Номер 4.101, страница 284 - гдз по алгебре 7 класс учебник Арефьева, Пирютко

Алгебра, 7 класс Учебник, авторы: Арефьева Ирина Глебовна, Пирютко Ольга Николаевна, издательство Народная асвета, Минск, 2022, зелёного цвета

Авторы: Арефьева И. Г., Пирютко О. Н.

Тип: Учебник

Издательство: Народная асвета

Год издания: 2022 - 2025

Цвет обложки: зелёный с графиком

ISBN: ISBN 978-985-03-3770-2

Допущено Министерством образования Республики Беларусь

Популярные ГДЗ в 7 классе

Глава 4. Системы двух линейных уравнений с двумя переменными. Параграф 24. Способы решения системы линейных уравнений с двумя переменными - номер 4.101, страница 284.

№4.101 (с. 284)
Условие. №4.101 (с. 284)
скриншот условия
Алгебра, 7 класс Учебник, авторы: Арефьева Ирина Глебовна, Пирютко Ольга Николаевна, издательство Народная асвета, Минск, 2022, зелёного цвета, страница 284, номер 4.101, Условие

4.101. Решите систему уравнений:

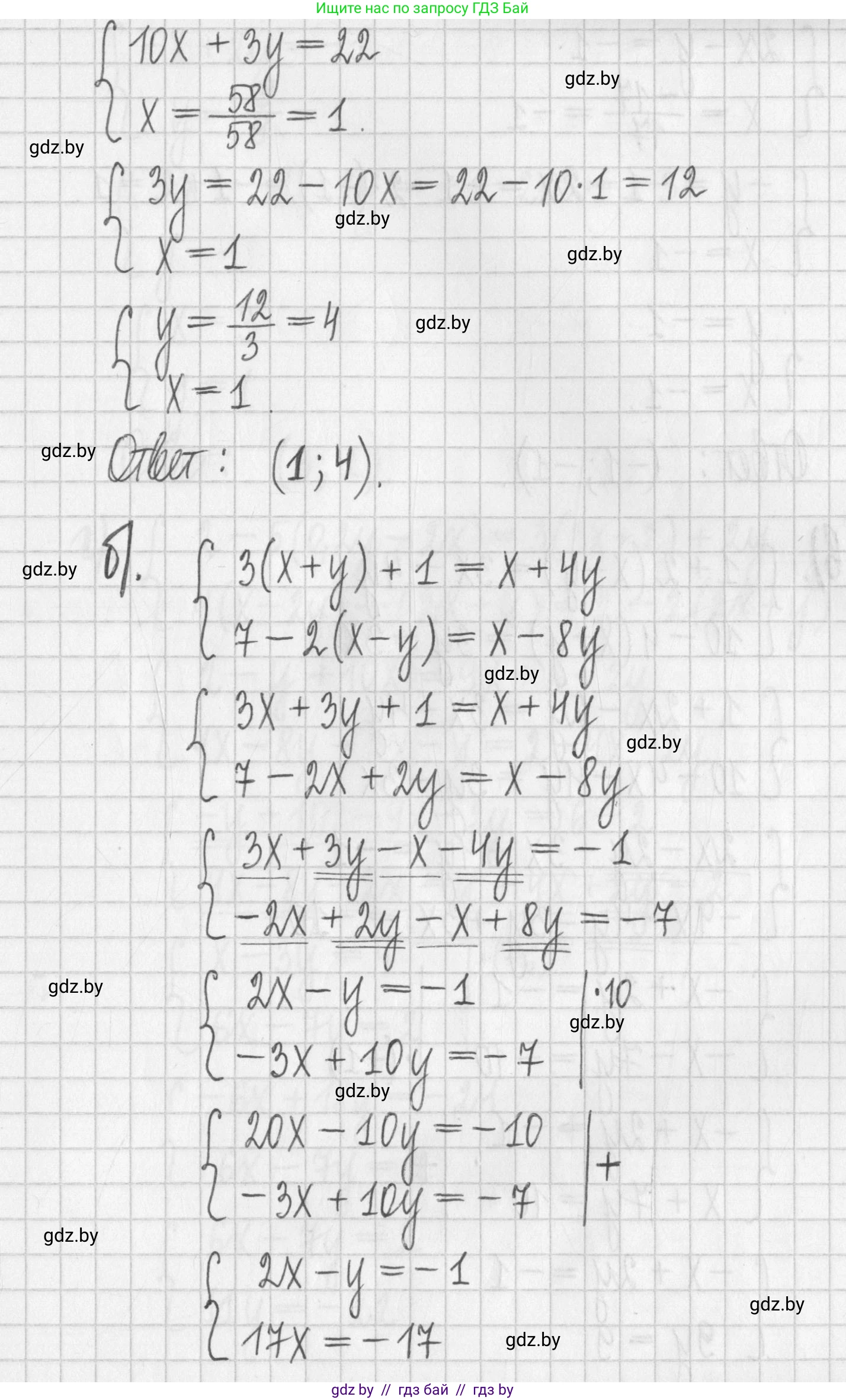
a) $ \begin{cases} 12x + 3y - 9 = 2x + 13, \\ 8x + 20 = 10 + 2(x + 2y); \end{cases} $

