Номер 4.99, страница 284 - гдз по алгебре 7 класс учебник Арефьева, Пирютко

Алгебра, 7 класс Учебник, авторы: Арефьева Ирина Глебовна, Пирютко Ольга Николаевна, издательство Народная асвета, Минск, 2022, зелёного цвета

Авторы: Арефьева И. Г., Пирютко О. Н.

Тип: Учебник

Издательство: Народная асвета

Год издания: 2022 - 2025

Цвет обложки: зелёный с графиком

ISBN: ISBN 978-985-03-3770-2

Допущено Министерством образования Республики Беларусь

Популярные ГДЗ в 7 классе

Глава 4. Системы двух линейных уравнений с двумя переменными. Параграф 24. Способы решения системы линейных уравнений с двумя переменными - номер 4.99, страница 284.

№4.99 (с. 284)
Условие. №4.99 (с. 284)
скриншот условия
Алгебра, 7 класс Учебник, авторы: Арефьева Ирина Глебовна, Пирютко Ольга Николаевна, издательство Народная асвета, Минск, 2022, зелёного цвета, страница 284, номер 4.99, Условие

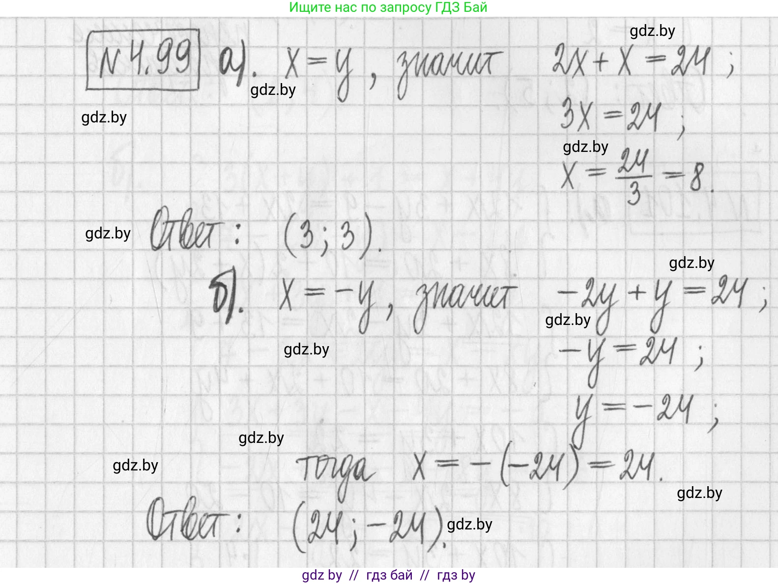
4.99. Среди решений уравнения $2x + y = 24$ найдите пару, которая:

а) состоит из двух равных чисел;

б) состоит из двух противоположных чисел.

Решение. №4.99 (с. 284)
Алгебра, 7 класс Учебник, авторы: Арефьева Ирина Глебовна, Пирютко Ольга Николаевна, издательство Народная асвета, Минск, 2022, зелёного цвета, страница 284, номер 4.99, Решение
Решение 2. №4.99 (с. 284)

Дано уравнение: $2x + y = 24$.

Найдем решения уравнения (пары чисел $x$ и $y$), которые удовлетворяют заданным условиям.

а) состоит из двух равных чисел;

Это условие означает, что в искомой паре значения $x$ и $y$ равны, то есть $x = y$.

Подставим $y = x$ в исходное уравнение:

$2x + x = 24$

Сложим подобные члены:

$3x = 24$

Найдем $x$:

$x = \frac{24}{3}$

$x = 8$

Поскольку $x = y$, то $y$ также равен 8. Искомая пара чисел — (8, 8).

Ответ: (8, 8).

б) состоит из двух противоположных чисел.

Это условие означает, что значения $x$ и $y$ являются противоположными числами, то есть $y = -x$.

Подставим $y = -x$ в исходное уравнение:

$2x + (-x) = 24$

Упростим выражение:

$2x - x = 24$

$x = 24$

Поскольку $y = -x$, то $y = -24$. Искомая пара чисел — (24, -24).

Ответ: (24, -24).

Помогло решение? Оставьте отзыв в комментариях ниже.

Присоединяйтесь к Телеграм-группе @gdz_by_belarus

Присоединиться

Мы подготовили для вас ответ c подробным объяснением домашего задания по алгебре за 7 класс, для упражнения номер 4.99 расположенного на странице 284 к учебнику 2022 года издания для учащихся школ и гимназий.

Теперь на нашем сайте ГДЗ.ТОП вы всегда легко и бесплатно найдёте условие с правильным ответом на вопрос «Как решить ДЗ» и «Как сделать» задание по алгебре к упражнению №4.99 (с. 284), авторов: Арефьева (Ирина Глебовна), Пирютко (Ольга Николаевна), учебного пособия издательства Народная асвета.