Номер 4.105, страница 285 - гдз по алгебре 7 класс учебник Арефьева, Пирютко

Алгебра, 7 класс Учебник, авторы: Арефьева Ирина Глебовна, Пирютко Ольга Николаевна, издательство Народная асвета, Минск, 2022, зелёного цвета

Авторы: Арефьева И. Г., Пирютко О. Н.

Тип: Учебник

Издательство: Народная асвета

Год издания: 2022 - 2025

Цвет обложки: зелёный с графиком

ISBN: ISBN 978-985-03-3770-2

Допущено Министерством образования Республики Беларусь

Популярные ГДЗ в 7 классе

Глава 4. Системы двух линейных уравнений с двумя переменными. Параграф 24. Способы решения системы линейных уравнений с двумя переменными - номер 4.105, страница 285.

№4.105 (с. 285)
Условие. №4.105 (с. 285)
скриншот условия
Алгебра, 7 класс Учебник, авторы: Арефьева Ирина Глебовна, Пирютко Ольга Николаевна, издательство Народная асвета, Минск, 2022, зелёного цвета, страница 285, номер 4.105, Условие

4.105. Решите систему уравнений:

а) $$ \begin{cases} \frac{x - 2}{4} + \frac{y - 2}{4} = 2, \\ \frac{x - 2}{3} - \frac{y - 2}{9} = 1\frac{1}{3}; \end{cases} $$

б) $$ \begin{cases} \frac{x + y}{3} + \frac{y}{5} = -2, \\ \frac{3x}{4} - \frac{2x - y}{4} = -1\frac{1}{2}; \end{cases} $$

в) $$ \begin{cases} \frac{3y - 2}{4} - \frac{2x - 1}{5} = -2, \\ \frac{3x + 1}{5} - \frac{3y + 2}{4} = 0; \end{cases} $$

г) $$ \begin{cases} \frac{3x - 7}{4} = \frac{2y - 3}{5} + 1, \\ \frac{2x - y}{2} - 1 = y - 2; \end{cases} $$

д) $$ \begin{cases} \frac{1}{9}(x + y) - \frac{1}{3}(x - y) = 2, \\ \frac{1}{6}(2x - y) - \frac{1}{3}(3x + 2y) = -20. \end{cases} $$

Решение. №4.105 (с. 285)
Алгебра, 7 класс Учебник, авторы: Арефьева Ирина Глебовна, Пирютко Ольга Николаевна, издательство Народная асвета, Минск, 2022, зелёного цвета, страница 285, номер 4.105, Решение Алгебра, 7 класс Учебник, авторы: Арефьева Ирина Глебовна, Пирютко Ольга Николаевна, издательство Народная асвета, Минск, 2022, зелёного цвета, страница 285, номер 4.105, Решение (продолжение 2) Алгебра, 7 класс Учебник, авторы: Арефьева Ирина Глебовна, Пирютко Ольга Николаевна, издательство Народная асвета, Минск, 2022, зелёного цвета, страница 285, номер 4.105, Решение (продолжение 3) Алгебра, 7 класс Учебник, авторы: Арефьева Ирина Глебовна, Пирютко Ольга Николаевна, издательство Народная асвета, Минск, 2022, зелёного цвета, страница 285, номер 4.105, Решение (продолжение 4) Алгебра, 7 класс Учебник, авторы: Арефьева Ирина Глебовна, Пирютко Ольга Николаевна, издательство Народная асвета, Минск, 2022, зелёного цвета, страница 285, номер 4.105, Решение (продолжение 5) Алгебра, 7 класс Учебник, авторы: Арефьева Ирина Глебовна, Пирютко Ольга Николаевна, издательство Народная асвета, Минск, 2022, зелёного цвета, страница 285, номер 4.105, Решение (продолжение 6) Алгебра, 7 класс Учебник, авторы: Арефьева Ирина Глебовна, Пирютко Ольга Николаевна, издательство Народная асвета, Минск, 2022, зелёного цвета, страница 285, номер 4.105, Решение (продолжение 7)
Решение 2. №4.105 (с. 285)

Ниже представлены развернутые решения для каждой системы уравнений.