б) $ \begin{cases} 3(x + y) + 1 = x + 4y, \\ 7 - 2(x - y) = x - 8y; \end{cases} $

в) $ \begin{cases} 1 + 2(x - y) = 3x - 4y, \\ 10 - 4(x + y) = 3y - 3x; \end{cases} $

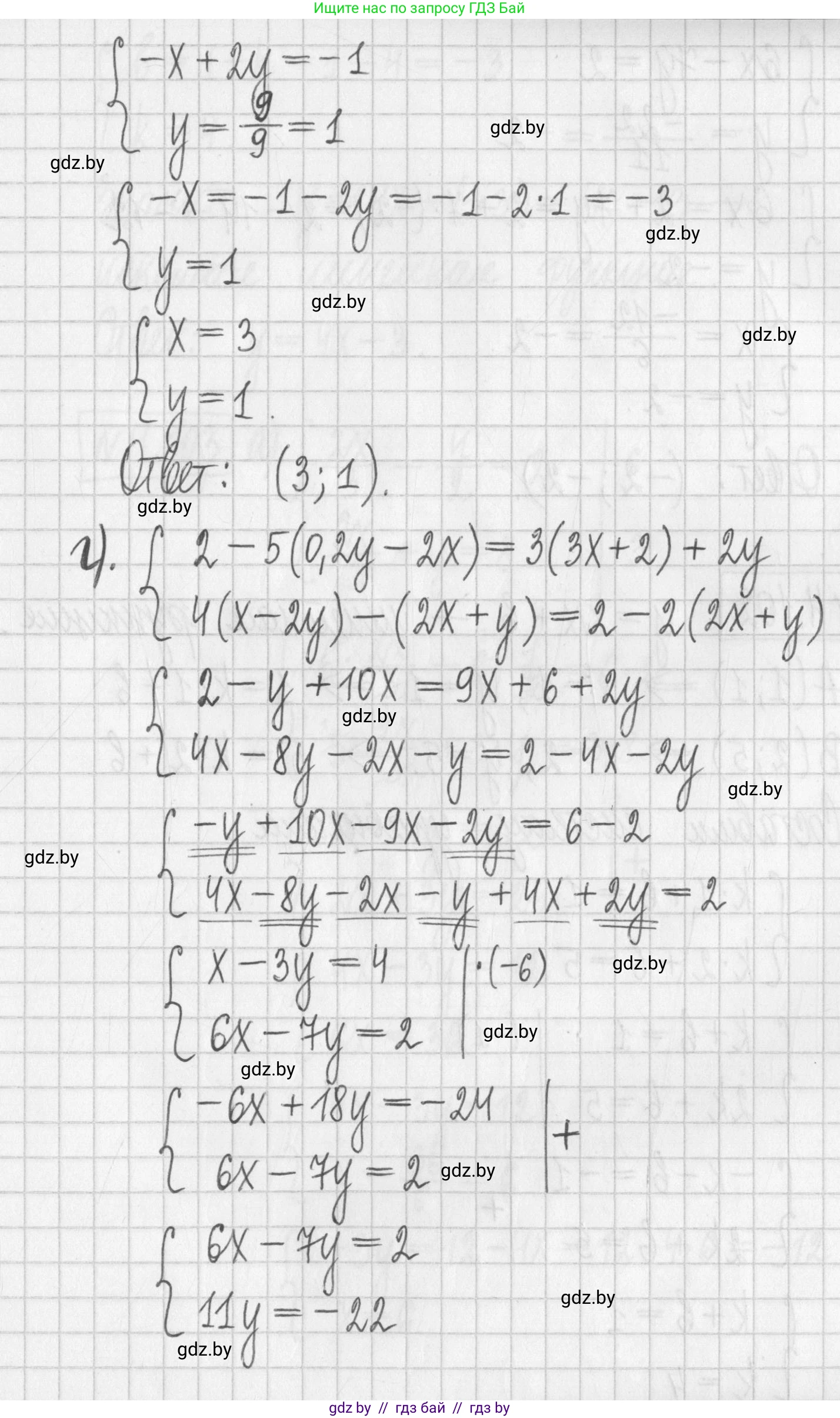
г) $ \begin{cases} 2 - 5(0.2y - 2x) = 3(3x + 2) + 2y, \\ 4(x - 2y) - (2x + y) = 2 - 2(2x + y). \end{cases} $

