Номер 4.96, страница 283 - гдз по алгебре 7 класс учебник Арефьева, Пирютко

Алгебра, 7 класс Учебник, авторы: Арефьева Ирина Глебовна, Пирютко Ольга Николаевна, издательство Народная асвета, Минск, 2022, зелёного цвета

Авторы: Арефьева И. Г., Пирютко О. Н.

Тип: Учебник

Издательство: Народная асвета

Год издания: 2022 - 2025

Цвет обложки: зелёный с графиком

ISBN: ISBN 978-985-03-3770-2

Допущено Министерством образования Республики Беларусь

Популярные ГДЗ в 7 классе

Глава 4. Системы двух линейных уравнений с двумя переменными. Параграф 24. Способы решения системы линейных уравнений с двумя переменными - номер 4.96, страница 283.

№4.96 (с. 283)
Условие. №4.96 (с. 283)
скриншот условия
Алгебра, 7 класс Учебник, авторы: Арефьева Ирина Глебовна, Пирютко Ольга Николаевна, издательство Народная асвета, Минск, 2022, зелёного цвета, страница 283, номер 4.96, Условие

4.96. Решите систему уравнений способом сложения:

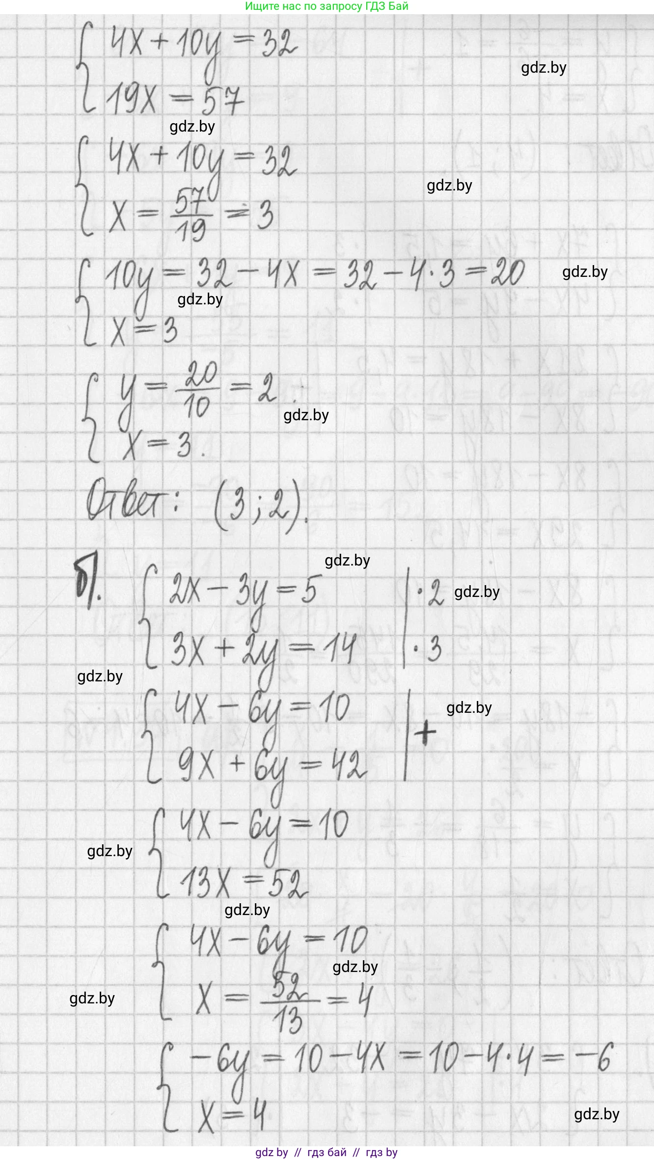
а) $\begin{cases} 3x - 2y = 5, \\ 2x + 5y = 16; \end{cases}$

