Номер 29.38, страница 136 - гдз по алгебре 7-9 класс сборник задач Арефьева, Пирютко

Алгебра, 7-9 класс Сборник задач, авторы: Арефьева Ирина Глебовна, Пирютко Ольга Николаевна, издательство Народная асвета, Минск, 2020

Авторы: Арефьева И. Г., Пирютко О. Н.

Тип: Сборник задач

Издательство: Народная асвета

Год издания: 2020 - 2025

Цвет обложки: синий с графиками

Допущено Министерством образования Республики Беларусь

Популярные ГДЗ в 7 классе

8 класс. Параграф 29. Квадратичная функция и ее свойства - номер 29.38, страница 136.

№29.38 (с. 136)
Условие. №29.38 (с. 136)
скриншот условия
Алгебра, 7-9 класс Сборник задач, авторы: Арефьева Ирина Глебовна, Пирютко Ольга Николаевна, издательство Народная асвета, Минск, 2020, страница 136, номер 29.38, Условие

29.38. Найдите значения аргумента, при которых функция принимает положительные значения:

а) $y = -(x - 2)^2 + 9;$

б) $y = (4x + 1)(x - 7);$

в) $y = -x^2 + 25;$

г) $y = x(x - 4).$

Решение. №29.38 (с. 136)
Алгебра, 7-9 класс Сборник задач, авторы: Арефьева Ирина Глебовна, Пирютко Ольга Николаевна, издательство Народная асвета, Минск, 2020, страница 136, номер 29.38, Решение Алгебра, 7-9 класс Сборник задач, авторы: Арефьева Ирина Глебовна, Пирютко Ольга Николаевна, издательство Народная асвета, Минск, 2020, страница 136, номер 29.38, Решение (продолжение 2) Алгебра, 7-9 класс Сборник задач, авторы: Арефьева Ирина Глебовна, Пирютко Ольга Николаевна, издательство Народная асвета, Минск, 2020, страница 136, номер 29.38, Решение (продолжение 3)
Решение 2. №29.38 (с. 136)

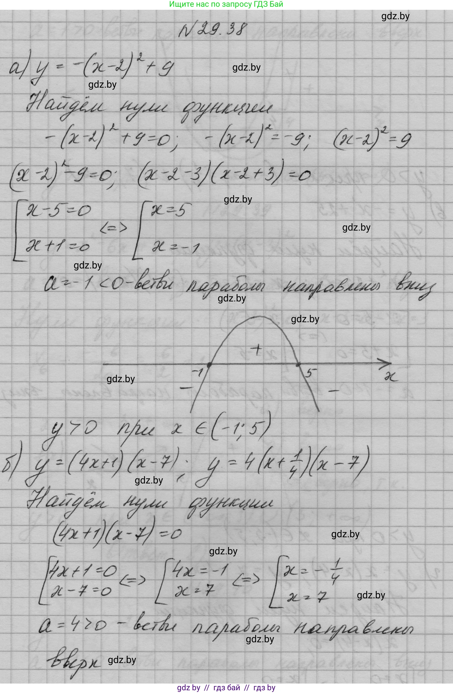
а) Чтобы найти значения аргумента, при которых функция $y = -(x - 2)^2 + 9$ принимает положительные значения, необходимо решить неравенство $y > 0$.
$-(x - 2)^2 + 9 > 0$
Перенесем слагаемое с квадратом в правую часть:
$9 > (x - 2)^2$
Это неравенство можно записать как $(x - 2)^2 < 9$.
Извлекая квадратный корень из обеих частей, получаем:
$|x - 2| < 3$
Это неравенство равносильно двойному неравенству:
$-3 < x - 2 < 3$
Прибавим 2 ко всем частям неравенства:
$-3 + 2 < x < 3 + 2$
$-1 < x < 5$
Следовательно, функция принимает положительные значения на интервале от -1 до 5.
Ответ: $x \in (-1, 5)$.

б) Чтобы найти значения аргумента, при которых функция $y = (4x + 1)(x - 7)$ принимает положительные значения, решим неравенство $(4x + 1)(x - 7) > 0$.
Это квадратичная функция, график которой — парабола. Для решения неравенства методом интервалов найдем ее корни (точки пересечения с осью Ox), приравняв $y$ к нулю:
$(4x + 1)(x - 7) = 0$
Произведение равно нулю, когда хотя бы один из множителей равен нулю:
$4x + 1 = 0$ или $x - 7 = 0$
$4x = -1 \implies x_1 = -1/4$
$x_2 = 7$
Отметим эти точки на числовой оси. Они разбивают ось на три интервала: $(-\infty, -1/4)$, $(-1/4, 7)$ и $(7, \infty)$.
Раскрыв скобки в исходной функции, получим $y = 4x^2 - 27x - 7$. Коэффициент при $x^2$ равен 4, он положительный, значит, ветви параболы направлены вверх. Парабола с ветвями вверх принимает положительные значения левее меньшего корня и правее большего корня.
Следовательно, неравенство выполняется при $x < -1/4$ или $x > 7$.
Ответ: $x \in (-\infty, -1/4) \cup (7, \infty)$.

в) Найдем значения $x$, при которых функция $y = -x^2 + 25$ положительна. Решим неравенство $y > 0$.
$-x^2 + 25 > 0$
$25 > x^2$
$x^2 < 25$
Извлекая квадратный корень из обеих частей, получаем:
$|x| < 5$
Это неравенство равносильно двойному неравенству:
$-5 < x < 5$
Другой способ — найти корни уравнения $-x^2 + 25 = 0$, которые равны $x = -5$ и $x = 5$. Так как ветви параболы направлены вниз (коэффициент при $x^2$ отрицательный), функция положительна между корнями.
Ответ: $x \in (-5, 5)$.

г) Найдем значения $x$, при которых функция $y = x(x - 4)$ положительна. Решим неравенство $x(x - 4) > 0$.
Применим метод интервалов. Сначала найдем корни уравнения $x(x - 4) = 0$:
$x_1 = 0$
$x - 4 = 0 \implies x_2 = 4$
Корни 0 и 4 делят числовую ось на три интервала.
Функция $y = x^2 - 4x$ является параболой, ветви которой направлены вверх (коэффициент при $x^2$ равен 1, что больше нуля). Парабола с ветвями вверх принимает положительные значения вне интервала между корнями.
Следовательно, неравенство выполняется при $x < 0$ или $x > 4$.
Ответ: $x \in (-\infty, 0) \cup (4, \infty)$.

Помогло решение? Оставьте отзыв в комментариях ниже.

Присоединяйтесь к Телеграм-группе @gdz_by_belarus

Присоединиться

Мы подготовили для вас ответ c подробным объяснением домашего задания по алгебре за 7-9 класс, для упражнения номер 29.38 расположенного на странице 136 к сборнику задач 2020 года издания для учащихся школ и гимназий.

Теперь на нашем сайте ГДЗ.ТОП вы всегда легко и бесплатно найдёте условие с правильным ответом на вопрос «Как решить ДЗ» и «Как сделать» задание по алгебре к упражнению №29.38 (с. 136), авторов: Арефьева (Ирина Глебовна), Пирютко (Ольга Николаевна), учебного пособия издательства Народная асвета.