а) Дана система уравнений:

$$ \begin{cases} \frac{x - 2}{4} + \frac{y - 2}{4} = 2 \\ \frac{x - 2}{3} - \frac{y - 2}{9} = 1\frac{1}{3} \end{cases} $$

Для упрощения введем замену переменных. Пусть $u = x - 2$ и $v = y - 2$. Также представим $1\frac{1}{3}$ как $\frac{4}{3}$. Система примет вид:

$$ \begin{cases} \frac{u}{4} + \frac{v}{4} = 2 \\ \frac{u}{3} - \frac{v}{9} = \frac{4}{3} \end{cases} $$

Умножим первое уравнение на 4, а второе на 9, чтобы избавиться от знаменателей:

$$ \begin{cases} u + v = 8 \\ 3u - v = 12 \end{cases} $$

Теперь это простая система линейных уравнений. Сложим два уравнения, чтобы исключить $v$:

$ (u + v) + (3u - v) = 8 + 12 $ $ 4u = 20 $ $ u = 5 $

Подставим значение $u = 5$ в первое упрощенное уравнение $u + v = 8$:

$ 5 + v = 8 $ $ v = 3 $

Теперь выполним обратную замену, чтобы найти $x$ и $y$:

$ u = x - 2 \implies 5 = x - 2 \implies x = 7 $ $ v = y - 2 \implies 3 = y - 2 \implies y = 5 $

Ответ: $x = 7$, $y = 5$.


б) Дана система уравнений:

$$ \begin{cases} \frac{x + y}{3} + \frac{y}{5} = -2 \\ \frac{3x}{4} - \frac{2x - y}{4} = -1\frac{1}{2} \end{cases} $$

Упростим каждое уравнение. Первое уравнение умножим на 15 (наименьшее общее кратное 3 и 5). Второе уравнение можно упростить, объединив дроби, и представить $-1\frac{1}{2}$ как $-\frac{3}{2}$.

Первое уравнение:

$ 15 \cdot \frac{x + y}{3} + 15 \cdot \frac{y}{5} = 15 \cdot (-2) $ $ 5(x + y) + 3y = -30 $ $ 5x + 5y + 3y = -30 $ $ 5x + 8y = -30 $

Второе уравнение:

$ \frac{3x - (2x - y)}{4} = -\frac{3}{2} $ $ \frac{3x - 2x + y}{4} = -\frac{3}{2} $ $ \frac{x + y}{4} = -\frac{3}{2} $

Умножим на 4:

$ x + y = -6 $

Получили упрощенную систему:

$$ \begin{cases} 5x + 8y = -30 \\ x + y = -6 \end{cases} $$

Из второго уравнения выразим $x$: $x = -6 - y$. Подставим это выражение в первое уравнение:

$ 5(-6 - y) + 8y = -30 $ $ -30 - 5y + 8y = -30 $ $ 3y = 0 $ $ y = 0 $

Теперь найдем $x$:

$ x = -6 - 0 \implies x = -6 $

Ответ: $x = -6$, $y = 0$.