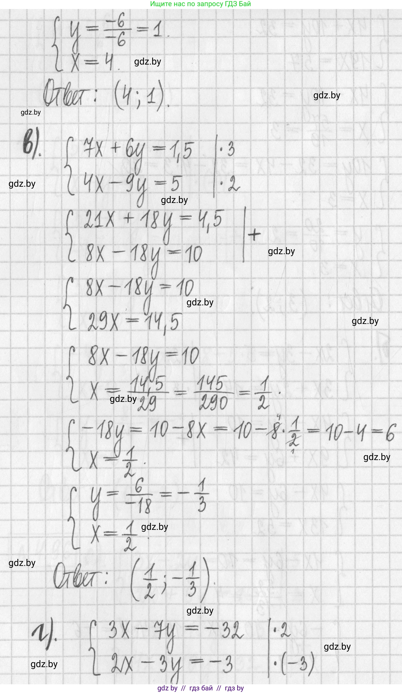
б) $\begin{cases} 2x - 3y = 5, \\ 3x + 2y = 14; \end{cases}$

в) $\begin{cases} 7x + 6y = 1,5, \\ 4x - 9y = 5; \end{cases}$

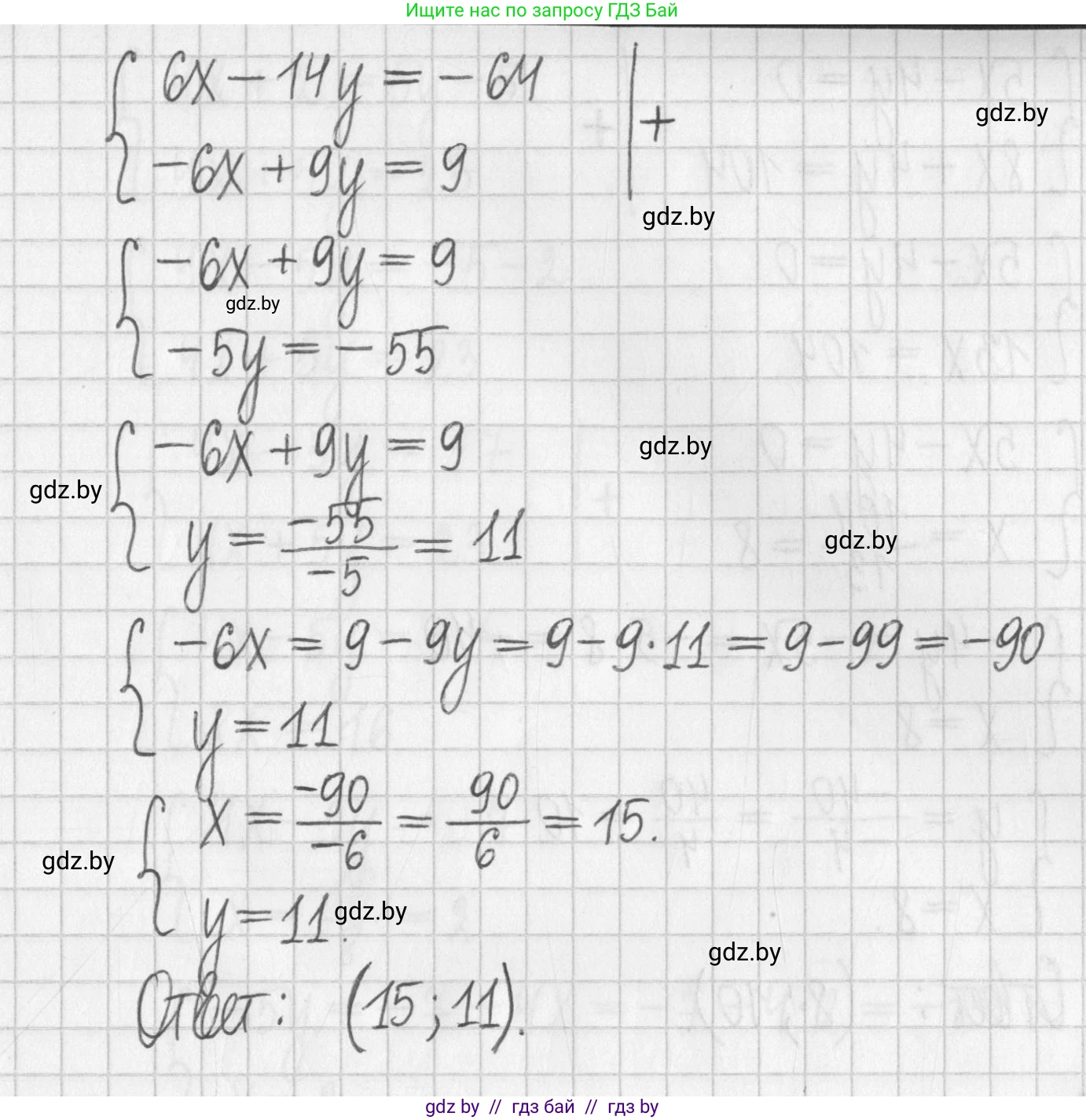
г) $\begin{cases} 3x - 7y = -32, \\ 2x - 3y = -3. \end{cases}$

