a^2+2ab+b^2$.
$13 - (2\sqrt{3}+1)^2 = 13 - ((2\sqrt{3})^2 + 2 \cdot 2\sqrt{3} \cdot 1 + 1^2) = 13 - (4 \cdot 3 + 4\sqrt{3} + 1) = 13 - (12 + 4\sqrt{3} + 1) = 13 - (13 + 4\sqrt{3}) = 13 - 13 - 4\sqrt{3} = -4\sqrt{3}$.
Ответ: $-4\sqrt{3}$

Помогло решение? Оставьте отзыв в комментариях ниже.

Присоединяйтесь к Телеграм-группе @gdz_by_belarus

Присоединиться

Мы подготовили для вас ответ c подробным объяснением домашего задания по алгебре за 7-9 класс, для упражнения номер 23.23 расположенного на странице 108 к сборнику задач 2020 года издания для учащихся школ и гимназий.

Теперь на нашем сайте ГДЗ.ТОП вы всегда легко и бесплатно найдёте условие с правильным ответом на вопрос «Как решить ДЗ» и «Как сделать» задание по алгебре к упражнению №23.23 (с. 108), авторов: Арефьева (Ирина Глебовна), Пирютко (Ольга Николаевна), учебного пособия издательства Народная асвета.