Номер 29.8, страница 131 - гдз по алгебре 7-9 класс сборник задач Арефьева, Пирютко

Алгебра, 7-9 класс Сборник задач, авторы: Арефьева Ирина Глебовна, Пирютко Ольга Николаевна, издательство Народная асвета, Минск, 2020

Авторы: Арефьева И. Г., Пирютко О. Н.

Тип: Сборник задач

Издательство: Народная асвета

Год издания: 2020 - 2025

Цвет обложки: синий с графиками

Допущено Министерством образования Республики Беларусь

Популярные ГДЗ в 7 классе

8 класс. Параграф 29. Квадратичная функция и ее свойства - номер 29.8, страница 131.

№29.8 (с. 131)
Условие. №29.8 (с. 131)
скриншот условия
Алгебра, 7-9 класс Сборник задач, авторы: Арефьева Ирина Глебовна, Пирютко Ольга Николаевна, издательство Народная асвета, Минск, 2020, страница 131, номер 29.8, Условие

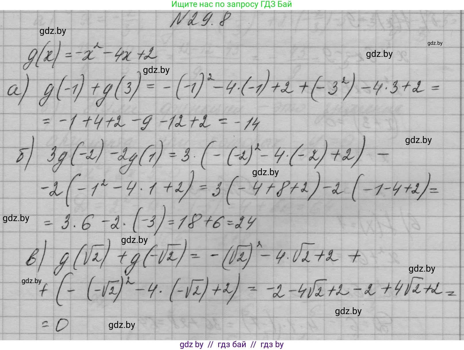
29.8. Для квадратичной функции $g(x)=-x^2-4x+2$ найдите значение выражения:

a) $g(-1)+g(3);$

б) $3g(-2)-2g(1);$

в) $g(\sqrt{2})+g(-\sqrt{2}).$

Решение. №29.8 (с. 131)
Алгебра, 7-9 класс Сборник задач, авторы: Арефьева Ирина Глебовна, Пирютко Ольга Николаевна, издательство Народная асвета, Минск, 2020, страница 131, номер 29.8, Решение
Решение 2. №29.8 (с. 131)

Дана квадратичная функция $g(x) = -x^2 - 4x + 2$. Чтобы найти значение выражения, необходимо сначала вычислить значения функции $g(x)$ при заданных значениях аргумента $x$, а затем выполнить указанные арифметические действия.

а) $g(-1) + g(3)$
Сначала найдем значение функции в каждой из точек.
При $x = -1$:
$g(-1) = -(-1)^2 - 4(-1) + 2 = -(1) + 4 + 2 = -1 + 4 + 2 = 5$
При $x = 3$:
$g(3) = -(3)^2 - 4(3) + 2 = -9 - 12 + 2 = -21 + 2 = -19$
Теперь сложим полученные значения:
$g(-1) + g(3) = 5 + (-19) = 5 - 19 = -14$
Ответ: -14

б) $3g(-2) - 2g(1)$
Найдем значения функции в точках $x = -2$ и $x = 1$.
При $x = -2$:
$g(-2) = -(-2)^2 - 4(-2) + 2 = -(4) + 8 + 2 = -4 + 8 + 2 = 6$
При $x = 1$:
$g(1) = -(1)^2 - 4(1) + 2 = -1 - 4 + 2 = -3$
Теперь подставим эти значения в выражение:
$3g(-2) - 2g(1) = 3 \cdot 6 - 2 \cdot (-3) = 18 - (-6) = 18 + 6 = 24$
Ответ: 24

в) $g(\sqrt{2}) + g(-\sqrt{2})$
Найдем значение функции в каждой из точек.
При $x = \sqrt{2}$:
$g(\sqrt{2}) = -(\sqrt{2})^2 - 4(\sqrt{2}) + 2 = -2 - 4\sqrt{2} + 2 = -4\sqrt{2}$
При $x = -\sqrt{2}$:
$g(-\sqrt{2}) = -(-\sqrt{2})^2 - 4(-\sqrt{2}) + 2 = -(2) + 4\sqrt{2} + 2 = 4\sqrt{2}$
Теперь сложим полученные значения:
$g(\sqrt{2}) + g(-\sqrt{2}) = -4\sqrt{2} + 4\sqrt{2} = 0$
Ответ: 0

Помогло решение? Оставьте отзыв в комментариях ниже.

Присоединяйтесь к Телеграм-группе @gdz_by_belarus

Присоединиться

Мы подготовили для вас ответ c подробным объяснением домашего задания по алгебре за 7-9 класс, для упражнения номер 29.8 расположенного на странице 131 к сборнику задач 2020 года издания для учащихся школ и гимназий.

Теперь на нашем сайте ГДЗ.ТОП вы всегда легко и бесплатно найдёте условие с правильным ответом на вопрос «Как решить ДЗ» и «Как сделать» задание по алгебре к упражнению №29.8 (с. 131), авторов: Арефьева (Ирина Глебовна), Пирютко (Ольга Николаевна), учебного пособия издательства Народная асвета.