Решение. №4.96 (с. 283)
Алгебра, 7 класс Учебник, авторы: Арефьева Ирина Глебовна, Пирютко Ольга Николаевна, издательство Народная асвета, Минск, 2022, зелёного цвета, страница 283, номер 4.96, Решение Алгебра, 7 класс Учебник, авторы: Арефьева Ирина Глебовна, Пирютко Ольга Николаевна, издательство Народная асвета, Минск, 2022, зелёного цвета, страница 283, номер 4.96, Решение (продолжение 2) Алгебра, 7 класс Учебник, авторы: Арефьева Ирина Глебовна, Пирютко Ольга Николаевна, издательство Народная асвета, Минск, 2022, зелёного цвета, страница 283, номер 4.96, Решение (продолжение 3) Алгебра, 7 класс Учебник, авторы: Арефьева Ирина Глебовна, Пирютко Ольга Николаевна, издательство Народная асвета, Минск, 2022, зелёного цвета, страница 283, номер 4.96, Решение (продолжение 4)
Решение 2. №4.96 (с. 283)

a) Дана система уравнений: $$ \begin{cases} 3x - 2y = 5 \\ 2x + 5y = 16 \end{cases} $$ Для решения системы методом сложения, нам нужно сделать коэффициенты при одной из переменных противоположными. Умножим первое уравнение на 5, а второе на 2, чтобы коэффициенты при $y$ стали $-10$ и $10$. $$ \begin{cases} 5(3x - 2y) = 5 \cdot 5 \\ 2(2x + 5y) = 2 \cdot 16 \end{cases} $$ Получаем новую систему: $$ \begin{cases} 15x - 10y = 25 \\ 4x + 10y = 32 \end{cases} $$ Теперь сложим два уравнения системы почленно: $$ (15x - 10y) + (4x + 10y) = 25 + 32 $$ $$ 19x = 57 $$ Находим $x$: $$ x = \frac{57}{19} \implies x = 3 $$ Подставим найденное значение $x = 3$ в первое исходное уравнение $3x - 2y = 5$, чтобы найти $y$: $$ 3(3) - 2y = 5 $$ $$ 9 - 2y = 5 $$ $$ -2y = 5 - 9 $$ $$ -2y = -4 $$ $$ y = \frac{-4}{-2} \implies y = 2 $$
Ответ: $x = 3, y = 2$.