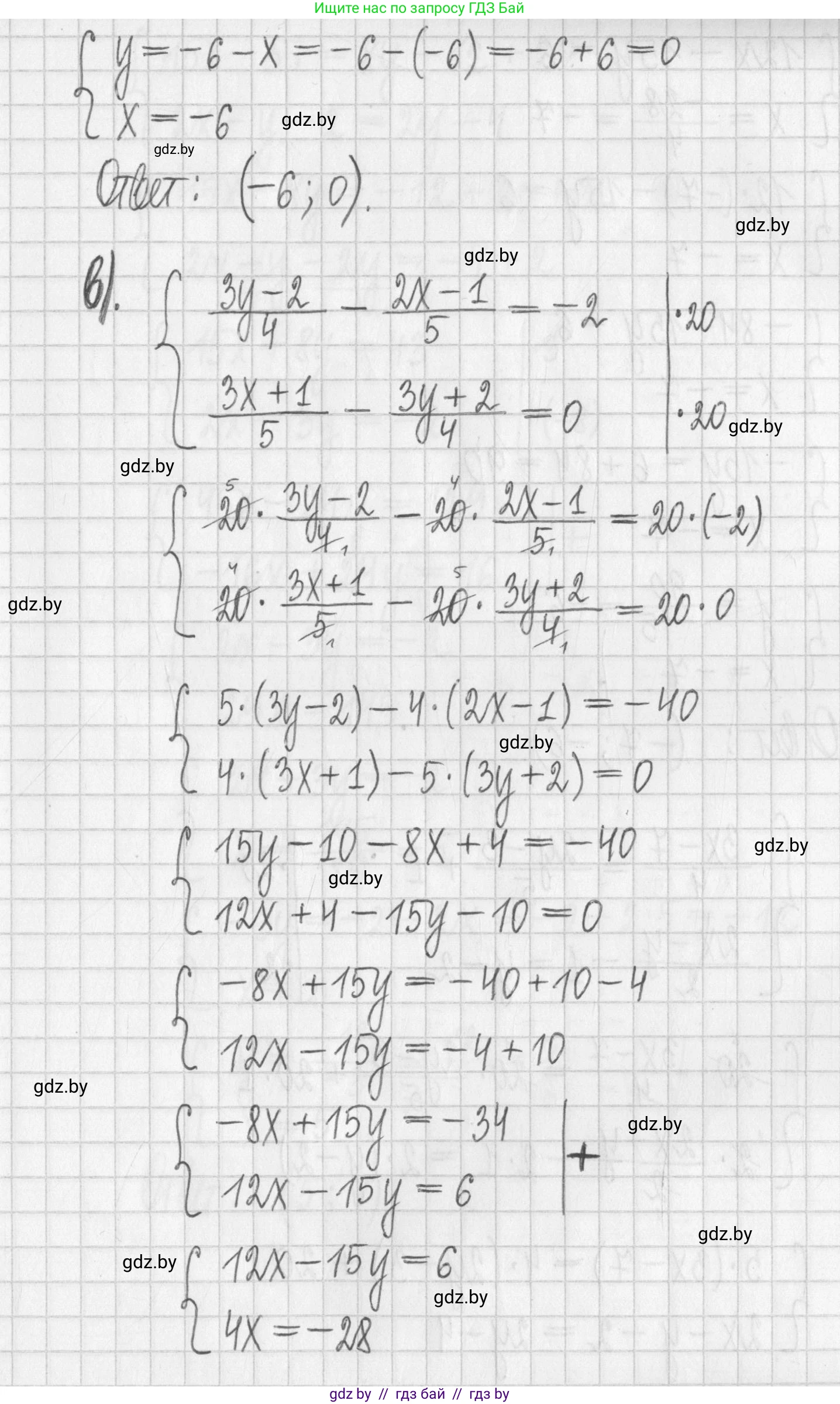
в) Дана система уравнений:

$$ \begin{cases} \frac{3y - 2}{4} - \frac{2x - 1}{5} = -2 \\ \frac{3x + 1}{5} - \frac{3y + 2}{4} = 0 \end{cases} $$

Умножим оба уравнения на 20 (наименьшее общее кратное 4 и 5), чтобы избавиться от дробей.

Первое уравнение:

$ 5(3y - 2) - 4(2x - 1) = -40 $ $ 15y - 10 - 8x + 4 = -40 $ $ -8x + 15y - 6 = -40 $ $ -8x + 15y = -34 $ $ 8x - 15y = 34 $

Второе уравнение:

$ 4(3x + 1) - 5(3y + 2) = 0 $ $ 12x + 4 - 15y - 10 = 0 $ $ 12x - 15y - 6 = 0 $ $ 12x - 15y = 6 $

Получили упрощенную систему:

$$ \begin{cases} 8x - 15y = 34 \\ 12x - 15y = 6 \end{cases} $$

Воспользуемся методом вычитания. Вычтем первое уравнение из второго:

$ (12x - 15y) - (8x - 15y) = 6 - 34 $ $ 4x = -28 $ $ x = -7 $

Подставим $x = -7$ во второе упрощенное уравнение $12x - 15y = 6$:

$ 12(-7) - 15y = 6 $ $ -84 - 15y = 6 $ $ -15y = 90 $ $ y = -6 $

Ответ: $x = -7$, $y = -6$.