Решение. №4.101 (с. 284)
Алгебра, 7 класс Учебник, авторы: Арефьева Ирина Глебовна, Пирютко Ольга Николаевна, издательство Народная асвета, Минск, 2022, зелёного цвета, страница 284, номер 4.101, Решение Алгебра, 7 класс Учебник, авторы: Арефьева Ирина Глебовна, Пирютко Ольга Николаевна, издательство Народная асвета, Минск, 2022, зелёного цвета, страница 284, номер 4.101, Решение (продолжение 2) Алгебра, 7 класс Учебник, авторы: Арефьева Ирина Глебовна, Пирютко Ольга Николаевна, издательство Народная асвета, Минск, 2022, зелёного цвета, страница 284, номер 4.101, Решение (продолжение 3) Алгебра, 7 класс Учебник, авторы: Арефьева Ирина Глебовна, Пирютко Ольга Николаевна, издательство Народная асвета, Минск, 2022, зелёного цвета, страница 284, номер 4.101, Решение (продолжение 4) Алгебра, 7 класс Учебник, авторы: Арефьева Ирина Глебовна, Пирютко Ольга Николаевна, издательство Народная асвета, Минск, 2022, зелёного цвета, страница 284, номер 4.101, Решение (продолжение 5)
Решение 2. №4.101 (с. 284)

а) Исходная система уравнений:

$$\begin{cases}12x + 3y - 9 = 2x + 13, \\8x + 20 = 10 + 2(x + 2y);\end{cases}$$

Сначала упростим каждое уравнение системы. Перенесем переменные в левую часть, а константы — в правую.

Первое уравнение:

$12x + 3y - 9 = 2x + 13$

$12x - 2x + 3y = 13 + 9$

$10x + 3y = 22$

Второе уравнение (сначала раскроем скобки):

$8x + 20 = 10 + 2(x + 2y)$

$8x + 20 = 10 + 2x + 4y$

$8x - 2x - 4y = 10 - 20$

$6x - 4y = -10$

Разделим обе части второго уравнения на 2, чтобы упростить его:

$3x - 2y = -5$

Теперь система имеет вид:

$$\begin{cases}10x + 3y = 22 \\3x - 2y = -5\end{cases}$$

Решим систему методом сложения. Умножим первое уравнение на 2, а второе на 3, чтобы коэффициенты при $y$ стали противоположными по знаку:

$ (10x + 3y) \cdot 2 = 22 \cdot 2 \implies 20x + 6y = 44 $

$ (3x - 2y) \cdot 3 = -5 \cdot 3 \implies 9x - 6y = -15 $

Сложим полученные уравнения:

$ (20x + 6y) + (9x - 6y) = 44 - 15 $

$ 29x = 29 $

$ x = 1 $

Подставим найденное значение $x=1$ в уравнение $3x - 2y = -5$:

$ 3(1) - 2y = -5 $

$ 3 - 2y = -5 $

$ -2y = -8 $

$ y = 4 $

Ответ: $x = 1, y = 4$.