б) Дана система уравнений: $$ \begin{cases} 2x - 3y = 5 \\ 3x + 2y = 14 \end{cases} $$ Умножим первое уравнение на 2, а второе на 3, чтобы коэффициенты при $y$ стали $-6$ и $6$: $$ \begin{cases} 2(2x - 3y) = 2 \cdot 5 \\ 3(3x + 2y) = 3 \cdot 14 \end{cases} $$ Получаем систему: $$ \begin{cases} 4x - 6y = 10 \\ 9x + 6y = 42 \end{cases} $$ Сложим уравнения: $$ (4x - 6y) + (9x + 6y) = 10 + 42 $$ $$ 13x = 52 $$ Находим $x$: $$ x = \frac{52}{13} \implies x = 4 $$ Подставим $x=4$ во второе исходное уравнение $3x + 2y = 14$: $$ 3(4) + 2y = 14 $$ $$ 12 + 2y = 14 $$ $$ 2y = 14 - 12 $$ $$ 2y = 2 $$ $$ y = 1 $$
Ответ: $x = 4, y = 1$.

в) Дана система уравнений: $$ \begin{cases} 7x + 6y = 1,5 \\ 4x - 9y = 5 \end{cases} $$ Чтобы исключить $y$, найдем наименьшее общее кратное для коэффициентов 6 и 9, это 18. Умножим первое уравнение на 3, а второе на 2: $$ \begin{cases} 3(7x + 6y) = 3 \cdot 1,5 \\ 2(4x - 9y) = 2 \cdot 5 \end{cases} $$ Получаем систему: $$ \begin{cases} 21x + 18y = 4,5 \\ 8x - 18y = 10 \end{cases} $$ Сложим полученные уравнения: $$ (21x + 18y) + (8x - 18y) = 4,5 + 10 $$ $$ 29x = 14,5 $$ Находим $x$: $$ x = \frac{14,5}{29} \implies x = 0,5 \text{ или } x = \frac{1}{2} $$ Подставим $x = \frac{1}{2}$ во второе исходное уравнение $4x - 9y = 5$: $$ 4\left(\frac{1}{2}\right) - 9y = 5 $$ $$ 2 - 9y = 5 $$ $$ -9y = 5 - 2 $$ $$ -9y = 3 $$ $$ y = -\frac{3}{9} \implies y = -\frac{1}{3} $$
Ответ: $x = \frac{1}{2}, y = -\frac{1}{3}$.

г) Дана система уравнений: $$ \begin{cases} 3x - 7y = -32 \\ 2x - 3y = -3 \end{cases} $$ Чтобы исключить $x$, умножим первое уравнение на 2, а второе на -3: $$ \begin{cases} 2(3x - 7y) = 2 \cdot (-32) \\ -3(2x - 3y) = -3 \cdot (-3) \end{cases} $$ Получаем систему: $$ \begin{cases} 6x - 14y = -64 \\ -6x + 9y = 9 \end{cases} $$ Сложим уравнения: $$ (6x - 14y) + (-6x + 9y) = -64 + 9 $$ $$ -5y = -55 $$ Находим $y$: $$ y = \frac{-55}{-5} \implies y = 11 $$ Подставим $y=11$ во второе исходное уравнение $2x - 3y = -3$: $$ 2x - 3(11) = -3 $$ $$ 2x - 33 = -3 $$ $$ 2x = 33 - 3 $$ $$ 2x = 30 $$ $$ x = \frac{30}{2} \implies x = 15 $$
Ответ: $x = 15, y = 11$.

Помогло решение? Оставьте отзыв в комментариях ниже.

Присоединяйтесь к Телеграм-группе @gdz_by_belarus

Присоединиться

Мы подготовили для вас ответ c подробным объяснением домашего задания по алгебре за 7 класс, для упражнения номер 4.96 расположенного на странице 283 к учебнику 2022 года издания для учащихся школ и гимназий.

Теперь на нашем сайте ГДЗ.ТОП вы всегда легко и бесплатно найдёте условие с правильным ответом на вопрос «Как решить ДЗ» и «Как сделать» задание по алгебре к упражнению №4.96 (с. 283), авторов: Арефьева (Ирина Глебовна), Пирютко (Ольга Николаевна), учебного пособия издательства Народная асвета.