г) Дана система уравнений:

$$ \begin{cases} \frac{3x - 7}{4} = \frac{2y - 3}{5} + 1 \\ \frac{2x - y}{2} - 1 = y - 2 \end{cases} $$

Упростим каждое уравнение.

Первое уравнение умножим на 20:

$ 5(3x - 7) = 4(2y - 3) + 20 $ $ 15x - 35 = 8y - 12 + 20 $ $ 15x - 35 = 8y + 8 $ $ 15x - 8y = 43 $

Второе уравнение умножим на 2:

$ (2x - y) - 2 = 2(y - 2) $ $ 2x - y - 2 = 2y - 4 $ $ 2x - 3y = -2 $

Получили упрощенную систему:

$$ \begin{cases} 15x - 8y = 43 \\ 2x - 3y = -2 \end{cases} $$

Используем метод сложения. Умножим первое уравнение на 3, а второе на -8:

$$ \begin{cases} 45x - 24y = 129 \\ -16x + 24y = 16 \end{cases} $$

Сложим полученные уравнения:

$ (45x - 24y) + (-16x + 24y) = 129 + 16 $ $ 29x = 145 $ $ x = 5 $

Подставим $x = 5$ в уравнение $2x - 3y = -2$:

$ 2(5) - 3y = -2 $ $ 10 - 3y = -2 $ $ -3y = -12 $ $ y = 4 $

Ответ: $x = 5$, $y = 4$.


д) Дана система уравнений:

$$ \begin{cases} \frac{1}{9}(x + y) - \frac{1}{3}(x - y) = 2 \\ \frac{1}{6}(2x - y) - \frac{1}{3}(3x + 2y) = -20 \end{cases} $$

Упростим каждое уравнение.

Первое уравнение умножим на 9:

$ (x + y) - 3(x - y) = 18 $ $ x + y - 3x + 3y = 18 $ $ -2x + 4y = 18 $

Разделим на 2:

$ -x + 2y = 9 $

Второе уравнение умножим на 6:

$ (2x - y) - 2(3x + 2y) = -120 $ $ 2x - y - 6x - 4y = -120 $ $ -4x - 5y = -120 $

Умножим на -1:

$ 4x + 5y = 120 $

Получили упрощенную систему:

$$ \begin{cases} -x + 2y = 9 \\ 4x + 5y = 120 \end{cases} $$

Из первого уравнения выразим $x$: $x = 2y - 9$. Подставим во второе уравнение:

$ 4(2y - 9) + 5y = 120 $ $ 8y - 36 + 5y = 120 $ $ 13y = 156 $ $ y = 12 $

Теперь найдем $x$:

$ x = 2(12) - 9 = 24 - 9 = 15 $

Ответ: $x = 15$, $y = 12$.

Помогло решение? Оставьте отзыв в комментариях ниже.

Присоединяйтесь к Телеграм-группе @gdz_by_belarus

Присоединиться

Мы подготовили для вас ответ c подробным объяснением домашего задания по алгебре за 7 класс, для упражнения номер 4.105 расположенного на странице 285 к учебнику 2022 года издания для учащихся школ и гимназий.

Теперь на нашем сайте ГДЗ.ТОП вы всегда легко и бесплатно найдёте условие с правильным ответом на вопрос «Как решить ДЗ» и «Как сделать» задание по алгебре к упражнению №4.105 (с. 285), авторов: Арефьева (Ирина Глебовна), Пирютко (Ольга Николаевна), учебного пособия издательства Народная асвета.