б) Исходная система уравнений:

$$\begin{cases}3(x + y) + 1 = x + 4y, \\7 - 2(x - y) = x - 8y;\end{cases}$$

Упростим каждое уравнение, раскрыв скобки и приведя подобные слагаемые.

Первое уравнение:

$3x + 3y + 1 = x + 4y$

$3x - x + 3y - 4y = -1$

$2x - y = -1$

Второе уравнение:

$7 - 2x + 2y = x - 8y$

$-2x - x + 2y + 8y = -7$

$-3x + 10y = -7$

$3x - 10y = 7$

Упрощенная система:

$$\begin{cases}2x - y = -1 \\3x - 10y = 7\end{cases}$$

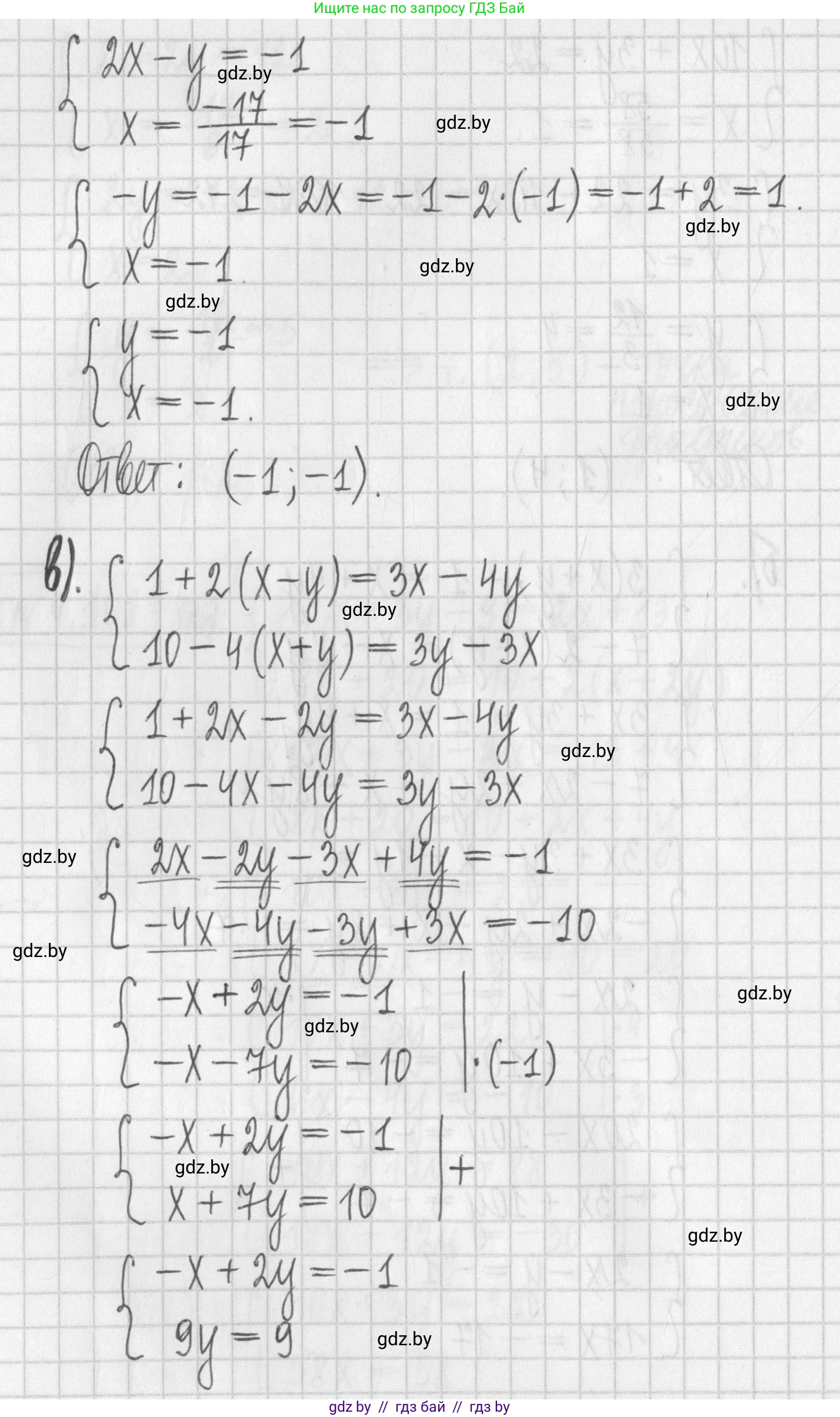
Решим систему методом подстановки. Из первого уравнения выразим $y$:

$y = 2x + 1$

Подставим это выражение во второе уравнение:

$3x - 10(2x + 1) = 7$

$3x - 20x - 10 = 7$

$-17x = 17$

$x = -1$

Теперь найдем $y$, подставив значение $x = -1$ в выражение для $y$:

$y = 2(-1) + 1 = -2 + 1 = -1$

Ответ: $x = -1, y = -1$.


в) Исходная система уравнений:

$$\begin{cases}1 + 2(x - y) = 3x - 4y, \\10 - 4(x + y) = 3y - 3x;\end{cases}$$

Упростим оба уравнения.

Первое уравнение:

$1 + 2x - 2y = 3x - 4y$

$2x - 3x - 2y + 4y = -1$

$-x + 2y = -1$

$x - 2y = 1$

Второе уравнение:

$10 - 4x - 4y = 3y - 3x$

$-4x + 3x - 4y - 3y = -10$

$-x - 7y = -10$

$x + 7y = 10$

Получили систему:

$$\begin{cases}x - 2y = 1 \\x + 7y = 10\end{cases}$$

Решим систему методом вычитания. Вычтем первое уравнение из второго:

$(x + 7y) - (x - 2y) = 10 - 1$

$x + 7y - x + 2y = 9$

$9y = 9$

$y = 1$

Подставим $y = 1$ в первое упрощенное уравнение $x - 2y = 1$:

$x - 2(1) = 1$

$x - 2 = 1$

$x = 3$

Ответ: $x = 3, y = 1$.


г) Исходная система уравнений:

$$\begin{cases}2 - 5(0.2y - 2x) = 3(3x + 2) + 2y, \\4(x - 2y) - (2x + y) = 2 - 2(2x + y).\end{cases}$$

Упростим оба уравнения, раскрыв скобки.

Первое уравнение:

$2 - 5 \cdot 0.2y + 5 \cdot 2x = 3 \cdot 3x + 3 \cdot 2 + 2y$

$2 - y + 10x = 9x + 6 + 2y$

$10x - 9x - y - 2y = 6 - 2$

$x - 3y = 4$

Второе уравнение:

$4x - 8y - 2x - y = 2 - 4x - 2y$

$2x - 9y = 2 - 4x - 2y$

$2x + 4x - 9y + 2y = 2$

$6x - 7y = 2$

Получили упрощенную систему:

$$\begin{cases}x - 3y = 4 \\6x - 7y = 2\end{cases}$$

Решим систему методом подстановки. Из первого уравнения выразим $x$:

$x = 4 + 3y$

Подставим это выражение во второе уравнение:

$6(4 + 3y) - 7y = 2$

$24 + 18y - 7y = 2$

$11y = 2 - 24$

$11y = -22$

$y = -2$

Теперь найдем $x$, подставив $y = -2$ в выражение для $x$:

$x = 4 + 3(-2) = 4 - 6 = -2$

Ответ: $x = -2, y = -2$.

Помогло решение? Оставьте отзыв в комментариях ниже.

Присоединяйтесь к Телеграм-группе @gdz_by_belarus

Присоединиться

Мы подготовили для вас ответ c подробным объяснением домашего задания по алгебре за 7 класс, для упражнения номер 4.101 расположенного на странице 284 к учебнику 2022 года издания для учащихся школ и гимназий.

Теперь на нашем сайте ГДЗ.ТОП вы всегда легко и бесплатно найдёте условие с правильным ответом на вопрос «Как решить ДЗ» и «Как сделать» задание по алгебре к упражнению №4.101 (с. 284), авторов: Арефьева (Ирина Глебовна), Пирютко (Ольга Николаевна), учебного пособия издательства Народная асвета.