Номер 3.54, страница 159 - гдз по алгебре 7 класс учебник Арефьева, Пирютко

Алгебра, 7 класс Учебник, авторы: Арефьева Ирина Глебовна, Пирютко Ольга Николаевна, издательство Народная асвета, Минск, 2022, зелёного цвета

Авторы: Арефьева И. Г., Пирютко О. Н.

Тип: Учебник

Издательство: Народная асвета

Год издания: 2022 - 2025

Цвет обложки: зелёный с графиком

ISBN: ISBN 978-985-03-3770-2

Допущено Министерством образования Республики Беларусь

Популярные ГДЗ в 7 классе

Глава 3. Линейные уравнения. Линейные неравенства. Линейная функция. Параграф 15. Линейные уравнения с одной переменной - номер 3.54, страница 159.

№3.54 (с. 159)
Условие. №3.54 (с. 159)
скриншот условия
Алгебра, 7 класс Учебник, авторы: Арефьева Ирина Глебовна, Пирютко Ольга Николаевна, издательство Народная асвета, Минск, 2022, зелёного цвета, страница 159, номер 3.54, Условие

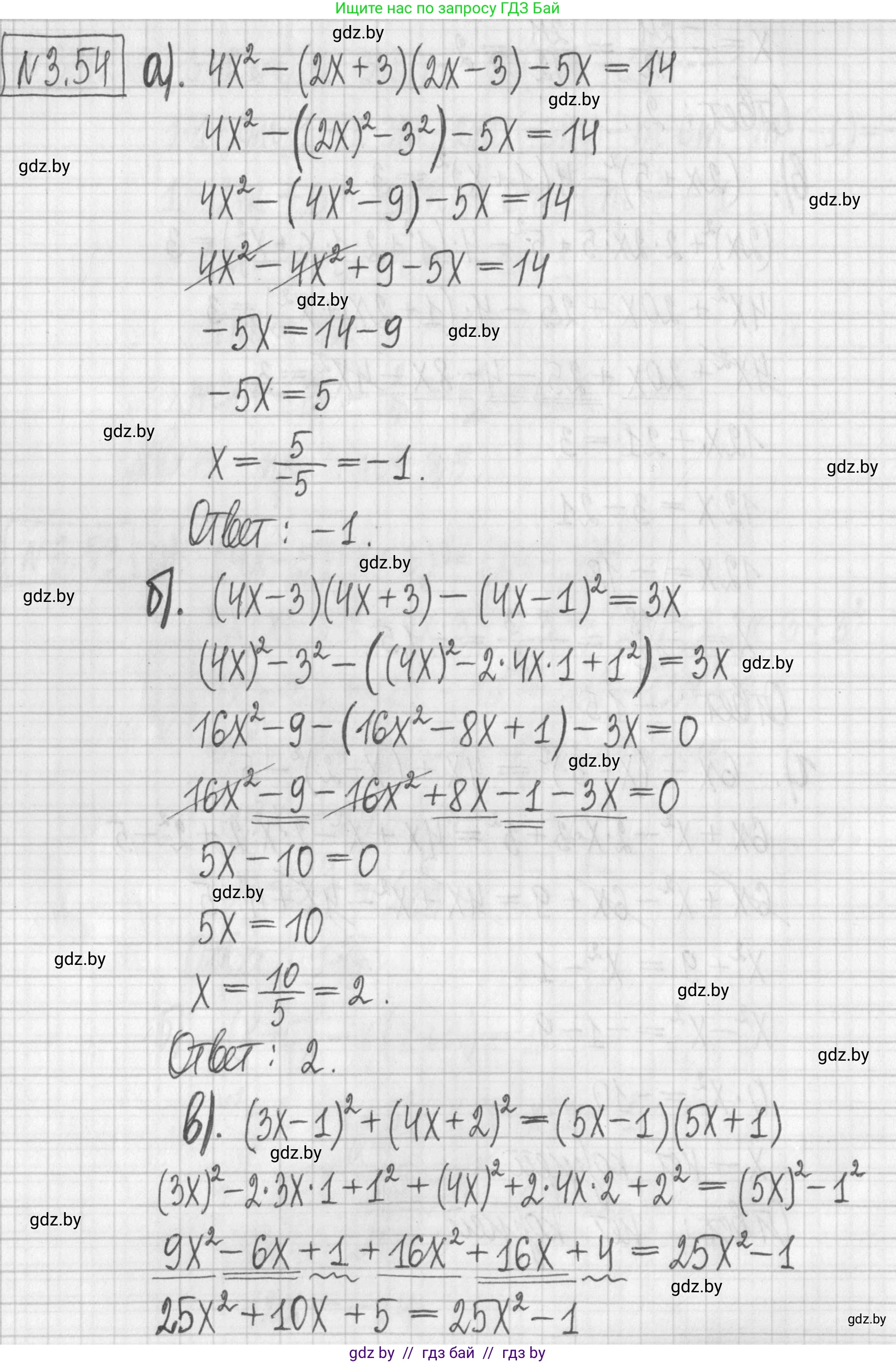
3.54. Примените формулы сокращенного умножения и решите уравнение:

а) $4x^2 - (2x + 3)(2x - 3) - 5x = 14;$

б) $(4x - 3)(4x + 3) - (4x - 1)^2 = 3x;$

в) $(3x - 1)^2 + (4x + 2)^2 = (5x - 1)(5x + 1);$

г) $(2x + 1)^2 - 3(x - 5)^2 = (3 + x)(x - 3).$

Решение. №3.54 (с. 159)
Алгебра, 7 класс Учебник, авторы: Арефьева Ирина Глебовна, Пирютко Ольга Николаевна, издательство Народная асвета, Минск, 2022, зелёного цвета, страница 159, номер 3.54, Решение Алгебра, 7 класс Учебник, авторы: Арефьева Ирина Глебовна, Пирютко Ольга Николаевна, издательство Народная асвета, Минск, 2022, зелёного цвета, страница 159, номер 3.54, Решение (продолжение 2)
Решение 2. №3.54 (с. 159)

а) $4x^2 - (2x + 3)(2x - 3) - 5x = 14$

Применим формулу разности квадратов $(a+b)(a-b) = a^2 - b^2$ к выражению $(2x + 3)(2x - 3)$.

$(2x + 3)(2x - 3) = (2x)^2 - 3^2 = 4x^2 - 9$.

Подставим результат в исходное уравнение:

$$4x^2 - (4x^2 - 9) - 5x = 14$$

Раскроем скобки, меняя знаки слагаемых внутри на противоположные:

$$4x^2 - 4x^2 + 9 - 5x = 14$$

Сократим подобные члены ($4x^2$ и $-4x^2$):

$$9 - 5x = 14$$

Перенесем 9 в правую часть уравнения:

$$-5x = 14 - 9$$ $$-5x = 5$$

Найдем значение $x$:

$$x = \frac{5}{-5}$$ $$x = -1$$

Ответ: -1


б) $(4x - 3)(4x + 3) - (4x - 1)^2 = 3x$

Используем две формулы сокращенного умножения:

  • Разность квадратов: $(a-b)(a+b) = a^2 - b^2$.
    $(4x - 3)(4x + 3) = (4x)^2 - 3^2 = 16x^2 - 9$.
  • Квадрат разности: $(a-b)^2 = a^2 - 2ab + b^2$.
    $(4x - 1)^2 = (4x)^2 - 2 \cdot 4x \cdot 1 + 1^2 = 16x^2 - 8x + 1$.

Подставим раскрытые выражения в уравнение:

$$(16x^2 - 9) - (16x^2 - 8x + 1) = 3x$$

Раскроем скобки:

$$16x^2 - 9 - 16x^2 + 8x - 1 = 3x$$

Приведем подобные слагаемые:

$$8x - 10 = 3x$$

Перенесем слагаемые с $x$ в одну сторону, а константы в другую:

$$8x - 3x = 10$$ $$5x = 10$$

Найдем $x$:

$$x = \frac{10}{5}$$ $$x = 2$$

Ответ: 2


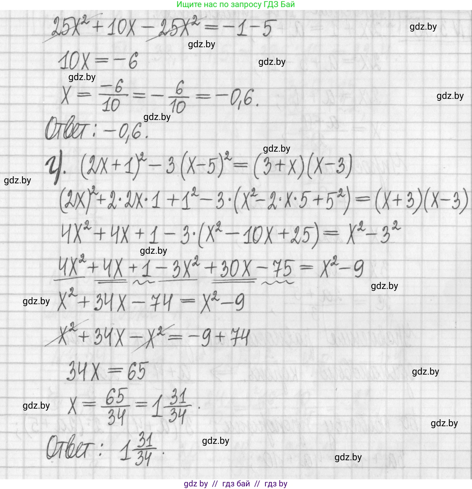
в) $(3x - 1)^2 + (4x + 2)^2 = (5x - 1)(5x + 1)$

