Номер 4.107, страница 285 - гдз по алгебре 7 класс учебник Арефьева, Пирютко

Алгебра, 7 класс Учебник, авторы: Арефьева Ирина Глебовна, Пирютко Ольга Николаевна, издательство Народная асвета, Минск, 2022, зелёного цвета

Авторы: Арефьева И. Г., Пирютко О. Н.

Тип: Учебник

Издательство: Народная асвета

Год издания: 2022 - 2025

Цвет обложки: зелёный с графиком

ISBN: ISBN 978-985-03-3770-2

Допущено Министерством образования Республики Беларусь

Популярные ГДЗ в 7 классе

Глава 4. Системы двух линейных уравнений с двумя переменными. Параграф 24. Способы решения системы линейных уравнений с двумя переменными - номер 4.107, страница 285.

№4.107 (с. 285)
Условие. №4.107 (с. 285)
скриншот условия
Алгебра, 7 класс Учебник, авторы: Арефьева Ирина Глебовна, Пирютко Ольга Николаевна, издательство Народная асвета, Минск, 2022, зелёного цвета, страница 285, номер 4.107, Условие

4.107. Выполните преобразования уравнений системы и решите ее:

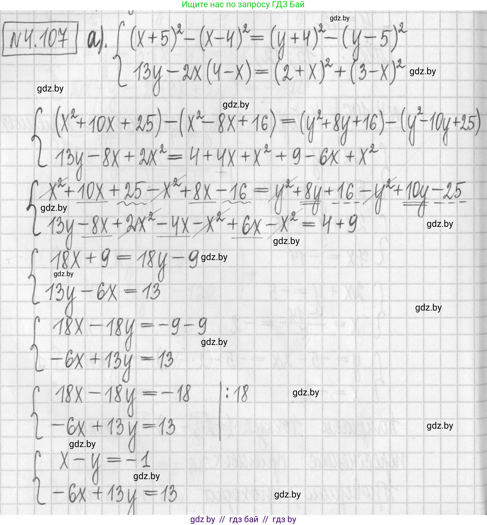
a) $ \begin{cases} (x + 5)^2 - (x - 4)^2 = (y + 4)^2 - (y - 5)^2 \\ 13y - 2x(4 - x) = (2 + x)^2 + (3 - x)^2 \end{cases} $

б) $ \begin{cases} (x - 2)(y + 6) = xy + 13 \\ (y - 2)(x + 4) = xy - 13 \end{cases} $

Решение. №4.107 (с. 285)
Алгебра, 7 класс Учебник, авторы: Арефьева Ирина Глебовна, Пирютко Ольга Николаевна, издательство Народная асвета, Минск, 2022, зелёного цвета, страница 285, номер 4.107, Решение Алгебра, 7 класс Учебник, авторы: Арефьева Ирина Глебовна, Пирютко Ольга Николаевна, издательство Народная асвета, Минск, 2022, зелёного цвета, страница 285, номер 4.107, Решение (продолжение 2) Алгебра, 7 класс Учебник, авторы: Арефьева Ирина Глебовна, Пирютко Ольга Николаевна, издательство Народная асвета, Минск, 2022, зелёного цвета, страница 285, номер 4.107, Решение (продолжение 3)
Решение 2. №4.107 (с. 285)

а) Дана система уравнений:

$$ \begin{cases} (x + 5)^2 - (x - 4)^2 = (y + 4)^2 - (y - 5)^2 \\ 13y - 2x(4 - x) = (2 + x)^2 + (3 - x)^2 \end{cases} $$

Упростим каждое уравнение системы.

Первое уравнение:

Применим формулу разности квадратов $a^2 - b^2 = (a - b)(a + b)$ к обеим частям уравнения.

Левая часть: $((x + 5) - (x - 4))((x + 5) + (x - 4)) = (x + 5 - x + 4)(x + 5 + x - 4) = 9(2x + 1) = 18x + 9$.

Правая часть: $((y + 4) - (y - 5))((y + 4) + (y - 5)) = (y + 4 - y + 5)(y + 4 + y - 5) = 9(2y - 1) = 18y - 9$.

Приравниваем полученные выражения:

$18x + 9 = 18y - 9$

$18x - 18y = -18$

Разделим обе части на 18:

$x - y = -1$

Второе уравнение:

Раскроем скобки в обеих частях уравнения.

$13y - 2x(4 - x) = (2 + x)^2 + (3 - x)^2$

$13y - 8x + 2x^2 = (4 + 4x + x^2) + (9 - 6x + x^2)$

$13y - 8x + 2x^2 = 13 - 2x + 2x^2$

Сократим $2x^2$ и перенесем члены с $x$ в правую часть:

