Номер 29.11, страница 132 - гдз по алгебре 7-9 класс сборник задач Арефьева, Пирютко
Авторы: Арефьева И. Г., Пирютко О. Н.
Тип: Сборник задач
Издательство: Народная асвета
Год издания: 2020 - 2025
Цвет обложки: синий с графиками
Допущено Министерством образования Республики Беларусь
Популярные ГДЗ в 7 классе
8 класс. Параграф 29. Квадратичная функция и ее свойства - номер 29.11, страница 132.
№29.11 (с. 132)
Условие. №29.11 (с. 132)
скриншот условия
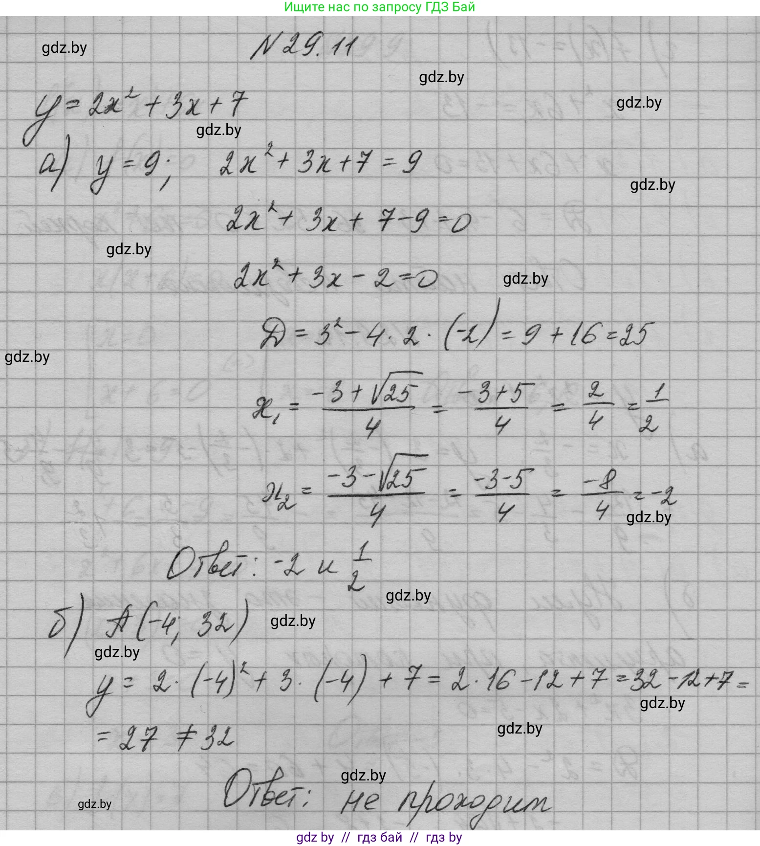
29.11. Функция задана формулой $y = 2x^2 + 3x + 7$.
а) При каких значениях аргумента функция принимает значение, равное 9?
б) Проходит ли график функции через точку $A(-4; 32)$?
Решение. №29.11 (с. 132)
Решение 2. №29.11 (с. 132)
а) Чтобы найти значения аргумента $x$, при которых функция принимает значение, равное 9, необходимо приравнять $y$ к 9 и решить полученное уравнение:
$2x^2 + 3x + 7 = 9$
Перенесем 9 в левую часть уравнения, чтобы привести его к стандартному виду квадратного уравнения $ax^2 + bx + c = 0$:
$2x^2 + 3x + 7 - 9 = 0$
$2x^2 + 3x - 2 = 0$
Теперь решим это квадратное уравнение. Вычислим дискриминант $D$ по формуле $D = b^2 - 4ac$, где $a=2$, $b=3$, $c=-2$:
$D = 3^2 - 4 \cdot 2 \cdot (-2) = 9 + 16 = 25$
Так как $D > 0$, уравнение имеет два действительных корня. Найдем их по формуле $x_{1,2} = \frac{-b \pm \sqrt{D}}{2a}$:
$x_1 = \frac{-3 + \sqrt{25}}{2 \cdot 2} = \frac{-3 + 5}{4} = \frac{2}{4} = 0.5$
$x_2 = \frac{-3 - \sqrt{25}}{2 \cdot 2} = \frac{-3 - 5}{4} = \frac{-8}{4} = -2$
Ответ: при $x=0.5$ и $x=-2$.
б) Чтобы определить, проходит ли график функции через точку A(-4; 32), нужно подставить координаты этой точки в уравнение функции. Если получится верное равенство, то точка принадлежит графику.
Подставим $x = -4$ в формулу $y = 2x^2 + 3x + 7$ и вычислим значение $y$:
$y = 2(-4)^2 + 3(-4) + 7$
$y = 2 \cdot 16 - 12 + 7$
$y = 32 - 12 + 7$
$y = 20 + 7 = 27$
Полученное значение $y=27$ не совпадает с y-координатой точки A, которая равна 32. Так как $27 \neq 32$, то точка A(-4; 32) не лежит на графике данной функции.
Ответ: нет, не проходит.
Другие задания:
Помогло решение? Оставьте отзыв в комментариях ниже.
Присоединяйтесь к Телеграм-группе @gdz_by_belarus
ПрисоединитьсяМы подготовили для вас ответ c подробным объяснением домашего задания по алгебре за 7-9 класс, для упражнения номер 29.11 расположенного на странице 132 к сборнику задач 2020 года издания для учащихся школ и гимназий.
Теперь на нашем сайте ГДЗ.ТОП вы всегда легко и бесплатно найдёте условие с правильным ответом на вопрос «Как решить ДЗ» и «Как сделать» задание по алгебре к упражнению №29.11 (с. 132), авторов: Арефьева (Ирина Глебовна), Пирютко (Ольга Николаевна), учебного пособия издательства Народная асвета.