Применим следующие формулы:

  • Квадрат разности: $(a-b)^2 = a^2 - 2ab + b^2$.
    $(3x - 1)^2 = (3x)^2 - 2 \cdot 3x \cdot 1 + 1^2 = 9x^2 - 6x + 1$.
  • Квадрат суммы: $(a+b)^2 = a^2 + 2ab + b^2$.
    $(4x + 2)^2 = (4x)^2 + 2 \cdot 4x \cdot 2 + 2^2 = 16x^2 + 16x + 4$.
  • Разность квадратов: $(a-b)(a+b) = a^2 - b^2$.
    $(5x - 1)(5x + 1) = (5x)^2 - 1^2 = 25x^2 - 1$.

Подставим полученные выражения в уравнение:

$$(9x^2 - 6x + 1) + (16x^2 + 16x + 4) = 25x^2 - 1$$

Сгруппируем и сложим подобные члены в левой части:

$$(9x^2 + 16x^2) + (-6x + 16x) + (1 + 4) = 25x^2 - 1$$ $$25x^2 + 10x + 5 = 25x^2 - 1$$

Перенесем члены с $x^2$ в одну сторону, а остальные в другую. $25x^2$ сокращается.

$$10x = -1 - 5$$ $$10x = -6$$

Найдем $x$:

$$x = \frac{-6}{10} = -\frac{3}{5}$$

Ответ: $-\frac{3}{5}$


г) $(2x + 1)^2 - 3(x - 5)^2 = (3 + x)(x - 3)$

Применим формулы сокращенного умножения:

  • Квадрат суммы: $(a+b)^2 = a^2 + 2ab + b^2$.
    $(2x + 1)^2 = (2x)^2 + 2 \cdot 2x \cdot 1 + 1^2 = 4x^2 + 4x + 1$.
  • Квадрат разности: $(a-b)^2 = a^2 - 2ab + b^2$.
    $(x - 5)^2 = x^2 - 2 \cdot x \cdot 5 + 5^2 = x^2 - 10x + 25$.
  • Разность квадратов: $(a+b)(a-b) = a^2 - b^2$.
    $(3 + x)(x - 3) = (x + 3)(x - 3) = x^2 - 3^2 = x^2 - 9$.

Подставим все в уравнение:

$$(4x^2 + 4x + 1) - 3(x^2 - 10x + 25) = x^2 - 9$$

Раскроем скобки, умножив второй многочлен на -3:

$$4x^2 + 4x + 1 - 3x^2 + 30x - 75 = x^2 - 9$$

Приведем подобные слагаемые в левой части:

$$(4x^2 - 3x^2) + (4x + 30x) + (1 - 75) = x^2 - 9$$ $$x^2 + 34x - 74 = x^2 - 9$$

Члены $x^2$ в обеих частях уравнения взаимно уничтожаются:

$$34x - 74 = -9$$

Перенесем -74 в правую часть:

$$34x = 74 - 9$$ $$34x = 65$$

Найдем $x$:

$$x = \frac{65}{34}$$

Так как это неправильная дробь, выделим целую часть:

$$x = 1\frac{31}{34}$$

Ответ: $1\frac{31}{34}$

Помогло решение? Оставьте отзыв в комментариях ниже.

Присоединяйтесь к Телеграм-группе @gdz_by_belarus

Присоединиться

Мы подготовили для вас ответ c подробным объяснением домашего задания по алгебре за 7 класс, для упражнения номер 3.54 расположенного на странице 159 к учебнику 2022 года издания для учащихся школ и гимназий.

Теперь на нашем сайте ГДЗ.ТОП вы всегда легко и бесплатно найдёте условие с правильным ответом на вопрос «Как решить ДЗ» и «Как сделать» задание по алгебре к упражнению №3.54 (с. 159), авторов: Арефьева (Ирина Глебовна), Пирютко (Ольга Николаевна), учебного пособия издательства Народная асвета.