$13y - 8x = 13 - 2x$

$13y = 13 + 6x$

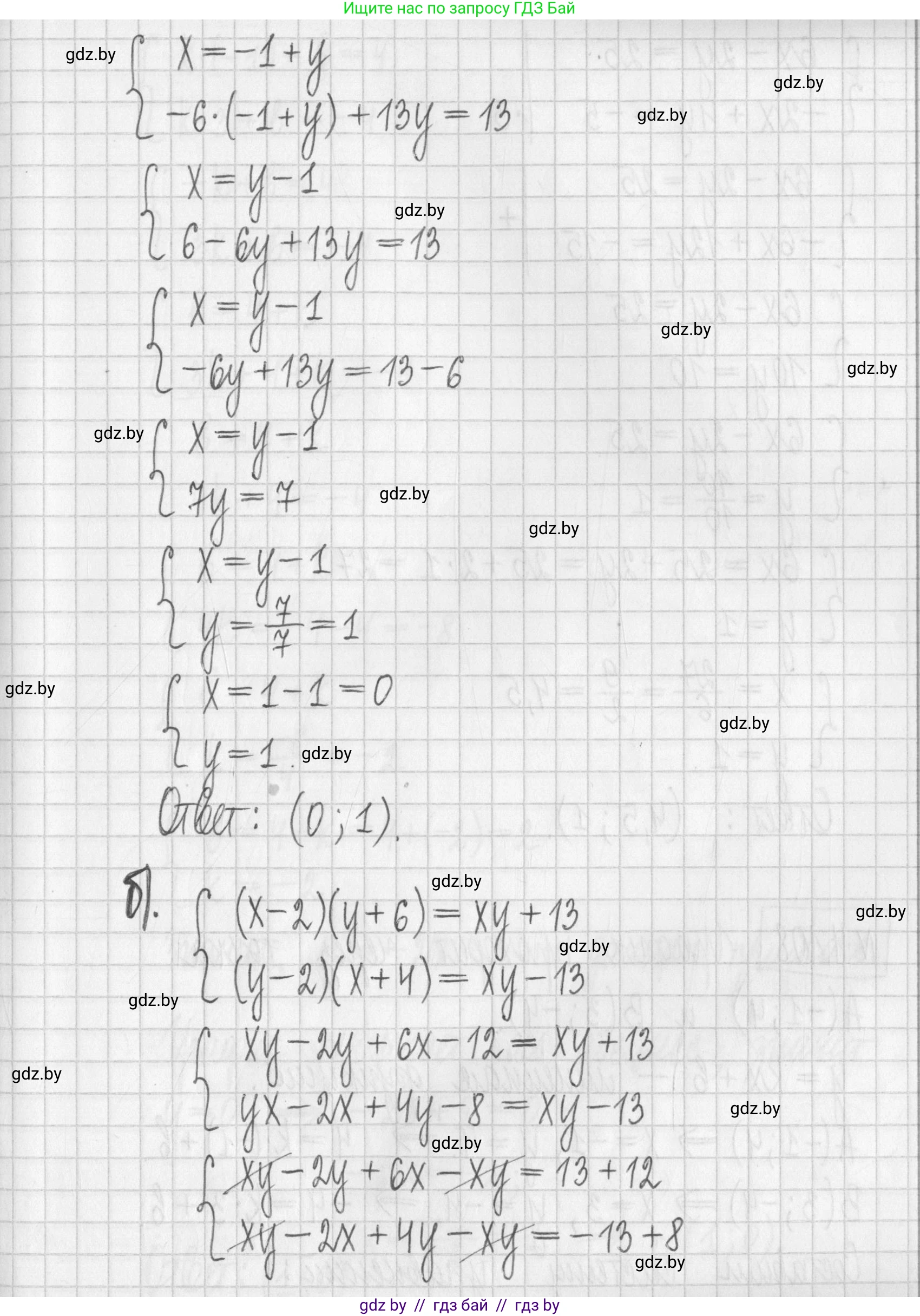
Решение системы:

Теперь система имеет вид:

$$ \begin{cases} x - y = -1 \\ 6x - 13y = -13 \end{cases} $$

Из первого уравнения выразим $x$: $x = y - 1$.

Подставим это выражение во второе уравнение:

$6(y - 1) - 13y = -13$

$6y - 6 - 13y = -13$

$-7y = -7$

$y = 1$

Теперь найдем $x$:

$x = y - 1 = 1 - 1 = 0$

Ответ: $x=0, y=1$.

б) Дана система уравнений:

$$ \begin{cases} (x - 2)(y + 6) = xy + 13 \\ (y - 2)(x + 4) = xy - 13 \end{cases} $$

Упростим каждое уравнение, раскрыв скобки.

Первое уравнение:

$(x - 2)(y + 6) = xy + 13$

$xy + 6x - 2y - 12 = xy + 13$

Сократим $xy$ в обеих частях:

$6x - 2y - 12 = 13$

$6x - 2y = 25$

Второе уравнение:

$(y - 2)(x + 4) = xy - 13$

$xy + 4y - 2x - 8 = xy - 13$

Сократим $xy$ в обеих частях:

$4y - 2x - 8 = -13$

$-2x + 4y = -5$

Решение системы:

Получили упрощенную систему линейных уравнений:

$$ \begin{cases} 6x - 2y = 25 \\ -2x + 4y = -5 \end{cases} $$

Решим систему методом сложения. Умножим второе уравнение на 3, чтобы коэффициенты при $x$ стали противоположными:

$3(-2x + 4y) = 3(-5) \implies -6x + 12y = -15$

Сложим полученное уравнение с первым уравнением системы:

$(6x - 2y) + (-6x + 12y) = 25 + (-15)$

$10y = 10$

$y = 1$

Подставим $y=1$ в первое упрощенное уравнение $6x - 2y = 25$:

$6x - 2(1) = 25$

$6x - 2 = 25$

$6x = 27$

$x = \frac{27}{6} = \frac{9}{2}$

Выделим целую часть из неправильной дроби: $x = 4\frac{1}{2}$.

Ответ: $x=4\frac{1}{2}, y=1$.

Помогло решение? Оставьте отзыв в комментариях ниже.

Присоединяйтесь к Телеграм-группе @gdz_by_belarus

Присоединиться

Мы подготовили для вас ответ c подробным объяснением домашего задания по алгебре за 7 класс, для упражнения номер 4.107 расположенного на странице 285 к учебнику 2022 года издания для учащихся школ и гимназий.

Теперь на нашем сайте ГДЗ.ТОП вы всегда легко и бесплатно найдёте условие с правильным ответом на вопрос «Как решить ДЗ» и «Как сделать» задание по алгебре к упражнению №4.107 (с. 285), авторов: Арефьева (Ирина Глебовна), Пирютко (Ольга Николаевна), учебного пособия издательства Народная асвета.